2023年高考数学人教A版(2019)大一轮复习--第九章 平面解析几何 高考解答题专项五 第2课时 最值与范围问题(课件)
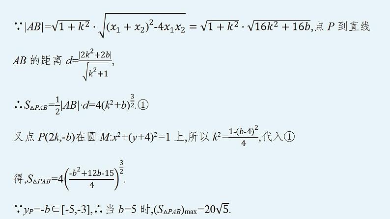
展开考向1.建立目标函数求最值例1.(2021全国乙,理21)已知抛物线C:x2=2py(p>0)的焦点为F,且点F与圆M:x2+(y+4)2=1上点的距离的最小值为4.(1)求p的值;(2)若点P在圆M上,直线PA,PB是抛物线C的两条切线,点A,点B是切点,求△PAB面积的最大值.
设直线lAB:y=kx+b,与抛物线方程联立,消去y并整理可得x2-4kx-4b=0,∴Δ=16k2+16b>0,即k2+b>0,且x1+x2=4k,x1x2=-4b,∴P(2k,-b).
方法总结建立目标函数求最值的常用方法
对点训练1(2021天津南开中学月考)如图,点P(0,-1)是椭圆C1: =1(a>b>0)的一个顶点,椭圆C1的长轴是圆C2:x2+y2=4的直径.l1,l2是过点P且互相垂直的两条直线,其中直线l1交椭圆C1于另一点D,直线l2交圆C2于A,B两点.(1)求椭圆C1的方程;(2)当△ABD的面积取得最大值时,求直线l1的方程.
考向2.构造基本不等式求最值例2.已知椭圆M: =1(a>0)的一个焦点为F(-1,0),左、右顶点分别为点A,点B.经过点F的直线l与椭圆M交于C,D两点.(1)当直线l的倾斜角为45°时,求线段CD的长;(2)记△ABD与△ABC的面积分别为S1和S2,求|S1-S2|的最大值.
(2)当直线l的斜率不存在时,直线方程为x=-1,此时△ABD与△ABC面积相等,|S1-S2|=0;当直线l的斜率存在时,设直线方程为y=k(x+1)(k≠0).
名师点析构造基本不等式求最值的步骤
对点训练2已知直线l1:ax-y+1=0,直线l2:x+5ay+5a=0,直线l1与l2的交点为M,点M的轨迹为曲线C.(1)当a变化时,求曲线C的方程;(2)已知D(2,0),过点E(-2,0)的直线l与曲线C交于A,B两点,求△ABD面积的最大值.
考向1.构造不等式法求范围
因为4k2+1>0,Δ=(8km)2-4(4k2+1)(4m2-4)>0,所以m2<4k2+1,①
方法总结构造不等式求范围的三种常用方法
(1)求双曲线C的方程;(2)若过点B(2,0)的直线交双曲线C于x轴下方不同的两点P,Q,设P,Q中点为点M,求△BOM面积的取值范围.
考向2.构造函数法求范围例4.已知抛物线C:y2=2px(p>0)的焦点为点F,点M(a,2 )在抛物线C上.(1)若|MF|=6,求抛物线的标准方程;(2)若直线x+y=t与抛物线C交于A,B两点,点N的坐标为(1,0),且满足NA⊥NB,原点O到直线AB的距离不小于 ,求p的取值范围.
方法总结利用求函数的值域的方法将待求量表示为其他变量的函数,求其值域,从而确定参数的取值范围.
(1)求动点P的轨迹E的方程;(2)若A,B两点分别为椭圆C的左、右顶点,点F为椭圆C的左焦点,直线PB与椭圆C交于点Q,直线QF,PA的斜率分别为kQF,kPA,求 的取值范围.
2024版高考数学一轮总复习第8章平面解析几何第8节第2课时范围最值问题课件: 这是一份2024版高考数学一轮总复习第8章平面解析几何第8节第2课时范围最值问题课件,共44页。PPT课件主要包含了四字程序等内容,欢迎下载使用。
适用于新教材2024版高考数学一轮总复习第九章平面解析几何解答题专项五第2课时最值与范围问题课件北师大版: 这是一份适用于新教材2024版高考数学一轮总复习第九章平面解析几何解答题专项五第2课时最值与范围问题课件北师大版,共38页。
高中数学高考63第九章 平面解析几何 高考专题突破五 第1课时 范围、最值问题课件PPT: 这是一份高中数学高考63第九章 平面解析几何 高考专题突破五 第1课时 范围、最值问题课件PPT,共60页。PPT课件主要包含了内容索引,课时作业,题型分类深度剖析,题型一范围问题,题型二最值问题等内容,欢迎下载使用。

