2021-2022学年河南省濮阳市第一高级中学高二下学期期中质量检测数学(理)试题含答案
展开1. 已知复数在复平面内对应的点的坐标为,则( )
A. B. 2C. D. 8
2. 已知集合,,则( )
A. B. C. D.
3. 命题“,”的否定为( )
A. ,B. ,
C. ,D. ,
4. 要为5名游客和2位导游拍照留念,要求排成一排,且2位导游相邻,不同的排法共有( )种
A. 1440B. 960C. 720D. 240
5. 下列求导运算正确的是( )
A. B.
C. D.
6. 设等比数列前n项和为,若,则=( )
A. 2B. C. D. 3
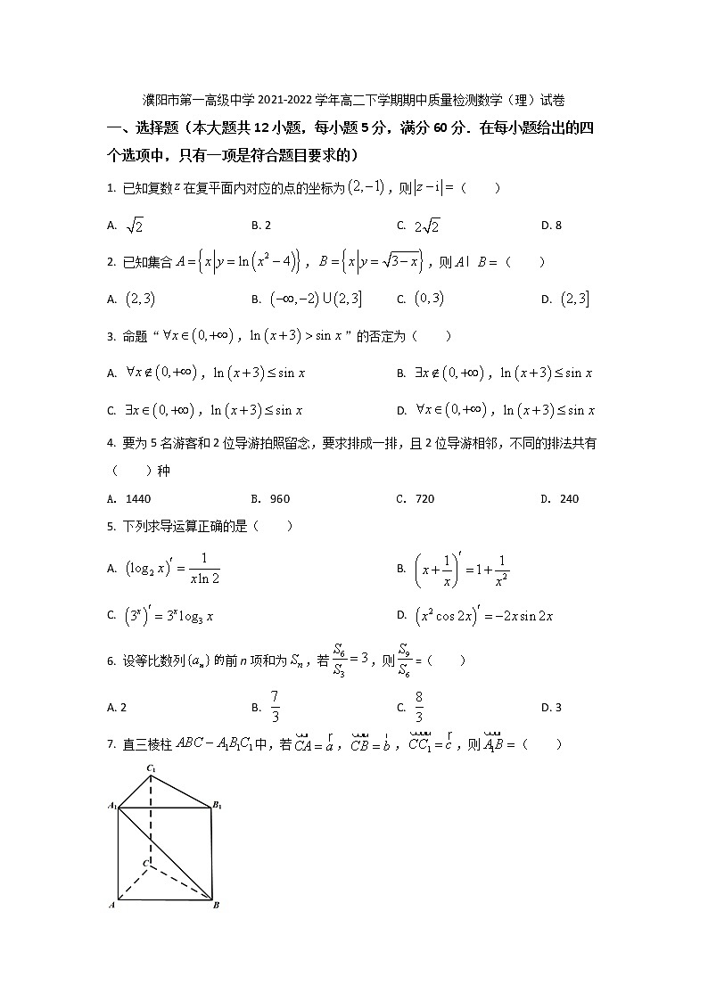
7. 直三棱柱中,若,,,则( )
A. B.
C. D.
8. 已知函数,则函数的图象可能是( )
A. B.
C. D.
9. 已知数列的前n项和为,,,则( )
A. B. C. 1025D. 2049
10. 已知函数,若实数m,n满足不等式,则( )
A B.
C. D.
11. 阿波罗尼斯研究圆锥曲线光学性质得到:从抛物线的焦点发出的光线或声波在经过抛物线反射后,反射光线平行于抛物线的对称轴;反之,平行于抛物线对称轴的光线,经抛物线反射后,反射光线经过抛物线的焦点.设抛物线C:,一束平行于抛物线对称轴的光线经过,被抛物线反射后,又射到抛物线C上的Q点,则直线FQ的方程为( )
A. B.
C. D.
12. 函数在定义域内恒满足,其中为的导函数,则( )
A. B.
C. D.
二、填空题(共4小题,每小题5分,共20分)
13. 已知函数,则函数的最小值为________.
14. 已知数列满足若数列为递增数列,则实数a的取值范围为___________.
15. 如图,在棱长为1的正方体中,若E,F分别是上底棱的中点,则点A到平面的距离为______.
16. 若双曲线C的方程为,记双曲线C的左、右顶点为A,B.弦PQ⊥x轴,记直线PA与直线QB交点为M,其轨迹为曲线T,则曲线T的离心率为________.
