2022届湖北省武汉二中(武汉市)高三下学期4月调研考试数学试卷word版含答案
展开湖北省武汉二中(武汉市)2022届高中毕业生四月调研考试
数学试卷
2022.4.26
本试题卷共5页,22题,全卷满分150分。考试用时120分钟。
★祝考试顺利
注意事项:
1.答题前,先将自己的姓名、准考证号填写在试卷和答题卡上,并将准考证号条形码粘贴在答题卡上的指定位置。
2.选择题的作答:每小题选出答案后,用2B铅笔把答题卡上对应题目的答案标号涂黑。写在试卷、草稿纸和答题卡上的非答题区域均无效。
3.非选择题的作答:用黑色签字笔直接答在答题卡上对应的答题区域内。写在试卷、草稿纸和答题卡上的非答题区域均无效。
4.考试结束后,请将本试卷和答题卡一并上交。
一、选择题:本题共8小题,每小题5分,共40分。在每小题给出的四个选项中,只有一项
是符合题目要求的。
1.已知复数z=,则z的虚部为
A.-1 B.1 C.- D.
2.已知a=e1n2,b=log34,c=21.1,则
A.a>b>c B.c>a>b C.a>c>b D.c>b>a
3.若椭圆=1(a>0)的离心率为,则a的值为
A.2 B. C.或 D.或
4.如图,在棱长为2的正方体中,以其各面中心为顶点构成的多面体为正八面体,则该正八面体的体积为
A. B. C. D.
5.设sin32°=k,则tan16°+=
A. B. C.2k D.k
6.已知直线ax+by-1=0(ab>0)过圆(x-1)2+(y-2)2=2022的圆心,则的最小值为
A.3+2 B.3-2 C.6 D.9
7.定义在R上的函数f(x)满足f(x+1)=f(x)-2,则下列是周期函数的是
A.y=f(x)-x B.y=f(x)+x C.y=f(x)-2x D.y=f(x)+2x
8.某同学在课外阅读时了解到概率统计中的切比雪夫不等式,该不等式可以使人们在随机变量X的期望E(X)和方差D(X)存在但其分布未知的情况下,对事件“|X-E(X)|≥ε”的概率作出上限估计,其中ε为任意正实数.切比雪夫不等式的形式为:P(|X-E(X)|≥ε)≤f(D(X),ε),其中f(D(X),ε)是关于D(X)和ε的表达式.由于记忆模糊,该同学只能确定f(D(X),ε)的具体形式是下列四个选项中的某一种.请你根据所学相关知识,确定该形式是
A.D(X)·ε2 B. C. D.
二、选择题:本题共4小题,每小题5分,共20分。在每小题给出的选项中,有多项符合题
目要求。全部选对的得5分,部分选对的得2分,有选错的得0分。
9.已知集合A={1,4,a},B={1,2,3},若A∪B={1,2,3,4},则a的取值可以是
A.2 B.3 C.4 D.5
10.在研究某种产品的零售价x(单位:元)与销售量y(单位:万件)之间的关系时,根据所
得数据得到如下所示的对应表:
利用最小二乘法计算数据,得到的回归直线方程为=+26.2,则下列说法中正确的是
A.x与y的样本相关系数r>0
B.回归直线必过点(16,14.2)
C.b<0
D.若该产品的零售价定为22元,可预测销售量是9.7万件
11.函数f(x)=sinx+acosx(a≠0)在一个周期内的图象可以是
12.数列{an}共有M项(常数M为大于5的正整数),对任意正整数k≤M,有ak+aM+1-k=0,
且当n≤时,a0=.记{an}的前n项和为Sn,则下列说法中正确的有
A.若Sn≤,则M≤20
B. {an}中可能出现连续五项构成等差数列
C.对任意小于M的正整数p,q,存在正整数i,j,使得ai+aj=Sp-Sq
D.对{an}中任意一项ar,必存在as,at(s≠t),使得ar,as,at按照一定顺序排列可以构成等差数列
三、填空题:本题共4小题,每小题5分,共20分。
13.若平面向量a=(1,1),b=(2,m)满足a⊥(a-b),则m= .
14.若一个偶函数的值域为(0,1],则这个函数的解析式可以是f(x)= .
15.如图,发电厂的冷却塔外形是由双曲线的一部分绕其虚轴所在直线旋转所得到的曲面,该冷却塔总高度为70米,水平方向上塔身最窄处的半径为20米,最高处塔口半径25米,塔底部塔口半径为20米,则该双曲线的离心率为 .
.
16.三棱锥P-ABC的底面是以AC为底边的等腰直角三角形,且AC=2,各侧棱长均为3,点E为棱PA的中点,点Q是线段CE上的动点,则E到平面ABC的距离为 ;设Q到平面PBC的距离为d1,Q到直线AB的距离为d2,则d1+d2的最小值为 .
