2023届江西省丰城中学高三上学期期中考试数学(理)试题含答案
展开
这是一份2023届江西省丰城中学高三上学期期中考试数学(理)试题含答案,共1页。试卷主要包含了设全集,集合,则, 设,则“”是“”的, 函数的最小正周期为, 若函数的定义域为R,且,则, 已知m∈R,设p等内容,欢迎下载使用。
本试卷总分值为150分 考试时长为120分钟
考试范围:集合、逻辑、函数、三角、向量
选择题(本题包括12小题,每小题5分,共60分。在每小题给出的四个选项中只有一项是符合题目要求的)
1.设全集,集合,则( )
A. B. C. D.
2. 设,则“”是“”的( )
A. 充分不必要条件B. 必要不充分条件C. 充分必要条件 D. 既不充分也不必要条件
3. 函数的最小正周期为( )
A. B. C. D.
4.函数在区间的图像大致为( )
A. B. C. D.
5. 为了得到函数的图象,只要把函数图象上所有的点( )
A. 向左平移个单位长度 B. 向右平移个单位长度
C 向右平移个单位长度 D. 向左平移个单位长度
6.的内角A,B,C所对的边分别为a,b,c,已知,则的面积等于( )
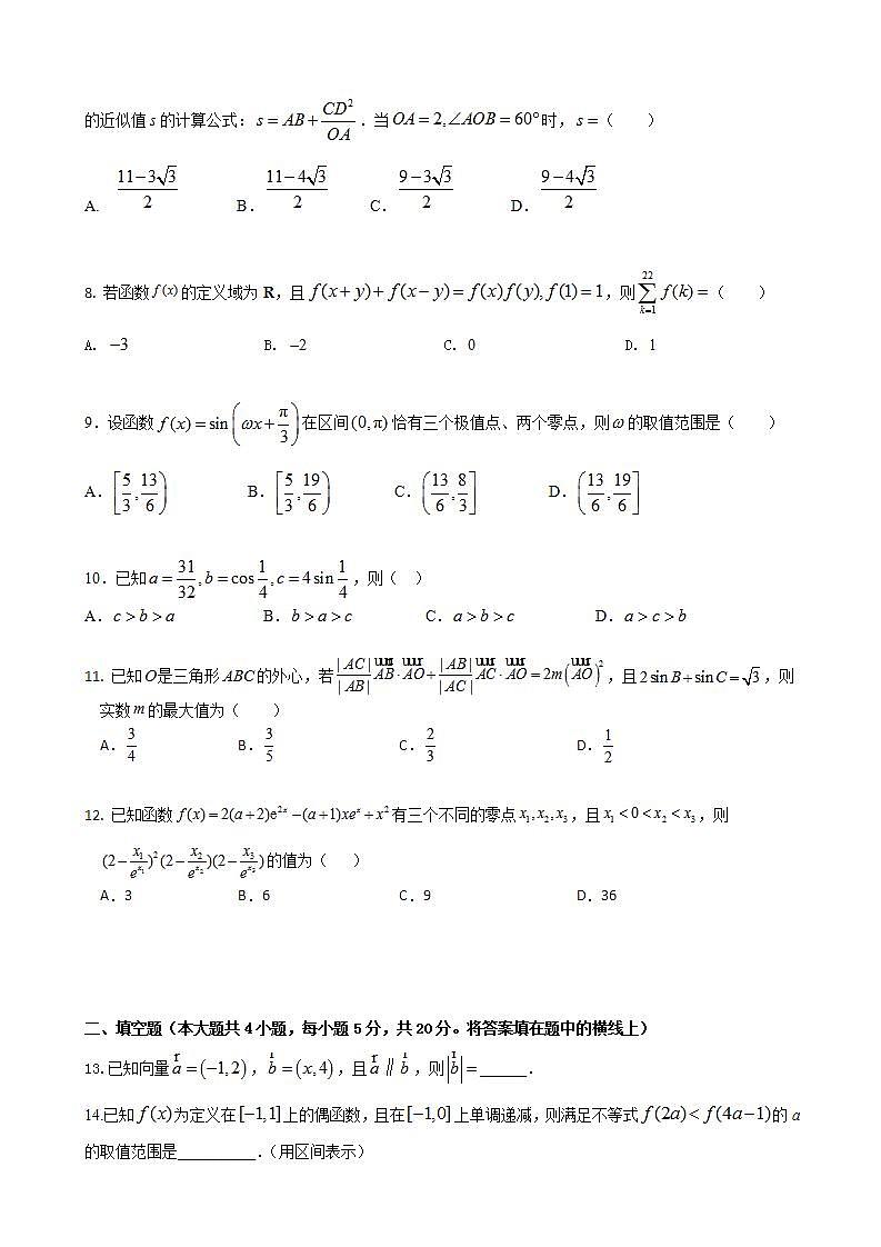
7.沈括的《梦溪笔谈》是中国古代科技史上的杰作,其中收录了计算圆弧长度的“会圆术”,如图,是以O为圆心,OA为半径的圆弧,C是AB的中点,D在上,.“会圆术”给出的弧长的近似值s的计算公式:.当时,( )
