2020黄山高三下学期第二次质量检测数学(理)试题含答案
展开
这是一份2020黄山高三下学期第二次质量检测数学(理)试题含答案
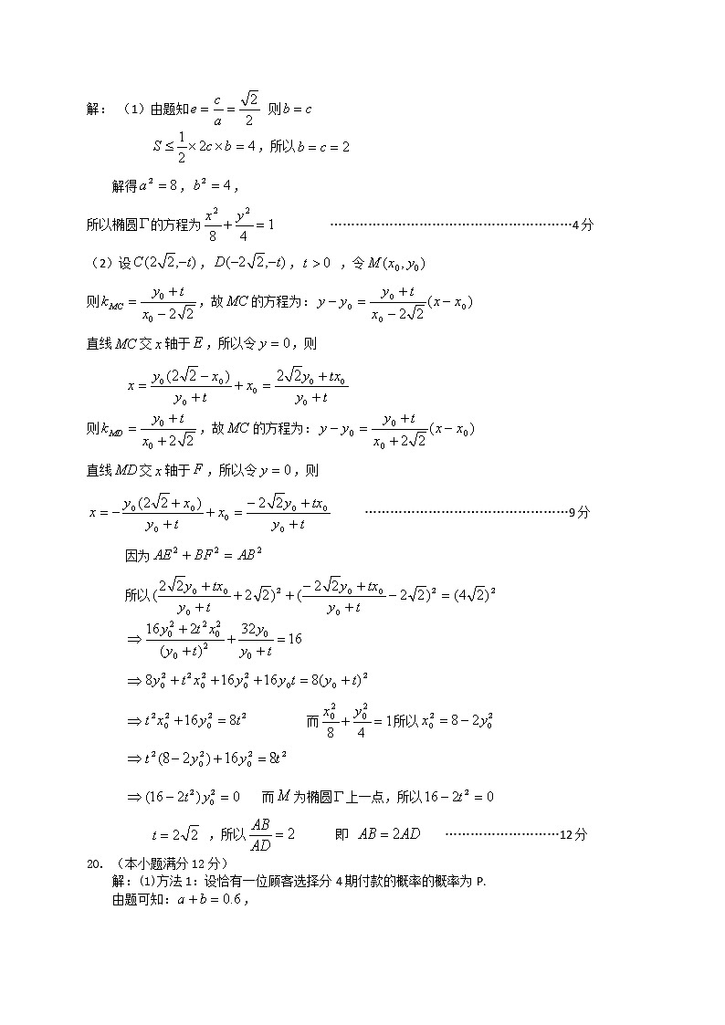
黄山市2020届高中毕业班第二次质量检测高三数学(理科)参考答案及评分标准一、选择题(本大题共12小题,每小题5分,共60分)1.D 2.A 3.C 4.C 5.B 6.D7.C 8.D 9.A 10.D 11.C 12.A二、填空题(本大题共4小题,每小题5分,共20分)13.511 14. 15. 16. 三、解答题(本大题共6小题,共70分.解答应写出文字说明、证明过程或演算步骤.)17. (本小题满分12分)解: (1)由则,而 ……………………………………3分所以 而 ,又,所以故 ………………………………………………6分(2)由,,成等差数列 且所以 ……………………………………………………8分又 则 所以,则 …………………………………12分18.(本小题满分12分)(1)证明: 因为,所以、、、四点共面.又平面,而平面,所以 由菱形,所以,令且,所以平面而平面,所以 …………………………3分因为且平面,所以平面则且,,由菱形且所以故,,则,所以,即又,所以平面,平面平面平面 …………………………………………6分(2)由菱形,所以,以,所在的直线分别为轴,轴,过做垂直于平面的为轴建立空间直角坐标系。则,所以,,,,所以,,令平面的一个法向量为,且,, 由,,所以由,所以,即令平面的一个法向量为,且,, 由,,所以由,所以,即 ………10分所以,则即二面角的大小为 ………………………………………12分19. (本小题满分12分)解: (1)由题知 则 ,所以 解得,,所以椭圆的方程为 …………………………………………………4分(2)设,, ,令则,故的方程为:直线交轴于,所以令,则则,故的方程为:直线交轴于,所以令,则 …………………………………………9分因为所以 而所以 而为椭圆上一点,所以 ,所以 即 ………………………12分20. (本小题满分12分)解:(1)方法1:设恰有一位顾客选择分4期付款的概率的概率为P.由题可知:,则.方法2:由于3位顾客中恰有1位选择“分4期付款”,则另外两位均不选“分4期付款”,所以.(2) (ⅰ)由题可得的值分别为4000,4500,5000,5500,6000.所以,取最大值的条件为所以分布列为:(ⅱ)解:由题可得,所以,化简得,即是等比数列,首项为,公比为,所以,化简得由题可知:(1)由题可知:,显然对所有都成立;(2),也是对所有都成立;(3)当为偶数时,上述不等式恒成立;当为奇数时,,解得即综上所述,的最小值为5.21.(本小题满分12分)解: (1)① 当时,,所以在上单调递增,无极值。② 当时,令,得,当时,;当时,即函数在上单调递减,在 上单调递增,此时只有一个极值点。综上所述,当时,在上无极值点; 当时,函数在上只有一个极值点。 ………………………………4分(2)当时,由题即在上恒成立令且则则且(ⅰ)当时,即时由于,,而所以,故在上单调递增,所以即,故在上单调递增,所以即在上恒成立,故符合题意 ………………9分(ⅱ)当时,即时由于在上单调递增令因为故在上存在唯一的零点,使因此,当时,,单调递减,所以即,在上单调递减,故,与题不符综上所述,的取值范围是 ………………………………………12分22.(本小题满分10分)选修4-4:坐标系与参数方程解: 的参数方程:(为参数) 得曲线的直角坐标方程: ……………………………………2分由得所以曲线的直角坐标方程为 ………………………………5分( = 2 \* ROMAN II)点的极坐标为,故其直角坐标为由:,则其参数方程为将的参数方程代入曲线的方程得 ①由于恒成立,不妨令方程①有两个不等实根,由于,所以异号,且则 ………………………………………10分23.(本小题满分10分)选修4-5:不等式选讲解:(1)由得所以 由即当,则 所以当时,则 所以当时,则 所以 故解集为 ……………………………………………………5分(2)因为,,且则当且仅当即,时,的最小值为. …………………10分40004500500055006000P0.160.240.330.180.09
相关试卷
这是一份2020合肥高三4月第二次质量检测数学(理)试题PDF版含答案
这是一份2020合肥高三4月第二次质量检测数学(理)试题含答案,文件包含数学试题doc、A2二模数学试题-理科答案pdf等2份试卷配套教学资源,其中试卷共10页, 欢迎下载使用。
这是一份2020黄山高三下学期第二次质量检测数学(文)试题扫描版含答案

