所属成套资源:(全国通用)备战2022年中考数学一轮复习专题讲义+强化训练解析+原卷
(全国通用)备战中考数学一轮复习专题讲义+强化训练 第二十三讲 锐角三角函数与解直角三角形(强化训练)
展开
这是一份(全国通用)备战中考数学一轮复习专题讲义+强化训练 第二十三讲 锐角三角函数与解直角三角形(强化训练),文件包含全国通用备战2022年中考数学一轮复习专题第二十三讲锐角三角函数与解直角三角形强化训练解析版doc、全国通用备战2022年中考数学一轮复习专题第二十三讲锐角三角函数与解直角三角形强化训练原卷版doc等2份试卷配套教学资源,其中试卷共23页, 欢迎下载使用。
备战2022年中考数学一轮复习专题讲义+强化训练(全国通用)第二十三讲 锐角三角函数与解直角三角形考点一 特殊角的三角函数考点二 解直角三角形考点三 解直角三角形的应用
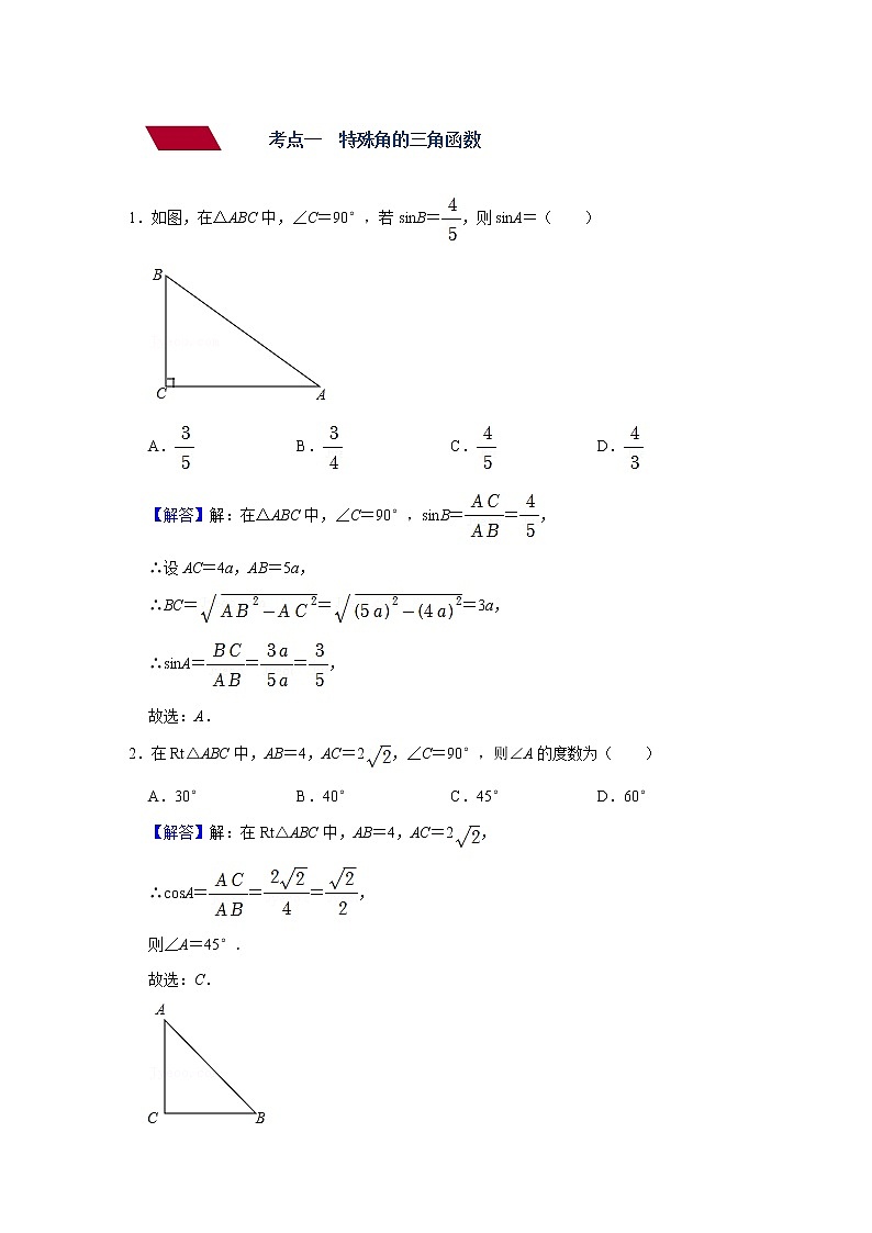
考点一 特殊角的三角函数 1.如图,在△ABC中,∠C=90°,若sinB=,则sinA=( )A. B. C. D.2.在Rt△ABC中,AB=4,AC=2,∠C=90°,则∠A的度数为( )A.30° B.40° C.45° D.60°3.如果sin2α+sin230°=1,那么锐角α的度数是( )A.15° B.30° C.45° D.60°4.在△ABC中,若|sinA﹣|+(﹣cosB)2=0,则∠C的度数是( )A.45° B.75° C.105° D.120° 考点二 解直角三角形 5.如图,在△ABC中,∠ABC=90°,AB=,BC=1,点P为△ABC内一点,∠BPC=90°.(1)若PB=,求线段PA的长;(2)若tan∠PBA=,求∠APB的度数.6.如图在等腰三角形ABC中,AB=AC,点D、E分别是AB、BC的中点,过点B作BF⊥AC于点F,BF与DE交于点G.(1)求证:DE⊥BF;(2)连结EF,若S△CEF=S△BDG,求cos∠CEF的值.7.如图1,△ABC中,D为AC边上一动点(不含端点),过点D作DE∥AB交BC于点E,过点E作EF∥AC交AB于点F,连接AE,DF.点D运动过程中,始终有AE=DF.(1)求证:∠BAC=90°;(2)如图2,若AC=3,tanB=,当AF=AD时,求AD的长.8.阅读下面的材料:(1)锐角三角函数概念:在Rt△ABC中,∠C=90°,∠A,∠B,∠C的对边分别是a,b,c,称sinA=,sinB=是两个锐角∠A,∠B的“正弦”,特殊情况:直角的正弦值为1,即sin90°=1,也就是sinC==1.由sinA=,可得c=;由sinB=,可得c=,而c==,于是就有(2)其实,对于任意的锐角△ABC,上述结论仍然成立,即三角形各边与对角的正弦之比相等,我们称之为“正弦定理”,我们可以利用三角形面积公式证明其正确性.证明:如图1作AD⊥BC于D则在Rt△ABD中,sinB=,∴AD=c•sinB,∴S△ABC=a•AD=ac•sinB,在Rt△ACD中,sinC=,∴AD=b•sinC.∴S△ABC=a•AD=ab•sinC.同理可得S△ABC=bc•sinA.因此有S△ABC=ac•sinB=ab•sinC=bc•sinA.也就是=ac•sinB=ab•sinC=bc•sinA.