2023届甘肃省张掖市某重点校高三上学期11月月考数学(文)试题(解析版)
展开一、单选题
1.已知复数,则( )
A.B.C.D.
【答案】B
【分析】若,则,.
【详解】,则,
,故.
故选:B.
2.已知集合,集合,集合,则( )
A.B.C.D.
【答案】B
【分析】求出集合,然后根据交集、并集的定义求解即可.
【详解】,所以,所以.
故选:B.
3.已知数列,均为公差不为0的等差数列,且满足,,则( )
A.2B.1C.D.3
【答案】A
【分析】根据等差数列性质:,运算求解.
【详解】设数列,的公差分别为
∵,,则
∴,则
故选:A.
4.函数的部分图象大致是( )
A.B.
C.D.
【答案】B
【分析】判断函数的奇偶性,再确定时函数值的正负,利用排除法得正确结论.
【详解】定义域是,,函数为奇函数,排除A,
时,,,,所以,排除CD.
故选:B.
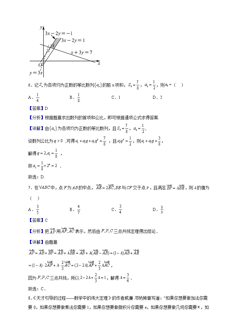
5.若x,y满足约束条件则z=y-3x的最大值为( )
A.B.C.-1D.
【答案】C
【分析】根据约束条件画出可行域,根据目标函数的几何意义即可求解最值.
【详解】根据约束条件画出可行域(如图),联立,故,
当直线经过点时,最大,此时 ,
故选:C
6.记为各项均为正数的等比数列的前n项和,,,则( )
A.B.C.1D.2
【答案】D
【分析】根据题意求出数列的首项和公比,即可根据通项公式求得答案.
【详解】由为各项均为正数的等比数列,且,,
设数列公比为 ,可得 ,且,则,
解得 ,
故 ,
故选:D.
7.在中,点为的中点,与交于点,且满足,则的值为( )
A.B.C.D.
【答案】C
【分析】把用表示,然后由三点共线定理得出结论.
【详解】由题意
,
因为三点共线,所以,解得.
故选:C.
8.《天才引导的过程——数学中的伟大定理》的作者威廉·邓纳姆曾写道:“如果你想要做加法你需要0,如果你想要做乘法你需要1,如果你想要做微积分你需要e,如果你想要做几何你需要,如果你想要做复分析你需要i,这是数学的梦之队,他们都在这个方程里”.这里指的方程就是:,令,,则,令,,则,若数列满足,为数列的前n项和,则下列结论正确的个数是( )
①是等比数列 ② ③ ④
A.1个B.2个C.3个D.4个
【答案】C
【分析】根据题意可知,进而即可根据所给式子逐一判断.
【详解】,
故是公比为的等比数列,A正确,
,B正确,
,故C错误,
由的定义可知,故D正确,
故选:C
9.已知点为的外心,的外接圆的半径为1,则与的夹角的正弦值为( )
A.B.C.D.
【答案】A
【分析】由已知可得:,两边同时平方利用数量积运算和已知条件,即可得出结果;
【详解】,,
,又,
,,
而,故.
故选:A
10.已知函数,若过点能作三条直线与的图像相切,则实数的取值范围是( )
A.B.C.D.
【答案】D
【分析】根据已知条件有三条直线相切,得两函数图像有三个交点,利用函数的单调性即可得到的取值范围.
【详解】由已知:,故,设切点为
所以切线斜率为,切线方程为,
将点坐标代入切线方程可得
化简可得
即函数与函数有三个不同的交点.
故,
当时,,函数单调递减
当时,,函数单调递增
当时,,函数单调递减
且时,,,且时,
所以的取值范围为
故选:D
11.设,则( )
A.B.
C.D.
【答案】D
【分析】构造两个函数,,与,,利用导数确定单调性后可得.
