2022-2023学年湖北省孝感市新高考联考协作体高二上学期9月联考数学试题含解析
展开2022-2023学年湖北省孝感市新高考联考协作体高二上学期9月联考数学试题
一、单选题
1.已知集合( )
A. B. C. D.
【答案】A
【分析】求出集合,再根据并集的定义即可得解.
【详解】解:因为,
所以.
故选:A.
2.已知为虚数单位,,则复数的虚部为( )
A. B. C.1 D.
【答案】D
【分析】利用复数除法运算化简,从而求得的虚部.
【详解】,故虚部为.
故选:D
3.设, 则 “”是“”的( )
A.充分而不必要条件
B.必要而不充分条件
C.充要条件
D.既不充分也不必要条件
【答案】A
【详解】由一定可得出;但反过来,由不一定得出,如,故选A.
【考点定位】本小题主要考查充分必要条件、不等式的性质等基础知识,熟练掌握这两部分的基础知识是解答好本类题目的关键.
4.已知,则( )
A. B.
C. D.
【答案】C
【分析】由指数函数的性质可得,由对数的运算可得,,即可比较大小.
【详解】解:因为,
,
,即,
所以.
故选:C.
5.设为单位向量,,当的夹角为时,在上的投影向量为( )
A.- B. C. D.
【答案】B
【分析】直接利用向量的投影向量的公式求解.
【详解】解:由题意,在上的投影向量为.
故选:B.
6.将函数的图像向左平移个单位长度后得到曲线C,若C关于y轴对称,则的最小值是( )
A. B. C. D.
【答案】C
【分析】先由平移求出曲线的解析式,再结合对称性得,即可求出的最小值.
【详解】由题意知:曲线为,又关于轴对称,则,
解得,又,故当时,的最小值为.
故选:C.
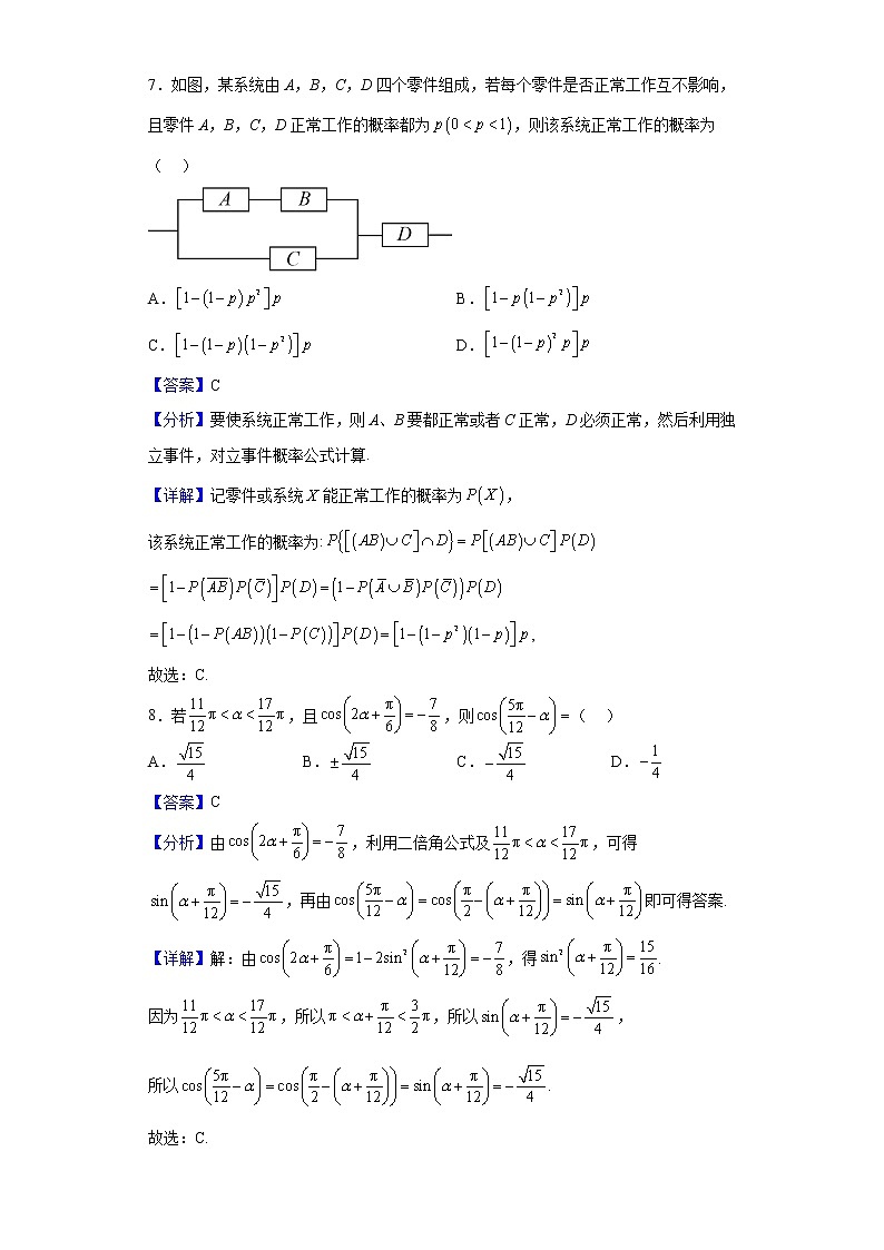
7.如图,某系统由A,B,C,D四个零件组成,若每个零件是否正常工作互不影响,且零件A,B,C,D正常工作的概率都为,则该系统正常工作的概率为( )
