河北省石家庄市重点中学2019-2020学年高一下学期期末模拟考试数学试题及参考答案
展开河北省石家庄市重点中学2019-2020学年高二上学期期末考试 数学试题: 这是一份河北省石家庄市重点中学2019-2020学年高二上学期期末考试 数学试题,共9页。试卷主要包含了本试卷分第I,给出下列命题等内容,欢迎下载使用。
河北省石家庄市2022-2023学年高一下学期期末数学试题: 这是一份河北省石家庄市2022-2023学年高一下学期期末数学试题,共10页。试卷主要包含了已知向量,,且,则m等于,已知,则值是,函数的部分图象如图所示,则等内容,欢迎下载使用。
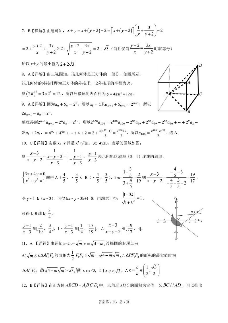
河北省石家庄市重点中学2019-2020学年高一下学期期末模拟考试数学试题: 这是一份河北省石家庄市重点中学2019-2020学年高一下学期期末模拟考试数学试题,文件包含高一数学期末模拟答案pdf、高一数学期末模拟试题pdf等2份试卷配套教学资源,其中试卷共10页, 欢迎下载使用。

