2022学年第一学期杭州市高三教学质量检测数学模拟卷及解析
展开2022学年第一学期杭州市教学质量检测
数学模拟卷参考答案
一、单选题:本大题共8小题,每小题5分,共40分。在每小题列出的四个选项中有且只有一项符合题意,多选、错选、不选均不得分。
1. 2. 3. 4. 5. 6. 7. 8. A
二、多选题:本大题共4小题,每小题5分,共20分。在每小题列出的四个选项中有多项符合题意,选全得5分,漏选得2分,错选、不选均不得分。
9. 10. 11. 12.
三、填空题:本大题共4小题,每小题5分,共20分。
13. 14.
15. 16.
四、解答题:本大题共6小题,共70分。解答应写出文字说明,证明过程或演算步骤。
17. 解:由可得,
即,
因为,所以,因为,所以.
由可得,则,因为,所以,在中,由正弦定理可得,即,解得
由余弦定理可得,解得.记,,则点在线段上且为的中点,记的中点为,边上的高为,,,则.
,所以的最小值为.
18. 解:因为,,所以,因为,所以,所以是首项为,公比为的等比数列,所以.所以.由题意知,.所以,即 ,又,则.
所以.又,则,则.
,
,
得,
.
所以.
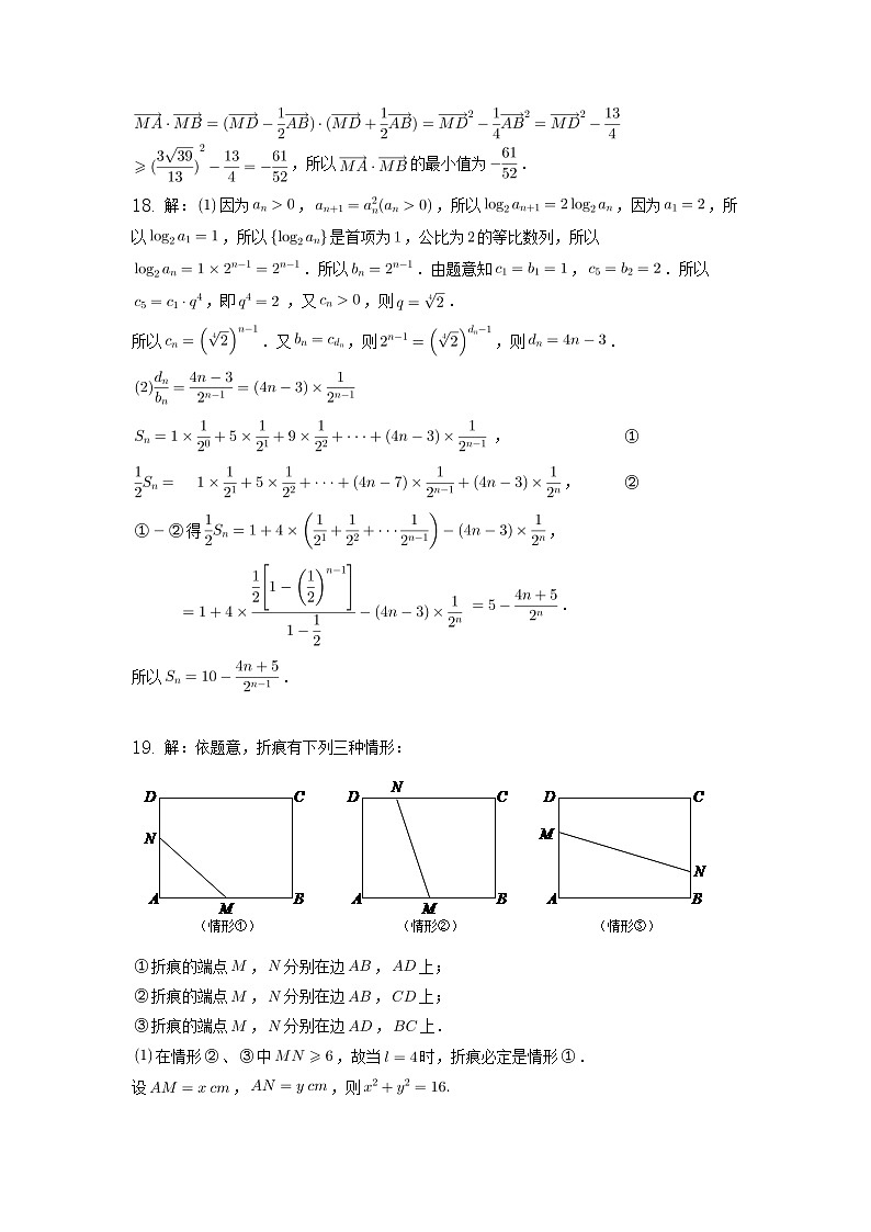
19. 解:依题意,折痕有下列三种情形:
折痕的端点,分别在边,上;
折痕的端点,分别在边,上;
折痕的端点,分别在边,上.
