- 专题03 幂指对函数必考题型(真题、自招、模拟)分类训练-高考数学二轮复习讲义+分层训练(上海高考专用) 试卷 5 次下载
- 专题05 函数的应用必考题型(真题、自招、模拟)分类训练-高考数学二轮复习讲义+分层训练(上海高考专用) 试卷 5 次下载
- 专题06 数列必考题型(真题、自招、模拟)分类训练-高考数学二轮复习讲义+分层训练(上海高考专用) 试卷 6 次下载
- 专题07 导数及其应用必考题型(真题、自招、模拟)分类训练-高考数学二轮复习讲义+分层训练(上海高考专用) 试卷 6 次下载
- 专题08 平面向量及其应用必考题型(真题、自招、模拟)分类训练-高考数学二轮复习讲义+分层训练(上海高考专用) 试卷 6 次下载
专题04 三角函数必考题型(真题、自招、模拟)分类训练-高考数学二轮复习讲义+分层训练(上海高考专用)
展开专题04三角函数必考题型分类训练
【三年高考真题练】
一.选择题(共2小题)
1.(2020•上海)“α=β”是“sin2α+cos2β=1”的( )
A.充分非必要条件 B.必要非充分条件
C.充要条件 D.既非充分又非必要条件
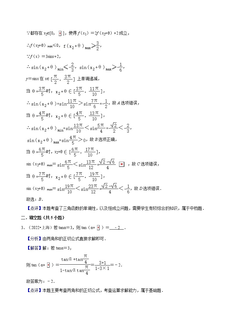
2.(2021•上海)已知f(x)=3sinx+2,对任意的x1∈[0,],都存在x2∈[0,],使得f(x1)=2f(x2+θ)+2成立,则下列选项中,θ可能的值是( )
A. B. C. D.
二.填空题(共5小题)
3.(2022•上海)若tanα=3,则tan(α+)= .
4.(2020•上海)函数y=tan2x的最小正周期为 .
5.(2020•上海)已知3sin2x=2sinx,x∈(0,π),则x= .
6.(2022•上海)函数f(x)=cos2x﹣sin2x+1的周期为 .
7.(2021•上海)已知θ>0,存在实数φ,使得对任意n∈N*,cos(nθ+φ)<,则θ的最小值是 .
三.解答题(共1小题)
8.(2020•上海)已知函数f(x)=sinωx,ω>0.
(1)f(x)的周期是4π,求ω,并求f(x)=的解集;
(2)已知ω=1,g(x)=f2(x)+f(﹣x)f(﹣x),x∈[0,],求g(x)的值域.
【三年自主招生练】
一.选择题(共2小题)
1.(2022•上海自主招生)对∀x∈R恒成立,则ω的最小值为( )
A. B.1 C. D.
2.(2022•上海自主招生)=( )
A. B. C.2 D.1
二.填空题(共3小题)
3.(2022•上海自主招生)求方程的根为 .
4.(2020•上海自主招生)函数y=,x∈(﹣,)的最小值是 .
5.(2020•上海自主招生)arcsin+arcsin= .
三.解答题(共2小题)
6.(2021•上海自主招生)求由曲线,x2+y2≥2围成的面积.
7.(2021•上海自主招生)已知△ABC中,tanC=﹣3tanA,求tanB最大值.
【最新模拟练】
一.选择题(共5小题)
1.(2022•静安区模拟)已知函数f(x)=|sinx|+cosx,下列结论正确的是( )
A.f(x)为偶函数
B.f(x)为非奇非偶函数
C.f(x)在[0,π]上单调递减
D.f(x)的图像关于直线对称
2.(2022•闵行区校级模拟)已知α,β∈(0,π),sin(α﹣β)=,,则α+β=( )
A. B.π C. D.
3.(2022•长宁区二模)已知函数f(x)=sinx+acosx满足:.若函数f(x)在区间[x1,x2]上单调,且满足f(x1)+f(x2)=0,则|x1+x2|的最小值为( )
A. B. C. D.
4.(2022•青浦区二模)已知函数f(x)=sinx+cosx的定义域为[a,b],值域为[﹣1,],则b﹣a的取值范围是( )
A.[,] B.[,] C.[,] D.[,]
5.(2022•浦东新区二模)将函数f(x)=sin2x的图像向左平移个单位后,得到函数g(x)的图像,设A,B,C为以上两个函数图像不共线的三个交点,则△ABC的面积不可能为( )
A. B. C. D.
二.填空题(共20小题)
6.(2022•崇明区二模)已知角α的终边经过点P(3,4),则sinα= .
7.(2022•奉贤区模拟)如果sinα=﹣,α为第三象限角,则sin(+α)= .
8.(2022•宝山区模拟)函数的最小正周期为 .
9.(2022•松江区二模)在△ABC中,若,则sinA= .
10.(2022•杨浦区模拟)已知sinx=,x∈(,π),则行列式的值等于 .
11.(2022•黄浦区模拟)若cosα=﹣,则= .
12.(2022•徐汇区三模)已知,则cos2α= .
13.(2022•徐汇区二模)已知,则tan2α=
14.(2022•普陀区二模)若x∈(﹣,π),则等式+=2成立的一个x的值可以是 .
15.(2022•青浦区二模)已知角α的终边过点P(﹣1,2),则tanα的值为 .
16.(2022•闵行区二模)若函数的图像向右平移φ个单位后是一个奇函数的图像,则正数φ的最小值为 .
17.(2022•浦东新区校级模拟)函数在[0,π]内的值域为[﹣1,],则ω的取值范围是 .
