终身会员
搜索
    上传资料 赚现金
    英语朗读宝

    2022高考数学试题全详解

    立即下载
    加入资料篮
    资料中包含下列文件,点击文件名可预览资料内容
    • 练习
      2022年全国统一高考数学试卷(理科)(乙卷)(邵金龙、岳惠艺 张鸿茂、闫延).doc
    • 练习
      2022年全国统一高考数学试卷(新高考ⅱ)(贺雷颖、吕鹏).doc
    • 练习
      2022年全国统一高考数学试卷(新高考ⅰ卷)(王安寓、张荣华、李腾龙).doc
    • 练习
      2022年全国统一高考数学试卷(理科)(甲卷)(曹波、邹红云、田跃东).doc
    • 练习
      2022年浙江省高考数学试卷(范世祥、郭倩、赵洋).doc
    • 练习
      2022年北京市高考数学试卷(田昊、雷芳).doc
    • 练习
      2022年全国统一高考数学试卷(文科)(乙卷)(刘兴、胡文博、王灵芝).doc
    • 练习
      2022年全国统一高考数学试卷(文科)(甲卷)(彭禹萌、沈文荣).doc
    • 练习
      2022年天津市高考数学试卷(文亮、黄文冰、陈姣、高峰、王行知、黄志军、郭倩).doc
    • 练习
      2022年上海市秋季高考数学试卷.doc
    • 练习
      2022年上海市春季高考数学试卷.doc
    • 练习
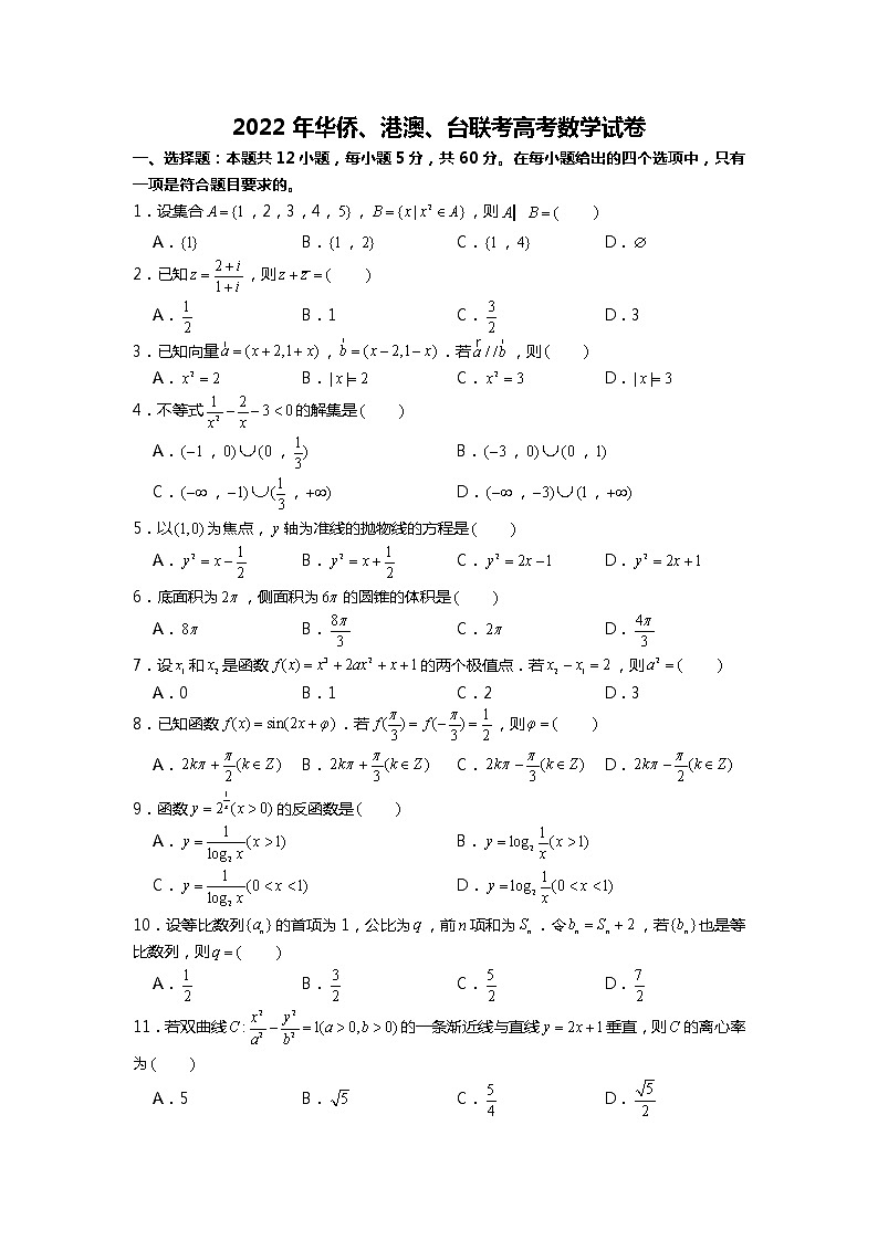
      2022年华侨、港澳、台联考高考数学试卷.doc
    • 练习
      《2022高考数学试卷全详解》前言.doc
    • 练习
      《2022高考数学试卷全详解》前言.pdf
    2022年全国统一高考数学试卷(理科)(乙卷)(邵金龙、岳惠艺   张鸿茂、闫延)第1页
    2022年全国统一高考数学试卷(理科)(乙卷)(邵金龙、岳惠艺   张鸿茂、闫延)第2页
    2022年全国统一高考数学试卷(理科)(乙卷)(邵金龙、岳惠艺   张鸿茂、闫延)第3页
    2022年全国统一高考数学试卷(新高考ⅱ)(贺雷颖、吕鹏)第1页
    2022年全国统一高考数学试卷(新高考ⅱ)(贺雷颖、吕鹏)第2页
    2022年全国统一高考数学试卷(新高考ⅱ)(贺雷颖、吕鹏)第3页
    2022年全国统一高考数学试卷(新高考ⅰ卷)(王安寓、张荣华、李腾龙)第1页
    2022年全国统一高考数学试卷(新高考ⅰ卷)(王安寓、张荣华、李腾龙)第2页
    2022年全国统一高考数学试卷(新高考ⅰ卷)(王安寓、张荣华、李腾龙)第3页
    2022年全国统一高考数学试卷(理科)(甲卷)(曹波、邹红云、田跃东)第1页
    2022年全国统一高考数学试卷(理科)(甲卷)(曹波、邹红云、田跃东)第2页
    2022年全国统一高考数学试卷(理科)(甲卷)(曹波、邹红云、田跃东)第3页
    2022年浙江省高考数学试卷(范世祥、郭倩、赵洋)第1页
    2022年浙江省高考数学试卷(范世祥、郭倩、赵洋)第2页
    2022年浙江省高考数学试卷(范世祥、郭倩、赵洋)第3页
    2022年北京市高考数学试卷(田昊、雷芳)第1页
    2022年北京市高考数学试卷(田昊、雷芳)第2页
    2022年北京市高考数学试卷(田昊、雷芳)第3页
    2022年全国统一高考数学试卷(文科)(乙卷)(刘兴、胡文博、王灵芝)第1页
    2022年全国统一高考数学试卷(文科)(乙卷)(刘兴、胡文博、王灵芝)第2页
    2022年全国统一高考数学试卷(文科)(乙卷)(刘兴、胡文博、王灵芝)第3页
    2022年全国统一高考数学试卷(文科)(甲卷)(彭禹萌、沈文荣)第1页
    2022年全国统一高考数学试卷(文科)(甲卷)(彭禹萌、沈文荣)第2页
    2022年全国统一高考数学试卷(文科)(甲卷)(彭禹萌、沈文荣)第3页
    2022年天津市高考数学试卷(文亮、黄文冰、陈姣、高峰、王行知、黄志军、郭倩)第1页
    2022年天津市高考数学试卷(文亮、黄文冰、陈姣、高峰、王行知、黄志军、郭倩)第2页
    2022年天津市高考数学试卷(文亮、黄文冰、陈姣、高峰、王行知、黄志军、郭倩)第3页
    2022年上海市秋季高考数学试卷第1页
    2022年上海市秋季高考数学试卷第2页
    2022年上海市秋季高考数学试卷第3页
    2022年上海市春季高考数学试卷第1页
    2022年上海市春季高考数学试卷第2页
    2022年上海市春季高考数学试卷第3页
    2022年华侨、港澳、台联考高考数学试卷第1页
    2022年华侨、港澳、台联考高考数学试卷第2页
    2022年华侨、港澳、台联考高考数学试卷第3页
    《2022高考数学试卷全详解》前言第1页
    《2022高考数学试卷全详解》前言第1页
    还剩37页未读, 继续阅读
    下载需要10学贝 1学贝=0.1元
    使用下载券免费下载
    加入资料篮
    立即下载

