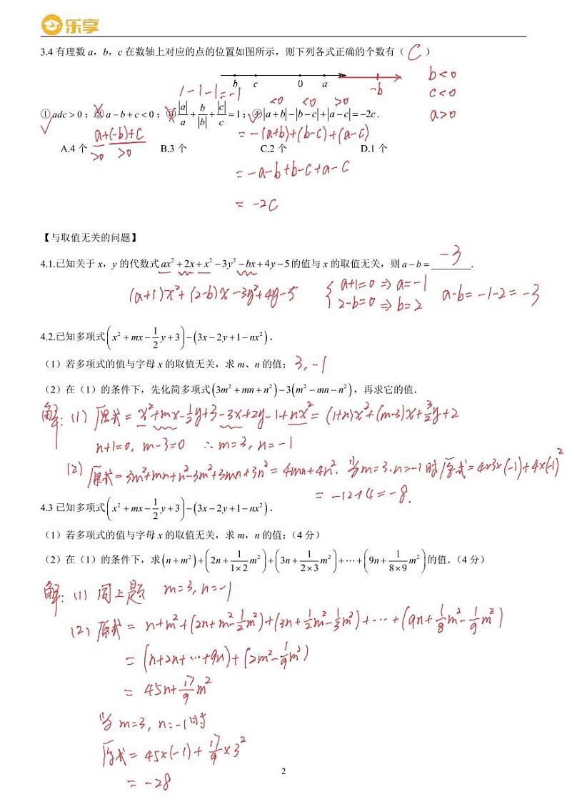
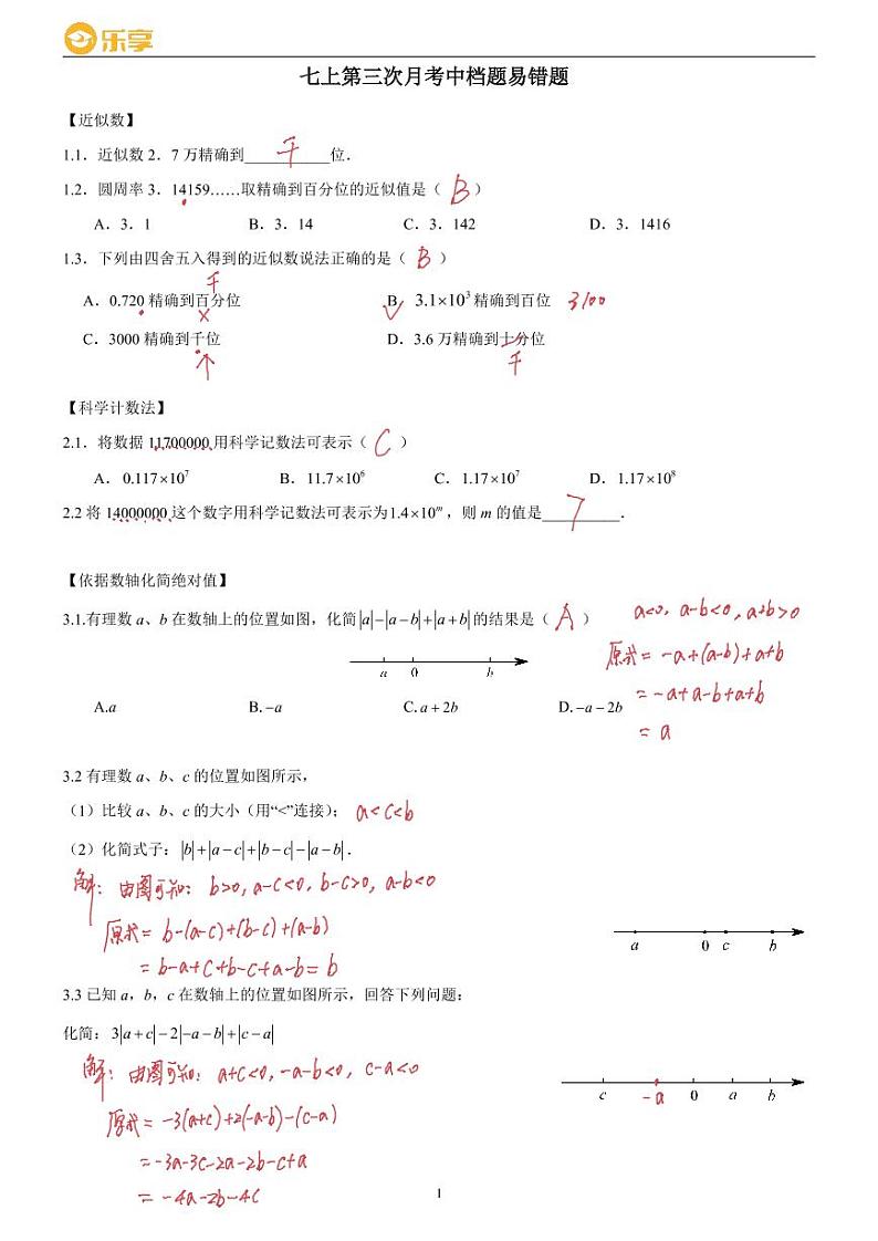
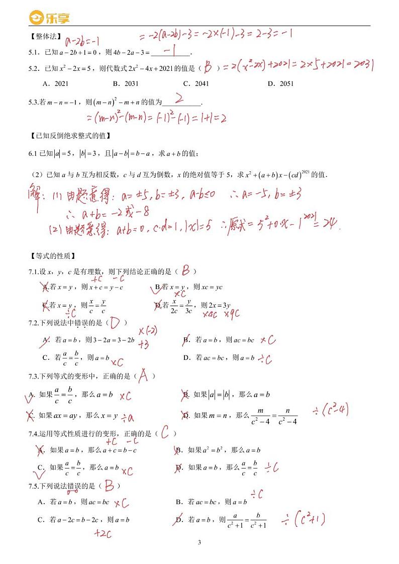
2022长沙四大名校集团七上第三次月考数学中档题易错题合集含解析
展开2023春季长沙四大名校集团中考一模及二模数学压轴题合集: 这是一份2023春季长沙四大名校集团中考一模及二模数学压轴题合集,共10页。
破解2022长沙四大名校集团九上第三次月考数学压轴题: 这是一份破解2022长沙四大名校集团九上第三次月考数学压轴题,共10页。试卷主要包含了1?请说明你的理由等内容,欢迎下载使用。
2021秋·长沙四大名校集团九上第3次月考数学压轴汇编试题含参考答案: 这是一份2021秋·长沙四大名校集团九上第3次月考数学压轴汇编试题含参考答案,文件包含2021秋·九上第3次月考数学压轴汇编参考答案pdf、2021秋·九上第3次月考数学压轴汇编试题pdf等2份试卷配套教学资源,其中试卷共39页, 欢迎下载使用。

