《新高考数学大二轮复习课件》专题二 第1讲 平面向量
展开KAO QING FEN XI
1.平面向量是高考的热点和重点,命题突出向量的基本运算与工具性, 在解答题中常与三角函数、直线和圆锥曲线的位置关系问题相结合, 主要以条件的形式出现,涉及向量共线、数量积等.2.常以选择题、填空题的形式考查,中低等难度.
考点一 平面向量的线性运算
共线定理及推论1.已知向量a=(x1,y1),a≠0,b=(x2,y2),则a∥b⇔b=λa⇔x1y2-x2y1=0.
则A,B,C三点共线⇔λ+μ=1.
所以C中关系式不正确;
解析 因为a=(1,m),b=(2,1-n),且a∥b,所以2m=1-n,即2m+n=1,因为m,n均为正数,
向量线性运算问题的求解方法(1)进行向量的线性运算时,要尽可能地将向量转化到同一个平行四边形或三角形中,利用平行四边形法则、三角形法则求解.(2)应用平面几何知识,如三角形中位线、相似三角形的性质等,可以简化运算.(3)在平面向量的化简或运算中,要根据平面向量基本定理恰当地选取基底,变形要有方向,不能盲目转化.
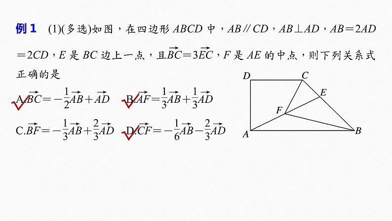
解析 如图,设F为BC中点,
又G,D,E三点共线,
考点二 平面向量的数量积
例2 (1)(2021·宜昌模拟)若两个非零向量a,b满足|a+b|=|a-b|=2|a|,则a-b与b的夹角为
解析 因为|a+b|=|a-b|=2|a|,左右同时平方,所以|a+b|2=|a-b|2=4|a|2,即|a|2+|b|2+2a·b=|a|2+|b|2-2a·b=4|a|2,所以a·b=0且|b|2=3|a|2,
因为〈a-b,b〉∈[0,π],
解析 ∵A,B是圆O:x2+y2=1上的两个动点,
求向量数量积的三种方法(1)定义法.(2)利用向量的坐标运算.(3)利用数量积的几何意义.
解析 建立如图所示直角坐标系,则A(0,1),B(0,0),C(2,0),D(2,1),设E(x,y),
(2)(2021·甘肃民乐一中模拟)已知向量a,b的夹角为120°,|a|=2,|b|=1,若(a+3b)⊥(2a+λb),则实数λ=_____.
解析 因为向量a,b的夹角为120°,|a|=2,|b|=1,且(a+3b)⊥(2a+λb),所以(a+3b)·(2a+λb)=0,即2a2+(6+λ)a·b+3λb2=0,
考点三 平面向量的综合应用
向量求最值的常用方法1.利用三角函数求最值.2.利用基本不等式求最值.3.建立坐标系,设变量构造函数求最值.
A.18 D.48
解析 骑行过程中,A,B,C,D,E相对不动,只有P点绕D点作圆周运动.如图,以AD为x轴,E为坐标原点建立平面直角坐标系,
(2)(2021·武汉模拟)已知△ABC的顶点坐标分别为A(3,4),B(6,0),C(-5,-2),则内角A的平分线所在直线方程为_____________.
所以直线的方程为y-4=7(x-3),即7x-y-17=0.
用向量法解决平面几何问题,通常是建立平面直角坐标系将问题坐标化,然后利用向量的坐标运算解有关问题,这样可以避免繁杂的逻辑推理,同时加强了数形结合思想在解题中的应用.
解析 建立如图所示的平面直角坐标系,因为AB∥CD,∠DAB=90°,AB=2,CD=AD=1,所以B(2,0),D(0,1),C(1,1),
则1×2-x(x+1)=0,解得x=1或x=-2,
4.(2021·滨州模拟)已知a>0,b>0,向量m=(a+2b,-9),n=(8,ab),若m⊥n,则2a+b的最小值为A.9 B.8 C. D.5
所以2a+b的最小值为8.
解析 建立以A为原点,AB所在直线为x轴的直角坐标系,
解析 如图,取A为坐标原点,AB所在直线为x轴建立平面直角坐标系,
对于D选项,a+b=(-1,2),∵22≠1×(-1),则a+b与a不平行,D选项错误.
10.(2021·盐城模拟)下列关于向量a,b,c的运算,一定成立的有A.(a+b)·c=a·c+b·cB.(a·b)·c=a·(b·c)C.a·b≤|a|·|b|D.|a-b|≤|a|+|b|
解析 选项B中,左边为c的共线向量,右边为a的共线向量,故B不正确;根据数量积的分配律可知A正确;根据数量积的定义,可知a·b=|a||b|cs〈a,b〉≤|a|·|b|,故C正确;而|a-b|2=|a|2+|b|2-2a·b=|a|2+|b|2-2|a||b|cs〈a,b〉≤|a|2+|b|2+2|a||b|=(|a|+|b|)2,故|a-b|≤|a|+|b|,故D正确.
A.钝角三角形 B.直角三角形C.等腰三角形 D.等边三角形
则△ABC一定是直角三角形,也有可能是等腰直角三角形,不可能是钝角三角形和等边三角形.
解析 因为点P是△ABC所在平面内一点,
13.(2021·邯郸模拟)已知平面向量a=(3,4),非零向量b满足b⊥a,则b=________.(答案不唯一,写出满足条件的一个向量坐标即可)
解析 设b=(x,y),因为b⊥a,所以3x+4y=0,可取b=(4,-3).
15.(2021·新高考全国Ⅱ)已知向量a+b+c=0,|a|=1,|b|=|c|=2,a·b+b·c+c·a=________.
解析 由已知可得(a+b+c)2=a2+b2+c2+2(a·b+b·c+c·a)=9+2(a·b+b·c+c·a)=0,
解析 如图,以A为原点建立平面直角坐标系,则B(0,2),C(4,0),
设BC的中点为D(2,1),
2023届高考数学二轮复习专题二平面向量、三角函数与解三角形第1讲平面向量课件: 这是一份2023届高考数学二轮复习专题二平面向量、三角函数与解三角形第1讲平面向量课件,共29页。PPT课件主要包含了答案1D,答案211,答案1C等内容,欢迎下载使用。
《新高考数学大二轮复习课件》专题六 第1讲 直线与圆: 这是一份《新高考数学大二轮复习课件》专题六 第1讲 直线与圆,共60页。PPT课件主要包含了内容索引,考点一直线的方程,考点二圆的方程,专题强化练等内容,欢迎下载使用。
《新高考数学大二轮复习课件》专题二 培优点7 平面向量“奔驰定理”: 这是一份《新高考数学大二轮复习课件》专题二 培优点7 平面向量“奔驰定理”,共18页。PPT课件主要包含了∴PQ∥AB,跟踪演练,∴OA⊥OB等内容,欢迎下载使用。