    2022高考数学试题全详解

    展开

    这是一份2022高考数学试题全详解

    相关试卷

    1号卷·2022届全国高考最新原创冲刺试卷(三)文科数学试题+答案详解:

    这是一份1号卷·2022届全国高考最新原创冲刺试卷(三)文科数学试题+答案详解,共10页。

    2021全国各地区高考数学试题全详解:

    这是一份2021全国各地区高考数学试题全详解,文件包含2021年全国统一高考数学试卷理科甲卷转发请注明来源doc、2021年全国统一高考数学试卷天津卷转发请注明来源doc、2021年全国统一新高考数学试卷新高考1卷转发请注明来源doc、2021年全国统一新高考数学试卷浙江卷转发请注明来源doc、2021年全国统一高考数学试卷理科乙卷转发请注明来源doc、2021年全国统一新高考数学试卷新高考Ⅱ卷转发请注明来源doc、2021年全国统一高考数学试卷文科甲卷转发请注明来源doc、2021年全国统一高考数学试卷文科乙卷转发请注明来源doc、2021年全国统一高考数学试卷北京卷转发请注明来源doc、2021年上海市夏季高考数学试卷转发请注明来源doc、2021年上海市春季高考数学试卷转发请注明来源doc等11份试卷配套教学资源,其中试卷共189页, 欢迎下载使用。

    《2021高考数学试题全详解》:

    这是一份《2021高考数学试题全详解》

    欢迎来到教习网
    • 900万优选资源,让备课更轻松
    • 600万优选试题,支持自由组卷
    • 高质量可编辑,日均更新2000+
    • 百万教师选择,专业更值得信赖
    微信扫码注册
    qrcode
    二维码已过期
    刷新

    微信扫码,快速注册

    手机号注册
    手机号码

    手机号格式错误

    手机验证码 获取验证码

    手机验证码已经成功发送,5分钟内有效

    设置密码

    6-20个字符,数字、字母或符号

    注册即视为同意教习网「注册协议」「隐私条款」
    QQ注册
    手机号注册
    微信注册

    注册成功

    返回
    顶部
    Baidu
    map