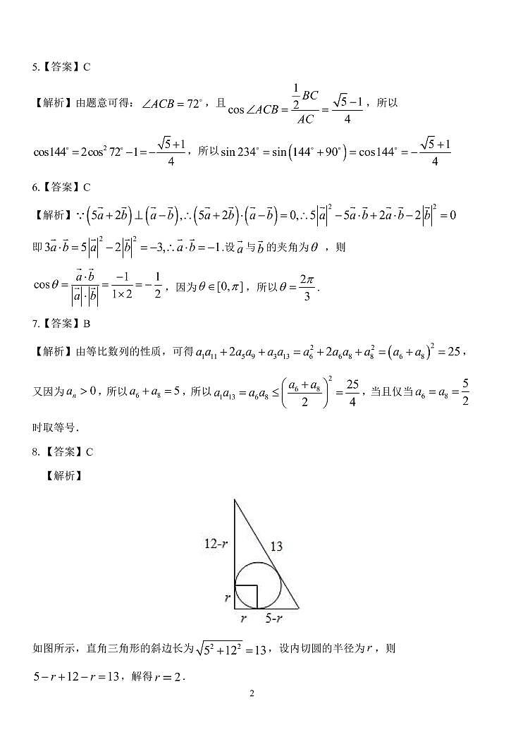
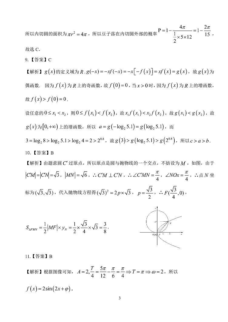
2022曲靖二中高三第三次模拟考试理科数学试题PDF版含答案
展开2020届宁夏银川一中高三5月第三次模拟考试理科数学试题 PDF版: 这是一份2020届宁夏银川一中高三5月第三次模拟考试理科数学试题 PDF版,文件包含宁夏银川一中2020届高三5月第三次模拟考试l理科数学试题pdf、银川一模理科数学答案docx等2份试卷配套教学资源,其中试卷共9页, 欢迎下载使用。
2020惠州高三6月模拟考试理科数学试题PDF版含答案: 这是一份2020惠州高三6月模拟考试理科数学试题PDF版含答案
2020曲靖二中学联体高三高考适应性检测理科数学试题PDF版含答案: 这是一份2020曲靖二中学联体高三高考适应性检测理科数学试题PDF版含答案

