暑假9函数的概念及其表示(二)课件PPT
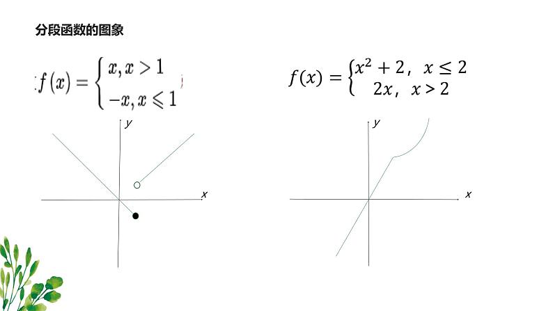
展开分段函数的定义:在函数的定义域内,对于自变量在不同取值范围内,有着不同的对应关系,这样的函数通常叫做分段函数.如函数
特别提醒:①分段函数是一个函数,而不是几个函数.处理分段函数问题时,要先确定自变量的取值在哪个区间,从而确定相应的对应关系.②分段函数的定义域是所有自变量取值区间的并集,分段函数的定义域只能写成一个集合的形式,不能分开写成几个集合的形式.④分段函数的值域是各段函数在对应关系的取值范围内值域的并集.
求函数解析式-待定系数法
求函数解析式-待定系数法
求函数解析式-方程组法
求函数解析式-方程组法
求函数解析式-配凑法(换元法)
高中人教A版 (2019)第三章 函数的概念与性质3.1 函数的概念及其表示多媒体教学ppt课件: 这是一份高中人教A版 (2019)第三章 函数的概念与性质3.1 函数的概念及其表示多媒体教学ppt课件,共32页。PPT课件主要包含了考点分类突破等内容,欢迎下载使用。
高中人教A版 (2019)3.1 函数的概念及其表示课文课件ppt: 这是一份高中人教A版 (2019)3.1 函数的概念及其表示课文课件ppt,共38页。
数学3.1 函数的概念及其表示教课课件ppt: 这是一份数学3.1 函数的概念及其表示教课课件ppt,共44页。

