还剩12页未读,
继续阅读
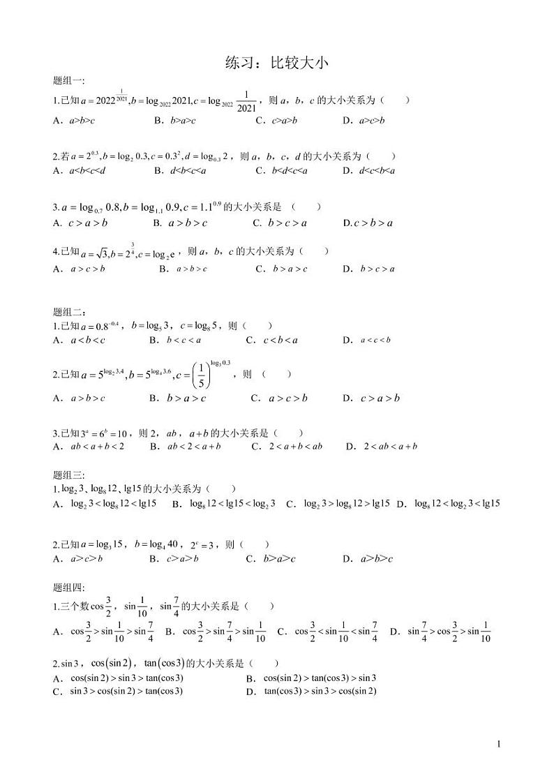
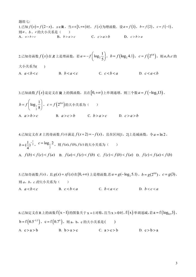
高考数学专题比较大小
展开
这是一份高考数学专题比较大小,共15页。
相关课件
专题03 一网打尽指对幂等函数值比较大小问题+(9大核心考点)(课件)-2024年高考数学二轮复习课件(新教材新高考):
这是一份专题03 一网打尽指对幂等函数值比较大小问题+(9大核心考点)(课件)-2024年高考数学二轮复习课件(新教材新高考),共42页。PPT课件主要包含了高考数学二轮复习策略,PARTONE,PARTTWO,PARTTHREE,PARTFOUR等内容,欢迎下载使用。
2023届高三数学二轮复习 微专题 比较大小压轴题课件:
这是一份2023届高三数学二轮复习 微专题 比较大小压轴题课件,共12页。PPT课件主要包含了“构造函数”等内容,欢迎下载使用。
近10年真题之比较大小真题全归纳:
这是一份近10年真题之比较大小真题全归纳,共32页。

