暑假13指数运算课件PPT
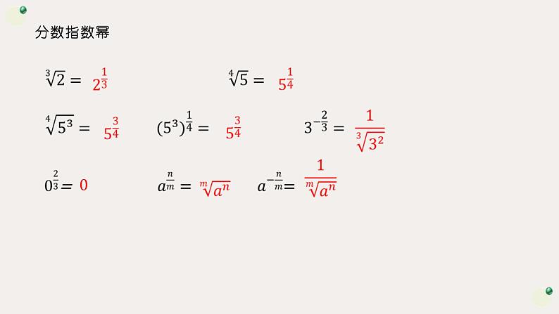
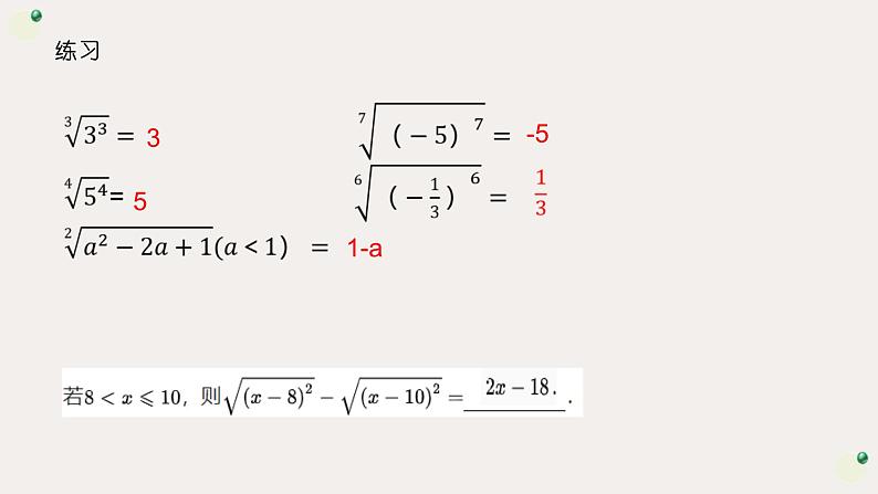
展开指数运算n次方根 根式练习 31-a5-5分数指数幂 0 分数指数幂分数指数幂 指数幂的运算练习练习练习
高中数学4.1 指数图片课件ppt: 这是一份高中数学4.1 指数图片课件ppt,共15页。PPT课件主要包含了整数指数幂,有理数指数幂,无理数指数幂,分数指数幂,两个等式,典型例题,巩固练习,化简或求值等内容,欢迎下载使用。
人教A版 (2019)必修 第一册4.1 指数授课ppt课件: 这是一份人教A版 (2019)必修 第一册4.1 指数授课ppt课件,共19页。PPT课件主要包含了无理指数幂,例3求值,=32,例5化简下列各式等内容,欢迎下载使用。
暑假14指数函数课件PPT: 这是一份暑假14指数函数课件PPT,共16页。PPT课件主要包含了指数函数的定义,指数函数的图象,指数函数的图象与性质,a>1,<a<1,一次函数,比较大小等内容,欢迎下载使用。