18.(2022•浦东新区校级二模)已知,且,则tanθ= .
19.(2022•静安区模拟)已知,则sin2α的值为 .
20.(2022•杨浦区二模)函数f(x)=cosωx(ω>0,x∈Z)的值域中仅有5个不同的值,则ω的最小值为 .
21.(2022•闵行区校级二模)已知函数y=﹣1+cosωx,x∈[﹣π,π](其中ω为常数,且ω>0)有且仅有3个零点,则ω的最小值为 .
22.(2022•浦东新区校级二模)将函数y=3sin(2x+)的图象向右平移个单位长度,则平移后的图象中与y轴最近的对称轴的方程是 .
23.(2022•闵行区校级模拟)已知函数g(x)=2sin(ωx+φ)(ω>0,0<φ<π)的部分图象如图所示,将函数g(x)的图象向右平移个单位长度,得到函数f(x)的图象,若集合A={x|y=},集合B={0,1,2},则A∩B= .
24.(2022•黄浦区二模)设a,b∈R,c∈[0,4π).若对任意实数x都有,则满足条件的有序实数组(a,b,c)的组数为 .
25.(2022•杨浦区模拟)若函数f(x)=cosmx(m>0)在区间(2π,3π)内既没有取到最大值1,也没有取到最小值﹣1,则m的取值范围为
三.解答题(共10小题)
26.(2022•杨浦区模拟)如图,有一块扇形草地OMN,已知半径为R,∠MON=,现要在其中圈出一块矩形场地ABCD作为儿童乐园使用,其中点A、B在弧上,且线段AB平行于线段MN.
(1)若点A为弧的一个三等分点,求矩形ABCD的面积S;
(2)当A在何处时,矩形ABCD的面积S最大?最大值为多少?
27.(2022•崇明区二模)已知.
(1)求函数y=f(x)的单调递增区间;
(2)设△ABC的内角A满足f(A)=0,且,求BC边长的最小值.
28.(2022•徐汇区三模)已知函数的部分图像如图所示.
(1)求函数f(x)的解析式;
(2)在∠A为锐角的△ABC中,角A、B、C的对边分别为a、b、c,若,且△ABC的面积为3,求a的值.
29.(2022•宝山区校级模拟)已知函数,其中φ∈[0,2π].
(1)若且直线是g(x)的一条对称轴,求g(x)的递减区间和周期;
(2)若,求函数h(x)=f(﹣x)g(x)在上的最小值.
30.(2022•闵行区校级模拟)已知(x∈R).
(Ⅰ)求函数y=f(x)的最小正周期及单调递增区间;
(Ⅱ)求函数在的取值范围.
31.(2022•奉贤区模拟)已知函数f(x)=sin2ωx+cos2ωx+1(0<ω<5),将函数的图像向右平移个单位,得到函数y=g(x)的图像,x=是g(x)一个零点.
(1)求函数y=f(x)的最小正周期;
(2)求函数y=g(x)在x∈[0,]上的单调区间.
32.(2022•虹口区二模)如图,某公园拟划出形如平行四边形ABCD的区域进行绿化,在此绿化区域中,分别以∠DCB和∠DAB为圆心角的两个扇形区域种植花卉,且这两个扇形的圆弧均与BD相切.
(1)若(长度单位:米),求种植花卉区域的面积;
(2)若扇形的半径为10米,圆心角为135°,则∠BDA多大时,平行四边形绿地ABCD占地面积最小?
33.(2022•浦东新区校级模拟)已知函数.
(1)解不等式f(x)≥﹣;
(2)若,若的最小值是﹣,求实数λ的值.
34.(2022•浦东新区校级二模)在△ABC中,记∠BAC=x(角的单位是弧度制),△ABC的面积为S,且•=8,4≤S≤4.
(1)求x的取值范围;
(2)根据(1)中x的取值范围,求函数f(x)=2sin2(x+)+2cos2x﹣的最大值和最小值.
35.(2022•浦东新区校级模拟)已知.
(1)若是周期为π的偶函数,求ω和θ的值;
(2)g(x)=f(3x)在上是增函数,求ω的最大值;并求此时g(x)在[0,π]上的取值范围.
专题13 概率与统计必考题型(真题、自招、模拟)分类训练-高考数学二轮复习讲义+分层训练(上海高考专用): 这是一份专题13 概率与统计必考题型(真题、自招、模拟)分类训练-高考数学二轮复习讲义+分层训练(上海高考专用),文件包含专题13概率与统计必考题型分类训练解析版docx、专题13概率与统计必考题型分类训练原卷版docx等2份试卷配套教学资源,其中试卷共34页, 欢迎下载使用。
专题06 数列必考题型(真题、自招、模拟)分类训练-高考数学二轮复习讲义+分层训练(上海高考专用): 这是一份专题06 数列必考题型(真题、自招、模拟)分类训练-高考数学二轮复习讲义+分层训练(上海高考专用),文件包含专题06数列必考题型分类训练解析版docx、专题06数列必考题型分类训练原卷版docx等2份试卷配套教学资源,其中试卷共84页, 欢迎下载使用。
专题05 函数的应用必考题型(真题、自招、模拟)分类训练-高考数学二轮复习讲义+分层训练(上海高考专用): 这是一份专题05 函数的应用必考题型(真题、自招、模拟)分类训练-高考数学二轮复习讲义+分层训练(上海高考专用),文件包含专题05函数的应用必考题型分类训练解析版docx、专题05函数的应用必考题型分类训练原卷版docx等2份试卷配套教学资源,其中试卷共63页, 欢迎下载使用。