【详解】设,,则,所以在上单调递增,,,,所以,
设,,则,在上递减,
,,,即,
所以.
故选:D.
12.已知是定义域为R的奇函数,若的最小正周期为2,则下列说法一定正确的是( )
A.B.1是的一个周期
C.D.
【答案】C
【分析】由函数与的关系得其最小正周期,判断B,利用周期性与奇偶性求得和判断C,假若A成立,结合周期性得出函数为偶函数,从而判断A,利用周期性与奇偶性得出与的关系判断D.
【详解】的最小正周期是2,则的最小正周期是2,B错;
∴又,∴,C正确;
若,又,则,令,则有,因此是偶函数,与题意不符,A错;
,∴,D错.
故选:C.
二、填空题
13.若向量满足与垂直,则__________.
【答案】
【分析】由向量垂直得,然后由已知模等式平方后可得.
【详解】与垂直,则,,
,即,,
故答案为:.
14.若的图象向右平移个单位长度得到的图象,则的值可以是______.(写出满足条件的一个值即可)
【答案】(答案不唯一,满足均可)
【分析】根据图象平移得平移后的函数,从而可得,再根据,取合适的一个的值即可.
【详解】解:的图象向右平移后得到的函数为
则,解得,又
所以的值可以是当时,.
故答案为:(答案不唯一,满足均可)
15.已知点P(m,n)是函数图象上的点,当时,2m+n的最小值为______.
【答案】
【分析】根据基本不等式即可求解最小值.
【详解】P(m,n)是函数图象上的点,所以,
因为,所以,所以,当且仅当时取等号,故的最小值为.
故答案为:
16.在中,角所对的边分别为,若,且,则__________.
【答案】
【分析】已知条件,利用切化弦,两角和的正弦公式,正弦定理化简可得,已知条件,利用和差角的正弦公式和正弦定理,解得,最后用余弦定理解得.
【详解】中,,,
,
由正弦定理有,,
由,得,
有,即,
,得,
由,可得,
即,代入,
得,∴,
由余弦定理,
,得,
故答案为:
三、解答题
17.已知公比的绝对值大于1的等比数列中的前三项恰为中的三个数,为数列的前项和.
(1)求;
(2)求.
【答案】(1);
(2).
【分析】(1)根据题意确定前三项,结合等比数列通项公式可得结果;
(2)利用错位相减法求和即可.
【详解】(1)根据题意可知,,
所以公比,所以;
(2)由(1)知,,
,
所以,
所以,
所以,
,
所以.
18.已知.
(1)若与的夹角为钝角,,求的取值范围;
(2)若函数在上有10个零点,求的取值范围.
【答案】(1)
(2)
【分析】(1)根据与的夹角为钝角,可得与数量积小于零,且与不共线,化简求出范围即可.
(2)根据的解析式及进行换元,转化为在上有10个零点的问题,画图像进行分析,求出的取值范围.
【详解】(1)解:由题知,与的夹角为钝角,所以且与不共线,
则有,
且,
因为,
故,
(2)由题知,,
令,
则在上有10个零点,即在上有10个零点,画出的图像如下所示
故只需,解得,
故.
19.已知数列满足,
(1)若数列为数列的奇数项组成的数列,为数列的偶数项组成的数列,求出,并证明:数列为等差数列;
(2)求数列的前10项和.
【答案】(1)答案见解析;
(2).
【分析】(1)由已知递推关系求出数列前几项,易得,利用已知递推关系得出与的关系即得与的关系,从而证明是等差数列;
(2)用分组求和法求.
【详解】(1)由定义,,,,,,,,,,,
所以,,,
,
所以,所以是等差数列,公差为;
(2)由(1),,
,
.
20.如图,中,点为边上一点,且满足.
(1)证明:;
(2)若,求的面积.
【答案】(1)证明见解析;
(2).
【分析】(1)利用正弦定理,结合已知条件进行证明.
(2)结合第(1)问的结论,利用余弦定理、三角形的面积公式求解.