在情形、中,故当时,折痕必定是情形.
设,,则
因为,当且仅当时取等号,
所以,当且仅当时取等号.
即的最大值为
由题意知,长方形的面积为.
因为,,所以,.
(ⅰ)当折痕是情形时,设,,则,即.
由得.
所以,
令,则,设,
则,令,得负舍.
|
| ||||
所以的取值范围为,故的取值范围是;
(ⅱ)当折痕是情形时,设,,
则,即.
由得.
所以,.
所以的取值范围为;
(ⅲ)当折痕是情形时,设,,
则,即.
由得.
所以,.所以的取值范围为
综上所述,的取值范围为
20. 解:由散点图可以判断,更适宜作为平均产卵数关于平均温度的回归类型,
对两边取自然对数得,令,,,则,
因为,,
所以关于的回归方程为,所以关于的回归方程为.
由,
,
且,当时,,当时,.
所以函数在区间上单调递增,在区间上单调递减,
所以函数在处取得极大值,即最大值,故;
由可知,当时,取最大值,
又,则,由题意可知,
故,.
21. 解:Ⅰ抛物线:经过点,,解得,
由题意,直线的斜率存在且不为,设过点的直线的方程为,设,,联立方程组可得,消可得,,且,解得,且,则,,又、要与轴相交,直线不能经过点,即,故直线的斜率的取值范围是;
Ⅱ证明:设点,,则,,因为,所以,故,同理,
直线的方程为,
令,得,同理可得,
因为,
,为定值.
22. 解:∵(,,∴
即为偶函数.
(1)当时,,
当时,,所以,
所以当时,f'(x)0;当时,f'(x)0;
所以函数在上单调递增,在单调递减;
又根据偶函数的图象关于轴对称知,函数在上单调递增,在上单调递减;
所以在和上单调递增,在和上单调递减;
(2)因为,所以,
当a1时,f'(x)0对任意恒成立,此时在上单调递增,
又,所以关于的方程无实数根;
当时,使得,即.
且当时,;当时,;
所以函数在上单调递增,在单调递减;
,,
①当,即时,关于的方程在区间上无实数根,
又为偶函数,所以关于的方程在上无实数根;
②当,即时,关于的方程在区间上有1个实数根,
又为偶函数,所以关于的方程在上有2个实数根;
综上,当时,关于的方程在上有2个实数根;
当时关于的方程在上无实数根.
数学模拟卷小题解析
1. 【分析】
本题考查补集以及集合之间的关系,属于基础题.
根据题意画出图,由图即可得到.
【解答】
解:集合,,满足:,
如图,
.
故选:.
2. 【分析】
本题主要考查函数的单调性问题及充分、必要条件,属于基础题.
根据为单调减函数解出的范围,即可判断得结果.
【解答】
解:由题意可得为减函数,则,解得.
故选:
3. 【分析】
本题考查排列组合问题中简单的分组分配问题,属于基础题.
根据题意可知其中一名同学分得两本书,其余两名同学各分得一本书,利用排列组合数进行计算.
【解答】
解:根据题意可知其中一名同学分得两本书,其余两名同学各分得一本书,不同的分发数为种
故选D.
4. 【分析】
本题主要考查双曲线的基本性质,属于中档题.
利用双曲线的定义建立,,的关系即可解得答案.
【解答】
解:由题意可得焦点到渐近线的距离为,又因为,
所以,则,,
在中由余弦定理得,代入化简得,则渐近线方程.
故选:
5. 【分析】
本题考查了两角和与差的三角函数,以及正弦定理,属于中档题.
先利用两角差的正弦公式将原式变形,再利用正弦定理化角为边可得答案.
【解答】
解:因为,,
则
.
故选:.
6. 【分析】
本题考查由数列的递推公式求通项公式及分组求和,属于综合题.
由递推公式确定通项公式后,再求.
【解答】
解:因为,所以
又,所以是首项为,公比为的等比数列.
所以,则
故选:.
7. 【分析】
本题考查分段函数的最值问题、恒成立问题及分类讨论的思想,属于综合题.
先求出的最小值为,再将时转化为恒成立问题.
【解答】
解:因为当时,,令,得,则在上单调递减,上单调递增,即函数在处取得最小值,
所以问题转化为在上恒成立,令,
当时,不符合.