A. B.
C. D.
【答案】C
【分析】要使系统正常工作,则A、B要都正常或者C正常,D必须正常,然后利用独立事件,对立事件概率公式计算.
【详解】记零件或系统能正常工作的概率为,
该系统正常工作的概率为:
,
故选:C.
8.若,且,则( )
A. B. C. D.
【答案】C
【分析】由,利用二倍角公式及,可得,再由即可得答案.
【详解】解:由,得.
因为,所以,所以,
所以.
故选:C.
二、多选题
9.设、、为实数且,则下列不等式一定成立的是( )
A. B.
C. D.
【答案】CD
【分析】取,可判断A选项;利用对数函数的基本性质可判断B选项;利用指数函数的单调性可判断C选项;利用不等式的基本性质可判断D选项.
【详解】对于A,若,则,所以A错误;
对于B,函数的定义域为,而、不一定是正数,所以B错误;
对于C,因为,所以,所以C正确;
对于D,因为,所以,所以D正确.
故选:CD
10.在一个质地均匀的正四面体木块的四个面上分别标有数字1,2,3,4.连续抛掷这个正四面体木块两次,并记录每次正四面体木块朝下的面上的数字,记事件A为“两次记录的数字之和为偶数”,事件B为“第一次记录的数字为偶数”;事件C为“第二次记录的数字为偶数”,则下列结论正确的是( )
A.事件B与事件C是互斥事件
B.事件A与事件B是相互独立事件
C.
D.
【答案】BC
【分析】利用定义判断选项A的真假,利用公式计算判断选项BCD的真假,即得解.
【详解】对于A,事件与事件不是互斥事件,因为它们有可能同时发生,如,第一次和第二次都是数字4 ,故选项A错误;
对于B,对于事件与事件,,事件与事件是相互独立事件,故选项B正确;
对于C,,所以,故选项C正确;
对于D,事件表示第一次记录的数字为偶数,第二次记录的数字为偶数,故,故D错误.
故选:BC.
11.年4月至2021年12月我国规模以上工业天然气产量保持平稳,日均产量(亿立方米)与当月增速(%)如图所示,则( )
备注:日均产量是以当月公布的我国规模以上工业企业总产量除以该月日历天数计算得到.当月增速.
A.2021年10月份我国规模以上工业天然气产量当月增速比上月放缓个百分点
B.2021年8月份我国规模以上工业天然气产量为153亿立方米
C.2021年4月至2021年12月我国规模以上工业天然气产量当月增速的极差为
D.2021年4月至2021年12月我国规模以上工业天然气日均产量的40%分位数为亿立方米
【答案】ACD
【分析】根据图象提供的数据,结合极差以及百分位数的知识求得正确答案.
【详解】2021年10月份我国规模以上工业天然气产量当月增速为个百分点,
9月份增速为个百分点,比上月放缓个百分点,故A正确;
2021年8月我国规模以上工业天然气产量为亿立方米,故B错误;
2021年4月至12月我国规模以上工业天然气产量当月增速的极差为,故C正确;
2021年4月至12月我国规模以上工业天然气日均产量从小到大为,
因为,所以该组数据的分位数为亿立方米,故D正确.
故选:ACD
12.如图,正方体的棱长为1,线段上有两个动点,且,则下列结论中错误的是( )
A.平面
B.
C.三棱锥的体积为定值
D.的面积与的面积相等
【答案】BD
【分析】由线面平行的判定定理可判断A;由题意可证得平面,再由面面垂直的性质定理可判断B;由棱锥的体积公式计算三棱锥的体积可判断C;点到直线的距离大于点到直线的距离可判断D.