A. B. C. D.
8. 若函数的定义域为R,且,则( )
A. B. C. 0D. 1
9.设函数在区间恰有三个极值点、两个零点,则的取值范围是( )
A. B. C. D.
10.已知,则( )
A. B. C. D.
11. 已知是三角形的外心,若,且,则实数的最大值为( )
A.B. C. D.
12. 已知函数有三个不同的零点,且,则
的值为( )
A.3B.6 C.9 D.36
二、填空题(本大题共4小题,每小题5分,共20分。将答案填在题中的横线上)
13.已知向量,,且,则______.
14.已知为定义在上的偶函数,且在上单调递减,则满足不等式的a的取值范围是__________.(用区间表示)
15.______.
16.已知中,点D在边BC上,.当取得最小值时,________.
三、解答题(本大题共6小题,共70分。解答应写出必要的文字说明、证明过程或演算步骤)
17.(本题满分10分) 已知m∈R,设p:∀x∈[-1,1],x2-2x-4m2+8m-2≥0成立;q:∃x0∈[1,2],成立.如果“p∨q”为真,“p∧q”为假,求实数m的取值范围.
18.已知函数在处的切线方程为.
(1)求的解析式;
(2)求函数图象上的点到直线的距离的最小值.
19.已知函数,.
(1)存在,对任意,有不等式成立,求实数的取值范围;
(2)如果存在、,使得成立,求满足条件的最大整数;
20.记的内角A,B,C的对边分别为a,b,c,已知.
(1)若,求B; (2)求的最小值.
21.在①;②这两个条件中任选一个,补充在下面的问题中,并加以解答.
在中,a,b,c分别是角A,B,C的对边,已知______.
(1)求角A的大小;
(2)若为锐角三角形,且其面积为,点G为重心,点M为线段的中点,点N在线段上,且,线段与线段相交于点P,求的取值范围.
注:如果选择多个方案分别解答,按 第一个方案解答计分
22. 已知函数.
(1)当时,讨论的单调性;
(2)当时,,求a的取值范围.
高三期中理科试卷答案
一、选择题(本大题共12个小题,每小题5分,共60分)
13. 2√5 14. 15. 16.
解答题
17. 解 若p为真,则∀x∈[-1,1],4m2-8m≤x2-2x-2恒成立.
设f(x)=x2-2x-2,配方得f(x)=(x-1)2-3,
∴f(x)在[-1,1]上的最小值为-3,∴4m2-8m≤-3,解得 eq \f(1,2)≤m≤ eq \f(3,2),
∴p为真时, eq \f(1,2)≤m≤ eq \f(3,2).
若q为真,则∃x0∈[1,2],x eq \\al(\s\up3(2),\s\d1(0))-mx0+1>2成立,即m< eq \f(x eq \\al(\s\up3(2),\s\d1(0))-1,x0)成立.
设g(x)= eq \f(x2-1,x)=x- eq \f(1,x),则g(x)在[1,2]上是增函数,∴g(x)的最大值为g(2)= eq \f(3,2),
∴m< eq \f(3,2),∴q为真时,m< eq \f(3,2).
∵“p∨q”为真,“p∧q”为假,∴p与q一真一假.
当p真q假时, eq \b\lc\{(\a\vs4\al\c1(\f(1,2)≤m≤\f(3,2),,m≥\f(3,2),))∴m= eq \f(3,2);
当p假q真时, eq \b\lc\{(\a\vs4\al\c1(m\f(3,2),,m
相关试卷
这是一份2023届江西省丰城中学高三上学期期中考试数学(文)试题含答案,共21页。试卷主要包含了选择题,填空题,解答题等内容,欢迎下载使用。
这是一份2023届江西省丰城中学高三上学期期中考试数学(文)试题含答案,共9页。试卷主要包含了选择题,解答题等内容,欢迎下载使用。
这是一份2023届江西省丰城中学高三上学期第四次段考数学(理)试题(解析版),共22页。试卷主要包含了单选题,填空题,解答题等内容,欢迎下载使用。

