资料中包含下列文件,点击文件名可预览资料内容
还剩3页未读,
继续阅读
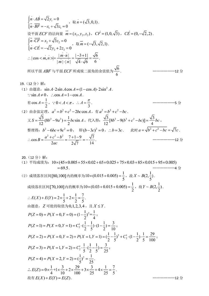
2022届湖北省武汉市高三2月调研数学试卷
展开这是一份2022届湖北省武汉市高三2月调研数学试卷,文件包含2022届湖北省武汉市高三2月调研数学试卷扫描版pdf、2022二月调考数学答案pdf等2份试卷配套教学资源,其中试卷共9页, 欢迎下载使用。
相关试卷
2024届武汉市高三九月调研考试 数学试卷:
这是一份2024届武汉市高三九月调研考试 数学试卷,文件包含2024届武汉市高三九调数学试卷pdf、2024届武汉市高三九调数学答案pdf等2份试卷配套教学资源,其中试卷共9页, 欢迎下载使用。
湖北省武汉市2022-2023学年高三下学期4月调研考试 数学试卷:
这是一份湖北省武汉市2022-2023学年高三下学期4月调研考试 数学试卷,共13页。试卷主要包含了 选择题的作答, 非选择题的作答, 阅读下段文字等内容,欢迎下载使用。
湖北省武汉市2023届高三年级二月调研考试数学试卷+答案:
这是一份湖北省武汉市2023届高三年级二月调研考试数学试卷+答案,共9页。