每项都除以abc,得,故请你根据对上面材料的理解,解答下列问题:(1)在锐角△ABC中,∠B=60°,∠C=45°,c=2,求b;(2)求问题(1)中△ABC的面积;(3)求sin75°的值(以上均求精确值,结果带根号的保留根号) 考点三 解直角三角形的应用 9.随着我国首艘自主建造航母“山东舰”的正式服役,标志着我国已进入“双航母”时代.已知“山东舰”舰长BD为315m,航母前端点E到水平甲板BD的距离DE为6m,舰岛顶端A到BD的距离是AC,经测量,∠BAC=71.6°,∠EAC=80.6°.(参考数据:sin71.6°≈0.95,cos71.6°≈0.32,tan71.6°≈3.01,sin80.6°≈0.99,cos80.6°≈0.16,tan80.6°≈6.04)请计算舰岛AC的高度(结果精确到1m).10.张老师家的洗手盆上装有一种抬启式水龙头(如图①),完全开启后,把手AM与水平线的夹角为37°,此时把手端点A、出水口点B和落水点C在同一直线上,洗手盆及水龙头示意图如图②,其相关数据为AM=10cm,MD=6cm,DE=22cm,EH=38cm,求EC的长(结果精确到0.1cm,参考数据:sin37°=,cos37°=,tan37°=,≈1.73)11.如图,一座小山的山顶上有一根竖直的电线杆MN,水平直线AC与MN在同一平面,点B在AC上.用测倾器在点A处测得∠MAC=45°,∠NAC=30°,向前走10米到达点B,在点B处测得∠MBC=60°,∠NBC=45°.求:(1)电线杆MN的长度;(2)小山相对于水平直线AC的高度(结果保留根式).12.为邓小平诞辰110周年献礼,广安市政府对城市建设进行了整改,如图,已知斜坡AB长60米,坡角(即∠BAC)为45°,BC⊥AC,现计划在斜坡中点D处挖去部分斜坡,修建一个平行于水平线CA的休闲平台DE和一条新的斜坡BE(下面两个小题结果都保留根号).(1)若修建的斜坡BE的坡比为:1,求休闲平台DE的长是多少米?(2)一座建筑物GH距离A点33米远(即AG=33米),小亮在D点测得建筑物顶部H的仰角(即∠HDM)为30°.点B、C、A、G,H在同一个平面内,点C、A、G在同一条直线上,且HG⊥CG,问建筑物GH高为多少米?
相关试卷
这是一份(全国通用)备战中考数学一轮复习专题讲义+强化训练 第三讲 分式与二次根式(强化训练),文件包含全国通用备战2022年中考数学一轮复习专题第三讲分式与二次根式强化训练解析版doc、全国通用备战2022年中考数学一轮复习专题第三讲分式与二次根式强化训练原卷版doc等2份试卷配套教学资源,其中试卷共26页, 欢迎下载使用。
这是一份(全国通用)备战中考数学一轮复习专题讲义+强化训练 第二十五讲 视图与投影(强化训练),文件包含全国通用备战2022年中考数学一轮复习专题第二十五讲视图与投影强化训练解析版doc、全国通用备战2022年中考数学一轮复习专题第二十五讲视图与投影强化训练原卷版doc等2份试卷配套教学资源,其中试卷共27页, 欢迎下载使用。
这是一份(全国通用)备战中考数学一轮复习专题讲义+强化训练 第二十四讲 圆(强化训练),文件包含全国通用备战2022年中考数学一轮复习专题第二十四讲圆强化训练解析版doc、全国通用备战2022年中考数学一轮复习专题第二十四讲圆强化训练原卷版doc等2份试卷配套教学资源,其中试卷共31页, 欢迎下载使用。