【详解】对于A,因为平面平面,所以平面,故A正确;
对于B,因为,而,所以,即,
若,,平面,则平面,即可得,由图分析显然不成立,故B不正确;
对于,
所以体积是定值,故C正确;
对于D,设的中点是,点到直线的距离是,
而点到直线的距离是,所以,
所以的面积与的面积不相等,D不正确.
故选:BD.
三、填空题
13.甲、乙两套设备生产的同类型产品共4800件,采用分层随机抽样的方法从中抽取一个容量为60的样本进行质量检测,若样本中有20件产品由甲设备生产,则乙设备生产的产品总数为___________件.
【答案】3200
【分析】先求出抽取样本中乙设备生产的件数,可求得抽样比,即可求出乙设备生产的产品总数.
【详解】因为样本中有20件产品由甲设备生产,40件产品由乙设备生产,
所以乙设备生产的产品总数为:(件).
故答案为:3200.
14.圆台的两个底面半径分别为2、4,截得这个圆台的圆锥的高为6,则这个圆台的体积是_____________.
【答案】28π
【分析】求出圆台的高,结合圆台的体积公式即得解.
【详解】解:设这个圆台的高为h,画出圆锥圆台的轴截面,可得,解得h=3,
所以这个圆台的体积是.
故答案为:28π
15.已知,则函数的最小值为___________.
【答案】
【分析】因为,则,再由均值不等式代入即可得出答案.
【详解】因为,所以,所以
7,
当且仅当,即时等号成立.
所以的最小值为7.
故答案为:.
16.已知球的球面上的四点平面,则球的表面积等于___________.
【答案】
【分析】由于平面,构造长方体,利用长方体模型很快便可找到球的直径,即可得出答案.
【详解】因为平面,构造如图所示的长方体,
又因为,所以长即为外接球的直径,
.故球的表面积等于.
故答案为:.
四、解答题
17.设复数.
(1)若是实数,求;
(2)若是纯虚数,求的共轭复数.
【答案】(1)
(2)
【分析】(1)根据是实数,求得,再由复数的乘法运算即可求得;
(2)由是纯虚数,可得,即有,即可得的共轭复数.
【详解】(1)解:是实数,
,
(2)解:是纯虚数,
所以,解得,
所以,
故的共轭复数为.
18.已知向量.
(1)求与的夹角;
(2)若向量满足∥,求的坐标.
【答案】(1)
(2)
【分析】(1)根据题意求出,的坐标及模,再利用夹角公式求解即可;
(2)设,根据∥,列出关于的二元一次方程组求解即可.
【详解】(1),
,,
设与的夹角为,
又;
(2)设,则,
因为∥,
所以,解得 ,
即
19.已知函数f(x)=,f(x)为R上的奇函数且f(1)=.
(1)求a,b;
(2)判断f(x)在[1,+∞)上的单调性并证明;
(3)当x∈[-4,-1]时,求f(x)的最大值和最小值.
【答案】(1)a=1,b=0 ;
(2)f(x)在[1,+∞)上为减函数,证明见解析;
(3).
【分析】(1)利用求出答案即可;
(2)f(x)在[1,+∞)上为减函数,利用定义证明即可;
(3)结合单调性和奇偶性可得f(x)在(-∞,-1]上为减函数,然后可得答案.
【详解】(1)f(x)为R上的奇函数,
∴f(0)=0,得b=0,
又,∴a=1,
∴f(x)=
(2)f(x)在[1,+∞)上为减函数,证明如下:
设x2>x1≥1,
∴f(x2)-f(x1)=-=
==.
∵x2>x1≥1,∴x1x2-1>0,x1-x2<0,
∴f(x2)-f(x1)<0,即f(x2)<f(x1),
∴f(x)在[1,+∞)上为减函数.
(3)∵f(x)为奇函数且f(x)在[1,+∞)上是减函数,
∴f(x)在(-∞,-1]上为减函数,
又x∈[-4,-1],
∴f(x)max=f(-4)=,f(x)min=f(-1)=.
20.2021年开始,湖北省推行全新的高考制度.新高考不再分文理科,采用“”模式,其中语文、数学、外语三科为必考科目,满分各150分,另外考生还需要依据想考取的高校及专业要求,结合自己的兴趣爱好等因素,在物理、历史2门科目中选一科,然后在思想政治、地理、化学、生物4门科目中自选2门参加考试.为了了解高一学生的选科意向,某学校对学生所选科目进行检测,下面是100名学生的物理、化学、生物三科总分成绩,以20为组距分成7组:,画出频率分布直方图如图所示.