三、解答题(本大题共6小题,共70分.解答应写出文字说明、证明过程或演算步骤)
17. 在△ABC中,内角A,B,C所对的边分别为a,b,c.已知,.
(1)求△ABC外接圆半径;
(2)求△ABC的面积的最大值.
18. 已知数列为等比数列,设其前n项和为,公比,且,.
(1)求数列的通项公式;
(2)记数列的前n项和为,求数列的前n项和.
19. 某商场销售某件商品的经验表明,该商品每日的销量 (单位:千克)与销售价格 (单位:元/千克)满足关系式,其中,为常数.已知销售价格为元/千克时,每日可售出该商品千克.
(1)求实数的值;
(2)若该商品的成本为元/千克,试确定销售价格的值,使商场每日销售该商品所获得的利润最大,并求出最大值.
20. 三棱柱中,AB⊥BC,.
(1)求证:平面平面ABC;
(2)若,求锐二面角余弦值.
21. 已知椭圆经过点,其右顶点为.
(1)求椭圆的方程;
(2)若点、在椭圆上,且满足直线与的斜率之积为,证明直线经过定点.
22. 已知函数,.
(1)讨论的单调性;
(2)若时,恒成立,求的取值范围.
答案
1-12 CBCAA BABBD DD
13. -
14.
15. 1
16.
17.(1)解:由,得.
由正弦定理得,
由余弦定理得,所以.
设△ABC外接圆半径为R,则,所以△ABC外接圆半径为3.
(2)
解:因为,,当且仅当a=c时,等号成立,所以,
所以,所以△ABC的面积的最大值.
18. (1)因为,,
所以.
,两式相除得,
解得,,
故数列的通项公式.
(2)由(1)得,
则,
故,
则,
所以数列的前n项和为.
19. (1)∵时,,
由函数式,得,∴.
(2)由(1)知该商品每日的销售量,
∴商场每日销售该商品所获得的利润为
,,
,
令,得,
当时,,函数在上递增;
当时,,函数在上递减;
∴当时,函数取得最大值.
所以当销售价格为元/千克时,商场每日销售该商品所获的利润最大.
20.(1)证明:取AC中点为O,连接,BO.
由已知条件知,,
∴,,.
又,∴.
又,AC,平面ABC,∴平面ABC.
又平面,∴平面平面ABC.
(2)
由(1)知OB,OC,两两垂直,故以O为坐标原点,OB,OC,所在直线分别为x轴、y轴、z轴建立如图所示的空间直角坐标系,
则,,,.
,∴,
∴,.
令平面NAC的法向量,
则,即 令z=1,则,
易知平面ABC的一个法向量,
∴,∴锐二面角的余弦值为.
21.(1)解:由题意可知,,将点的坐标代入椭圆的方程可得,可得,
因此,椭圆的方程为.
(2)
证明:若轴,则点、关于轴对称,则直线与也关于轴对称,
从而直线与的斜率互为相反数,不合乎题意.
设直线方程为,设点、,
联立,可得,
,可得,
由韦达定理可得,,
因,
整理可得,
即,化简得,
即,可得或.
当时,直线的方程为,此时直线过点,不合乎题意;
当时,直线的方程为,此时直线过定点,合乎题意.
综上所述,直线过定点.
22.(1)的定义域为,
当时,恒成立,所以在上单调递减;
当时,令,解得:,所以在上单调递增;
令,解得:,所以在上单调递减;
综上所述:当时,上单调递减.
当时, 在上单调递增,在上单调递减;
(2)
设 ,
则有
当时,在上单调递增,所以满足题意;
当时,,且,
使时,单调递减,使得不合题意.
的取值范围为.
2022-2023学年河南省濮阳市第一高级中学高二下学期期中数学试题含答案: 这是一份2022-2023学年河南省濮阳市第一高级中学高二下学期期中数学试题含答案,共19页。试卷主要包含了单选题,多选题,填空题,解答题等内容,欢迎下载使用。
2023届河南省濮阳市第一高级中学高三高考模拟质量检测数学(理)试题含解析: 这是一份2023届河南省濮阳市第一高级中学高三高考模拟质量检测数学(理)试题含解析,共21页。试卷主要包含了单选题,填空题,解答题等内容,欢迎下载使用。
2021-2022学年河南省濮阳市第一高级中学高二下学期期中文科数学试题Word版: 这是一份2021-2022学年河南省濮阳市第一高级中学高二下学期期中文科数学试题Word版,共10页。试卷主要包含了单选题,填空题,解答题等内容,欢迎下载使用。

