高中数列求和方法大全(配练习及答案)
展开
这是一份高中数列求和方法大全(配练习及答案),共8页。试卷主要包含了教学目标,教学重点,教学过程等内容,欢迎下载使用。
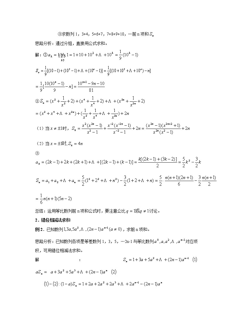
数列的求和一、教学目标:1.熟练掌握等差数列与等比数列的求和公式; 2.能运用倒序相加、错位相减、拆项相消等重要的数学方法进行求和运算; 3.熟记一些常用的数列的和的公式.二、教学重点:特殊数列求和的方法.三、教学过程:(一)主要知识:1.直接法:即直接用等差、等比数列的求和公式求和。(1)等差数列的求和公式: (2)等比数列的求和公式(切记:公比含字母时一定要讨论)2.公式法: 3.错位相减法:比如4.裂项相消法:把数列的通项拆成两项之差、正负相消剩下首尾若干项。常见拆项公式: ; 5.分组求和法:把数列的每一项分成若干项,使其转化为等差或等比数列,再求和。6.合并求和法:如求的和。7.倒序相加法:8.其它求和法:如归纳猜想法,奇偶法等(二)主要方法:1.求数列的和注意方法的选取:关键是看数列的通项公式; 2.求和过程中注意分类讨论思想的运用;3.转化思想的运用;(三)例题分析:例1.求和:① ② ③求数列1,3+4,5+6+7,7+8+9+10,…前n项和思路分析:通过分组,直接用公式求和。解:①②(1)当时,(2)当③总结:运用等比数列前n项和公式时,要注意公比讨论。2.错位相减法求和例2.已知数列,求前n项和。思路分析:已知数列各项是等差数列1,3,5,…2n-1与等比数列对应项积,可用错位相减法求和。解: 当 当3.裂项相消法求和例3.求和思路分析:分式求和可用裂项相消法求和.解: 练习:求 答案: 4.倒序相加法求和例4求证:思路分析:由可用倒序相加法求和。证:令则 等式成立5.其它求和方法还可用归纳猜想法,奇偶法等方法求和。例5.已知数列。思路分析:,通过分组,对n分奇偶讨论求和。解:,若若预备:已知成等差数列,n为正偶数,又,试比较与3的大小。解:可求得,∵n为正偶数, 巩固练习1.求下列数列的前项和:(1)5,55,555,5555,…,,…; (2); (3); (4); (5); (6). 2.已知数列的通项,求其前项和. 解:(1).(2)∵,∴.(3)∵∴.(4), 当时,…, 当时,… , …, 两式相减得 …,∴.(5)∵, ∴ 原式…….(6)设, 又∵, ∴ ,.2.已知数列的通项,求其前项和.解:奇数项组成以为首项,公差为12的等差数列,偶数项组成以为首项,公比为4的等比数列;当为奇数时,奇数项有项,偶数项有项,∴,当为偶数时,奇数项和偶数项分别有项, ∴,所以,.
相关试卷
这是一份微专题7 数列求和的常用方法,共5页。
这是一份微专题7 数列求和的常用方法,共6页。试卷主要包含了基本技能练,创新拓展练等内容,欢迎下载使用。
这是一份2023高考数学复习专项训练《数列求和方法》,共14页。试卷主要包含了、单选题,、填空题,、解答题等内容,欢迎下载使用。