当时,对称轴,则或
解得或,所以
故选:.
8. 【分析】
本题主要考查利用导数研究函数的单调性,意在考查学生对该知识的掌握水平和分析推理能力,难度适中.
解答本题的关键有两点,其一是转化得到sinxf(x)﹣cosxf′(x)>0,其二是构造函数g(x)=cosxf(x)即可.
【解答】
解::因x∈(0,),故tanxf(x)>f′(x),
∴sinxf(x)>f′(x)cosx,即sinxf(x)﹣cosxf′(x)>0,
令g(x)=cosxf(x),
则 g′(x)=cosxf′(x)﹣sinxf(x)<0,
所以函数g(x)在(0,)为减函数,
∴cosf()>cosf(),
∴f()>f(),
故选A.
9. 【分析】
本题考查构造新函数,由函数图象判断自变量的大小,属于综合题.
等式两边取对数,构造函数函数,结合图象得到与的范围.
【解答】
解:两边取对数,得,构造函数,则.
,则在上单调递增,在上单调递减,且,
得的图象如右所示,
又,所以,.
故选:
10. 【分析】
本题考查了复数的运算以及几何意义,属于简单题.
【解答】
解:对于选项,,平方可得,项正确;
对于选项,取,则,当,项错误;
对于选项,,平方可得,即,
因此存在实数,使得,项正确;
对于选项,取,但,项错误.
11. 【分析】
本题考查新定义背景平面向量向量的线性运算,以及点到直线的距离公式,属于综合题.
根据题目的新定义对选项逐一判断即可.
【解答】
解:对于选项:若, ,
则;
因为,所以;故A错误;
对于选项:设以为圆心、半径为的圆上任意一点为,因为,所以,得,,,
即故B正确;
对于选项:, ,则,
即,
,故C错误;
对于选项:若,斜平面内直线的方程为,则在直角坐标下的直线的方程为,则原点到直线的方程为故D正确.
故选:
12. 【分析】
本题考查直线与椭圆的位置关系及应用,属于综合题.
通过设直线方程联立方程组,再借助韦达定理表示出所需验证的代数式是否为定值.
【解答】
解:由已知,,设直线的方程为,与椭圆方程联立得,消去得:,
设,,
则与有关,不是定值,故选项A错误.
是定值,故选项B正确.
与有关,不是定值故选项C错误.
定值故选项D正确.
故选:
13. 【分析】
本题考查正态曲线的性质,属于基础题.
利用正态曲线关于对称,得到与的关系.
【解答】
解:因为,所以正态曲线关于对称,且,
所以,所以.
14. 【分析】
本题考查等差数列的通项公式及基本不等式的应用,属于中档题.
先根据得到,再借助基本不等式求的最小值.
【解答】
解:因为,则,化简得
因为数列的各项均为正数,则,,则
当且仅当,即时取等号,所以的最小值为.
15. 【分析】
本题主要考查了圆的方程的综合运用,与圆有关的轨迹问题,两点间的距公式,中点坐标公式运用,考查了分析和运算求解能力,属于较难题.
设、,由条件可得,结合可得,代入坐标运算可得,即,设的中点为,则,利用中点坐标公式表示出点的轨迹方程,进而求出的取值范围即可求解.
【解答】
解:
由题意,设、,
则,
,
,即,
,
,
,
设的中点为,则,
得:
,
即,
点的轨迹是以为圆心,为半径的圆,
的取值范围为,
,
,
故答案为.
16. 【分析】
本小题主要考查函数单调性的应用、不等式的解法、进行简单的演绎推理等基础知识,考查运算求解能力,考查化归与转化思想.
先根据题意得,,,对于方程,将看成未知数,解二次方程得,由知,利用单调性结合的取值范围,即可得出的取值范围.
【解答】
解:得,,
,设,由
知,,由,得,
当时,有当,取最大,最大值;
当时,有当,取最小,最小值;
则的取值范围是.
故答案为.
2024届杭州市高三上学期教学质量检测-数学: 这是一份2024届杭州市高三上学期教学质量检测-数学,文件包含2024届杭州市高三上学期教学质量检测-数学试卷pdf、2024届杭州市高三上学期教学质量检测-数学答案pdf等2份试卷配套教学资源,其中试卷共7页, 欢迎下载使用。
浙江省杭州市2022-2023学年高三上学期教学质量检测数学试题: 这是一份浙江省杭州市2022-2023学年高三上学期教学质量检测数学试题,共22页。
浙江省杭州市2022-2023学年高三下学期教学质量检测(二模)数学答案: 这是一份浙江省杭州市2022-2023学年高三下学期教学质量检测(二模)数学答案,共1页。

