中考数学二轮压轴培优专题 二次函数与单线段最值问题(2份打包,教师版+原卷版)
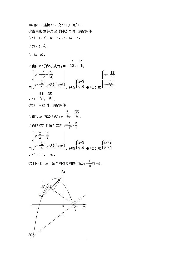
展开1.如图,已知抛物线y=a(x﹣3)(x+6)过点A(﹣1,5)和点B(﹣5,m),与x轴的正半轴交于点C.
(1)求a,m的值和点C的坐标;
(2)若点P是x轴上的点,连接PB,PA,当=时,求点P的坐标;
(3)在抛物线上是否存在点M,使A,B两点到直线MC的距离相等?若存在,求出满足条件的点M的横坐标;若不存在,请说明理由.
2.如图,在平面直角坐标系中,二次函数y=x2+bx+c的图象经过点A(0,﹣eq \f(7,4)),点B(1,eq \f(1,4)).
(1)求此二次函数的解析式;
(2)当﹣2≤x≤2时,求二次函数y=x2+bx+c的最大值和最小值;
(3)点P为此函数图象上任意一点,其横坐标为m,过点P作PQ∥x轴,点Q的横坐标为﹣2m+1.已知点P与点Q不重合,且线段PQ的长度随m的增大而减小.
①求m的取值范围;
②当PQ≤7时,直接写出线段PQ与二次函数y=x2+bx+c(﹣2≤x<eq \f(1,3))的图象交点个数及对应的m的取值范围.
3.已知:在平面直角坐标系中,抛物线y=ax2﹣2ax﹣3a交x轴于A、B两点(点A在点B的左边),交y轴负半轴于点C.
(1)则点A的坐标为 ,点B的坐标为 .
(2)如图1,过点A的直线y=ax+a交y轴正半轴于点F,交抛物线于点D,过点B作BE∥y轴交AD于E,求证:AF=DE.
(3)如图2,直线DE:y=kx+b与抛物线只有一个交点D,与对称轴交于点E,对称轴上存在点F,满足DF=FE.若a=1,求点F坐标.
4.如图,抛物线y=ax2+bx+5经过坐标轴上A、B和C三点,连接AC,tanC=eq \f(3,5),5OA=3OB.
(1)求抛物线的解析式;
(2)点Q在第四象限的抛物线上且横坐标为t,连接BQ交y轴于点E,连接CQ、CB,△BCQ的面积为S,求S与t的函数解析式;
(3)已知点D是抛物线的顶点,连接CQ,DH所在直线是抛物线的对称轴,连接QH,若∠BQC=45°,HR∥x轴交抛物线于点R,HQ=HR,求点R的坐标.
5.如图,二次函数y=x2+bx+c的图象与x轴交于点A(﹣1,0)和点B(3,0),与y轴交于点N,以AB为边在x轴上方作正方形ABCD,点P是x轴上一动点,连接CP,过点P作CP的垂线与y轴交于点E.
(1)求该抛物线的函数关系表达式;
(2)当点P在线段OB(点P不与O、B重合)上运动至何处时,线段OE的长有最大值?并求出这个最大值;
(3)在第四象限的抛物线上任取一点M,连接MN、MB.请问:△MBN的面积是否存在最大值?若存在,求出此时点M的坐标;若不存在,请说明理由.
6.已知点A(1,0)是抛物线y=ax2+bx+m(a,b,m为常数,a≠0,m<0)与x轴的一个交点.
(Ⅰ)当a=1,m=﹣3时,求该抛物线的顶点坐标;
(Ⅱ)若抛物线与x轴的另一个交点为M(m,0),与y轴的交点为C,过点C作直线l平行于x轴,E是直线l上的动点,F是y轴上的动点,EF=2eq \r(2).
①当点E落在抛物线上(不与点C重合),且AE=EF时,求点F的坐标;
②取EF的中点N,当m为何值时,MN的最小值是eq \f(\r(2),2)?
7.如图,二次函数y=ax2+bx+c的图象过O(0,0)、A(1,0)、B(eq \f(3,2),eq \f(\r(3),2))三点.
(1)求二次函数的解析式;
(2)若线段OB的垂直平分线与y轴交于点C,与二次函数的图象在x轴上方的部分相交于点D,求直线CD的解析式;
(3)在直线CD下方的二次函数的图象上有一动点P,过点P作PQ⊥x轴,交直线CD于Q,当线段PQ的长最大时,求点P的坐标.
8.如图,抛物线的顶点为A(h,﹣1),与y轴交于点B(0,﹣eq \f(1,2)),点F(2,1)为其对称轴上的一个定点.
(1)求这条抛物线的函数解析式;
(2)已知直线l是过点C(0,﹣3)且垂直于y轴的定直线,若抛物线上的任意一点P(m,n)到直线l的距离为d,求证:PF=d;
(3)已知坐标平面内的点D(4,3),请在抛物线上找一点Q,使△DFQ的周长最小,并求此时△DFQ周长的最小值及点Q的坐标.
9.如图所示,抛物线y=ax2﹣eq \f(3,2)x+c经过原点O与点A(6,0)两点,过点A作AC⊥x轴,交直线y=2x﹣2于点C,且直线y=2x﹣2与x轴交于点D.
(1)求抛物线的解析式,并求出点C和点D的坐标;
(2)求点A关于直线y=2x﹣2的对称点A′的坐标,并判断点A′是否在抛物线上,并说明理由;
(3)点P(x,y)是抛物线上一动点,过点P作y轴的平行线,交线段CA′于点Q,设线段PQ的长为l,求l与x的函数关系式及l的最大值.
10.如图,抛物线y=ax2+4x+c(a≠0)经过点A(﹣1,0),点E(4,5),与y轴交于点B,连接AB.
(1)求该抛物线的解析式;
(2)将△ABO绕点O旋转,点B的对应点为点F.
①当点F落在直线AE上时,求点F的坐标和△ABF的面积;
②当点F到直线AE的距离为eq \r(2)时,过点F作直线AE的平行线与抛物线相交,请直接写出交点的坐标.
中考数学二轮培优复习《几何模型》专题14 胡不归中的双线段模型与最值问题(2份打包,原卷版+教师版): 这是一份中考数学二轮培优复习《几何模型》专题14 胡不归中的双线段模型与最值问题(2份打包,原卷版+教师版),文件包含中考数学二轮培优复习《几何模型》专题14胡不归中的双线段模型与最值问题教师版doc、中考数学二轮培优复习《几何模型》专题14胡不归中的双线段模型与最值问题学生版doc等2份试卷配套教学资源,其中试卷共18页, 欢迎下载使用。
中考数学二轮压轴培优专题 二次函数与与线段数量关系最值定值问题(2份打包,教师版+原卷版): 这是一份中考数学二轮压轴培优专题 二次函数与与线段数量关系最值定值问题(2份打包,教师版+原卷版),文件包含中考数学二轮压轴培优专题二次函数与与线段数量关系最值定值问题教师版doc、中考数学二轮压轴培优专题二次函数与与线段数量关系最值定值问题原卷版doc等2份试卷配套教学资源,其中试卷共34页, 欢迎下载使用。
中考数学二轮压轴培优专题 二次函数与线段和最值问题(2份打包,教师版+原卷版): 这是一份中考数学二轮压轴培优专题 二次函数与线段和最值问题(2份打包,教师版+原卷版),文件包含中考数学二轮压轴培优专题二次函数与线段和最值问题教师版doc、中考数学二轮压轴培优专题二次函数与线段和最值问题原卷版doc等2份试卷配套教学资源,其中试卷共31页, 欢迎下载使用。