四、解答题:本题共6小题,共70分。解答应写出文字说明、证明过程或演算步骤。
17.(10分)
公差不为零的等差数列{an}满足a3=a5a8,a6=1.
(1)求{an}的通项公式;
(2)记{an}的前n项和为Sn,求使Sn<an成立的最大正整数n.
18.(12分)
某公司采购部需要采购一箱电子元件,供货商对该电子元件整箱出售,每箱10个.在采购时,随机选择一箱并从中随机抽取3个逐个进行检验.若其中没有次品,则直接购买该箱电子元件;否则,不购买该箱电子元件.
(1)若某箱电子元件中恰有一个次品,求该箱电子元件能被直接购买的概率;
(2)若某箱电子元件中恰有两个次品,记对随机抽取的3个电子元件进行检测的次数为X,求X的分布列及期望.
19.(12分)
如图,圆台上底面圆O1半径为1,下底面圆O2半径为,AB为圆台下底面的一条直径,圆O2上点C满足AC=BC,PO1是圆台上底面的一条半径,点P,C在平面ABO1的同侧,且PO1∥BC.
(1)证明:平面PAC1平面ABC;
(2)若圆台的高为2,求直线AO1与平面PBC所成角的正弦值.
20.(12分)
如图,ΔABC内一点P满足PB⊥PC,AC=BP=2.
(1)若AB=,PC=,求sin∠ACP的值;
(2)若AB=,sin∠ACP=,求AP的长.
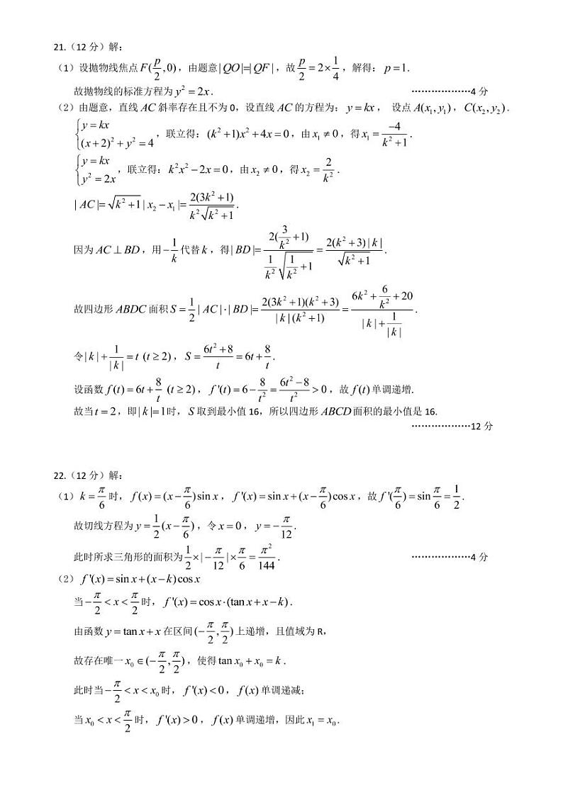
21.(12分)
已知抛物线E:y2=2px(p>0),点Q((,m)为E上一点,且Q到E的准线的距离等于其到坐标原点O的距离.
(1)求E的方程;
(2)设AB为圆(x+2)2+y2=4的一条不垂直于y轴的直径,分别延长AO,BO交E于
C,D两点,求四边形ABCD面积的最小值.
22.(12分)
定义在(-,+∞)上的函数f(x)=(x-k)sinx.
(1)当b=时,求曲线y=f(x)在点(,0)处的切线与两坐标轴所围成的三角形的面积;
(2)将f(x)的所有极值点按照从小到大的顺序排列构成数列{xn},若f(x1)+f(x2)=0,
求k的值.
湖北省武汉市2022-2023学年高三下学期4月调研考试数学试卷Word版含答案: 这是一份湖北省武汉市2022-2023学年高三下学期4月调研考试数学试卷Word版含答案,共13页。试卷主要包含了 选择题的作答, 非选择题的作答, 阅读下段文字等内容,欢迎下载使用。
湖北省武汉市2022-2023学年高三下学期4月调研考试数学试卷含答案: 这是一份湖北省武汉市2022-2023学年高三下学期4月调研考试数学试卷含答案,共13页。
湖北省武汉市2023届高三毕业生4月调研考试数学试卷: 这是一份湖北省武汉市2023届高三毕业生4月调研考试数学试卷,文件包含2023四月调考答案pdf、2023年武汉四调数学试卷pdf等2份试卷配套教学资源,其中试卷共6页, 欢迎下载使用。

