2022成都七中高三上学期7月零诊模拟考试数学(理)试题含答案
展开成都七中高2022届高二下期零诊模拟考试数学(理)
时间:120分钟 满分:150分
一、选择题:本大题共12小题,每小题5分,共60分.每小题只有一个正确选项.
1.设集合,,则( )
A. B. C. D.
2.复数满足(为虚数单位),则的虚部为( )
A. B. C. D.
3.极坐标系中,直线的方程为与曲线:的位置关系为( )
A.相交 B.相切 C.相离 D.不确定,与有关
4.若双曲线的中心为坐标原点,其焦点在轴上,离心率为,则该双曲线的渐近线方程为( )
A. B. C. D.
5.在中,角,,的对边分别是,,,已知,,则的大小为( )
A. B. C. D.
6.等差数列公差为,且满足,,成等比数列,则( )
A. B. C. D.
7.在圆内随机取一点,则点落在不等式组,表示的区域内的概率为( )
A. B. C. D.
8.已知直线为曲线在处的切线,则在直线上方的点是( )
A. B. C. D.
9.设,,:向量与的夹角为钝角,:,则是的( )条件
A.充分不必要 B.充要不充分 C.充要 D.既不充分也不必要
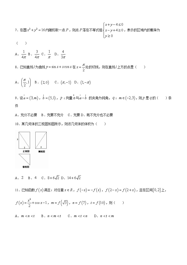
10.某几何体的三视图如图所示,则该几何体的体积为( )
A. B. C. D.
11.已知函数满足:对任意,,,且在区间上,,,,,则( )
A. B. C. D.
12.已知椭圆:的左右顶点分别为和,是椭圆上不同于,的一点.设直线,的斜率分别为,,则当取最小值时,椭圆的离心率为( )
A. B. C. D.
二、填空题:本大题共4小题,每小题5分,共20分.把答案填在答题卡上.
13.观察下列式子,,,,…,根据上述规律,第个不等式应该为______.
14.已知,,其中,,则的值为______.
15.已知偶函数,对任意的都有,且,则不等式的解集为______.
16.抛物线:与双曲线:有一个公共焦点,过上一点向作两条切线,切点分别为、,则______.
三、解答题:本大题共6小题,共70分.解答应写出文字说明、证明过程或演算步骤.
17.某企业员工人参加“学雷锋”志愿活动,按年龄分组:第组,第组,第组,第组,第组,得到的频率分布直方图如图所示.
区间 | |||||
人数 |
(1)上表是年龄的频数分布表,求正整数,的值;
(2)现在要从年龄较小的第,,组中用分层抽样的方法抽取人,年龄在第,,组的人数分别是多少?
(3)在(2)的前提下,从这人中随机抽取人参加社区宣传交流活动,求至少有人年龄在第组的概率.
18.已知曲线.
(1)当时,求曲线在处的切线方程;
(2)对任意的,都有,求实数的取值范围.
19.如图,四棱柱的底面是菱形,,底面,,.
(1)证明:平面平面;
(2)若,求锐二面角的余弦值.
20.已知椭圆:的右焦点为,且经过点.点是轴上一点.过点的直线与椭圆交于,两点(点在轴上方).
(1)求椭圆的方程;
(2)若,且直线与圆:相切于点,求的长.
21.已知函数,
(Ⅰ)当时,记,求的最小值;
(Ⅱ)已知点,点,设函数,当时,试判断的零点个数.
22.在平面直角坐标系中,直线的参数方程为(为参数),曲线的极坐标方程为.
(Ⅰ)求直线的普通方程及曲线的直角坐标方程;
(Ⅱ)设点,直线与曲线相交于两点,,求的值.
成都七中高2022届高二下期零诊模拟考试数学(理)
1. 2. 3. 4. 5. 6. 7. 8. 9. 10. 11. 12.
13. 14.或
15. 16.
17.解:(1)由题设可知,,.
(2)因为第,,组共有人,
利用分层抽样在名学生中抽取名学生,每组抽取的人数分别为:
第组的人数为,第组的人数为,第组的人数为,所以第,,组分别抽取人,人,人.
(3)设第组的位同学为,第组的位同学为,第组的位同学为,,,,则从位同学中抽两位同学有:
,,,,,,,,,,,,,,共15种可能.
其中人年龄都不在第组的有:共种可能,
所以至少有人年龄在第组的概率为.
18.解:(1)函数的定义域为,
当时,,,
,,
所求切线方程为,即.
(2)由题意对于有则可得,.
设,,,
再设,,,
在上为增函数,,即,
在上为增函数,,即.
19.(1)证明:平面,平面,
.
是菱形,
.
,
平面.
平面,
平面平面.
(Ⅱ)平面,,以为原点,,,方向为,,轴正方向建立如图所示空间直角坐标系.
,,,
,,.
则,,,,
,.
设平面的法向量为,,,
.令,得.
同理可求得平面的法向量为.
.
20.解:(1)由题意知
,又.故,.
椭圆的方程为.
(2)设,直线:.,.由,有.
由.
由韦达定理得,.
由,,则.
.化简得.
原点到直线的距离.
又直线与圆:相切,
所以.即.
即.
解得.此时,满足.此时
在中,.
的长为.
21.解:(1)令,
则
令,,由,得,
所以,当时,,递减;
当时,,递增。
所以.
(2),
①当时,易得
在上单调递增
,
由零点存在定理知在上有一个零点。
②当时,,
在上无零点。
③当时,
,
在上单调递减
,
在上有一个零点。
综上,在上有2个零点。
22.解:(1)消去得直线的普通方程为
曲线的直角坐标方程:.
(2)代入曲线:得
设,两点对应的参数分别为,则不妨设,
.
2024成都七中高三上学期零诊模拟考试(8月)数学(文)PDF版含答案: 这是一份2024成都七中高三上学期零诊模拟考试(8月)数学(文)PDF版含答案,共7页。
2024成都七中高三上学期零诊模拟考试(8月)数学(理)PDF版含答案: 这是一份2024成都七中高三上学期零诊模拟考试(8月)数学(理)PDF版含答案,共8页。
2024成都七中2022-高二下学期()零诊模拟考试数学(理)含答案: 这是一份2024成都七中2022-高二下学期()零诊模拟考试数学(理)含答案,文件包含成都七中2022-2023学年度2024届高二下零诊模拟考试理数docx、成都七中2022-2023学年度2024届高二下零诊模拟考试理数答案docx等2份试卷配套教学资源,其中试卷共12页, 欢迎下载使用。