【详解】(1)因为,所以,
在中,由正弦定理有:,
在中,由正弦定理有:,
所以,
所以,而,
所以,所以.
(2)因为,在中,由余弦定理有:
,
因为是三角形的内角,所以,
由(1)有:,所以,
所以是的角平分线,所以,
所以,又,所以,
所以.
21.已知函数有两个极值点.
(1)若,求的取值范围;
(2)当时,求的最大值.
【答案】(1);
(2).
【分析】(1)求出导函数,由有两个不等正根(转化为一元二次方程有两个不等正根)可得参数范围;
(2)由(1)得出极值点满足,,计算化为的函数,然后引入新函数,利用导数求得其最大值.
【详解】(1),由题意有两个不等的正根,
所以,解得;
(2)由(1)知,,
,
设,则,时,,单调递减,
所以,从而,
所以的最大值是.
【点睛】思路点睛:本题考查用导数研究函数的极值点问题,求与极值点有关的最值.解题关键是理解极值点的定义,第一小问极值点的存在性转化为一元二次方程有两个不等的正根,由此可得参数范围,第二小问求二元函数的最值,关键是利用极值点与参数的关系把二元函数转化为一元函数,从而再利用导数求最值.
22.在直角坐标系 中,曲线的参数方程为 (t为参数),曲线的参数方程为 (为参数).
(1)以坐标原点为极点,x轴正半轴为极轴建立极坐标系,求曲线的极坐标方程与的普通方程;
(2)若 分别为曲线,曲线上的动点,求的最小值.
【答案】(1)的普通方程为,曲线的极坐标方程为.
(2).
【分析】(1)根据消参法可求得的普通方程,利用直角坐标与极坐标的转化公式可求得曲线的极坐标方程;
(2)设,求得其与点距离的表达式,利用导数求得其最小值,结合几何意义即可求得的最小值.
【详解】(1)由题意曲线的参数方程为 (t为参数)。
消去t可得,即的普通方程为;
曲线的参数方程为 (为参数),消去参数可得 ,
将 代入上式,
可得曲线的极坐标方程为;
(2)设,曲线表示圆,半径为1,圆心设为,
则 ,
令,则,
为时的递增函数,且,
当时,,递减,当时,,递增,
故,
则最小值为20,
即最小值为 ,分别为曲线上的动点,
所以的最小值为.
23.已知函数.
(1)若对,恒成立,求实数n的取值范围;
(2)若的最小值为4,且正数a,b,c满足a+2b+c=n,求的最小值.
【答案】(1)
(2)
【分析】(1)由绝对值三角不等式得,由题意知,即可得出的取值范围;
(2)由题意得,利用基本不等式求出的最小值,从而得出答案.
【详解】(1)由绝对值三角不等式得,当且仅当时等号成立,即,
由题意知,所以或,即或.
综上,的取值范围是.
(2)由(1)知,的最小值为,所以,解得或.
当时,,不符合题意,故舍去.
从而,即.
,当且仅当,即时等号成立,所以,
综上,的最小值为.
2023届甘肃省张掖市某重点校高三上学期第二次检测数学(文)试题含解析: 这是一份2023届甘肃省张掖市某重点校高三上学期第二次检测数学(文)试题含解析,共15页。试卷主要包含了单选题,填空题,解答题等内容,欢迎下载使用。
2023届甘肃省张掖市某重点校高三上学期12月月考数学(理)试题(解析版): 这是一份2023届甘肃省张掖市某重点校高三上学期12月月考数学(理)试题(解析版),共20页。试卷主要包含了单选题,填空题,解答题等内容,欢迎下载使用。
2023届甘肃省张掖市某重点校高三上学期12月月考数学(文)试题(解析版): 这是一份2023届甘肃省张掖市某重点校高三上学期12月月考数学(文)试题(解析版),共18页。试卷主要包含了单选题,填空题,解答题等内容,欢迎下载使用。