(1)求频率分布直方图中的值以及物理、化学、生物三科总分成绩的中位数;
(2)估计这100名学生的物理、化学、生物三科总分成绩的平均数(同一组中的数据用该组区间的中点值作代表);
(3)为了进一步了解选科情况,在物理、化学、生物三科总分成绩在和的两组中用按比例分配的分层随机抽样方法抽取了7名学生,再从这7名学生中随机抽取2名学生进行问卷调查,求抽取的这2名学生来自不同组的概率.
【答案】(1),中位数为224分
(2)分
(3)
【分析】(1)根据频率之和为求得,根据频率之和为求得中位数.
(2)根据平均数的求法求得平均数.
(3)利用列举法,结合古典概型概率计算公式,计算出所求概率.
【详解】(1)由题图得,
解得.
,
,
三科总分成绩的中位数在内,
设中位数为,则,
解得,即中位数为224分.
(2)三科总分成绩的平均数为:
分.
(3)三科总分成绩在两组内的学生分别有25人,10人,
故抽样比为.
所以从三科总分成绩为和的两组中抽取的
学生人数分别为.
记事件“抽取的这2名学生来自不同组”.
三科总分成绩在内的5人分别记为在内的2人分别记为.
现在这7人中抽取2人,则试验的样本空间:
,,
,共21个样本点.
其中,
共10个样本点.
所以,即抽取的这2名学生来自不同组的概率为.
21.在中,角所对的边分别为,
;
(1)证明:为等腰三角形;
(2)若为边上的点,,且,,求的值.
【答案】(1)证明见解析;(2).
【分析】(1)根据已有等式,利用正弦定理作角化边,可得,最后再由余弦定理把所有角都化为边的等式得;最后,根据等式可化简出,故可证为等腰三角形.
(2)由,,可得, 然后,就可以根据角的相等关系,根据余弦定理或相似关系列出等式进行求解即可.
【详解】(1),由正弦定理得:,
由余弦定理得:;
化简得:,
所以即,
故为等腰三角形.
(2)如图,
由已知得,,
,
,
又,
,
即,
得,由(1)可知,得.
解法二:取的中点,连接.由(1)知,
由已知得,
,
,
.
解法三:由已知可得,由(1)知,,
又,
,
即,即,
.
【点睛】本题考查解三角形的问题,(1)题的关键就是利用正弦定理和余弦定理作角化边的转化,(2)题的难点在于根据已有关系化简出相应的等式关系求解,难度属于一般题.
22.如图是圆的直径,点在圆所在平面上的射影恰是圆上的点,且,点是的中点,与交于点,点是上的一个动点.
(1)求证:;
(2)求二面角平面角的余弦值;
(3)若点为的中点,且,求三棱锥的体积.
【答案】(1)证明见解析
(2)
(3)
【分析】(1)通过证明平面来证得.
(2)判断出二面角平面角,解直角三角形求得其余弦值.
(3)首先判断出,然后结合锥体体积公式求得三棱锥的体积.
【详解】(1)点在圆所在平面上的射影恰是圆上的点平面.
平面.
又,且,平面,
所以平面,又平面,所以.
(2)平面平面,
所以.
为二面角的平面角.
设,则.
由,为锐角,
在直角中可得,故.
故二面角平面角的余弦值为.
(3)在中,点是的中点,点是的中点,所以E为的重心,则在中有,
又点为的中点,所以,于是.
所以,,
在直角中,.
从而.
.所以三棱锥的体积为.
2024湖北省部分高中联考协作体高二上学期期中联考数学试题含解析: 这是一份2024湖北省部分高中联考协作体高二上学期期中联考数学试题含解析,文件包含湖北省部分高中联考协作体2023-2024学年高二上学期期中联考数学试题含解析docx、湖北省部分高中联考协作体2023-2024学年高二上学期期中联考数学试题无答案docx等2份试卷配套教学资源,其中试卷共28页, 欢迎下载使用。
2022-2023学年湖北省孝感市重点高中教研协作体高二上学期期中联考数学试题(解析版): 这是一份2022-2023学年湖北省孝感市重点高中教研协作体高二上学期期中联考数学试题(解析版),共21页。试卷主要包含了单选题,多选题,填空题,双空题,解答题等内容,欢迎下载使用。
2022-2023学年湖北省新高考联考协作体高一上学期12月联考数学试题(解析版): 这是一份2022-2023学年湖北省新高考联考协作体高一上学期12月联考数学试题(解析版),共14页。试卷主要包含了单选题,多选题,填空题,解答题等内容,欢迎下载使用。

