所属成套资源:2022年中考数学二轮复习重难题型突破
类型4题型11二次函数与正方形有关的问题-2022年中考数学二轮复习重难题型突破试卷(教师版+学生版)
展开这是一份类型4题型11二次函数与正方形有关的问题-2022年中考数学二轮复习重难题型突破试卷(教师版+学生版),文件包含题型11二次函数与正方形有关的问题教师版doc、题型11二次函数与正方形有关的问题学生版doc等2份试卷配套教学资源,其中试卷共20页, 欢迎下载使用。
类型十一 二次函数与正方形有关的问题
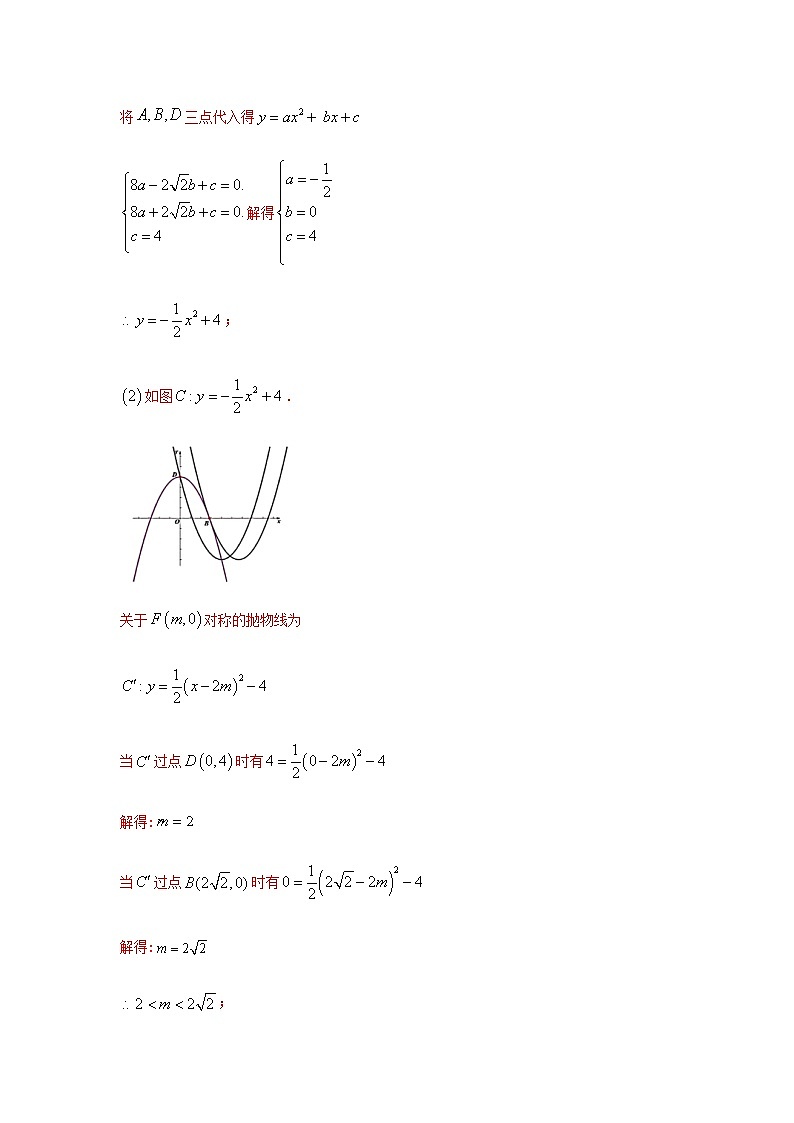
【典例1】如图1.在平面直角坐标系中,抛物线与轴相交于两点,顶点为,设点是轴的正半轴上一点,将抛物线绕点旋转,得到新的抛物线.
求抛物线的函数表达式:
若抛物线与抛物线在轴的右侧有两个不同的公共点,求的取值范围.
如图2,是第一象限内抛物线上一点,它到两坐标轴的距离相等,点在抛物线上的对应点,设是上的动点,是上的动点,试探究四边形能否成为正方形?若能,求出的值;若不能,请说明理由.
【答案】;;四边形可以为正方形,
【解析】
解:
将三点代入得
解得
;
如图.
关于对称的抛物线为
当过点时有
解得:
当过点时有
解得:
;
四边形可以为正方形
由题意设,
是抛物线第一象限上的点
解得:(舍去)即
如图作,于,
于
四边形为正方形
易证
为
将代入得
解得:(舍去)
当时四边形为正方形.
【典例2】如图,已知抛物线y=x2+bx+c的图象经过点A(l,0),B(﹣3,0),与y轴交于点C,抛物线的顶点为D,对称轴与x轴相交于点E,连接BD.
(1)求抛物线的解析式.
(2)若点P在直线BD上,当PE=PC时,求点P的坐标.
(3)在(2)的条件下,作PF⊥x轴于F,点M为x轴上一动点,N为直线PF上一动点,G为抛物线上一动点,当以点F,N,G,M四点为顶点的四边形为正方形时,求点M的坐标.
【解答】解:(1)∵抛物线y=x2+bx+c的图象经过点A(1,0),B(﹣3,0),
∴,∴,∴抛物线的解析式为y=x2+2x﹣3;
(2)由(1)知,抛物线的解析式为y=x2+2x﹣3;
∴C(0,﹣3),抛物线的顶点D(﹣1,﹣4),
∴E(﹣1,0),
设直线BD的解析式为y=mx+n,
∴,∴,∴直线BD的解析式为y=﹣2x﹣6,
设点P(a,﹣2a﹣6),
∵C(0,﹣3),E(﹣1,0),
根据勾股定理得,PE2=(a+1)2+(﹣2a﹣6)2,
PC2=a2+(﹣2a﹣6+3)2,
∵PC=PE,
∴(a+1)2+(﹣2a﹣6)2=a2+(﹣2a﹣6+3)2,
∴a=﹣2,∴y=﹣2×(﹣2)﹣6=﹣2,
∴P(﹣2,﹣2),
(3)如图,作PF⊥x轴于F,
∴F(﹣2,0),
设M(d,0),
∴G(d,d2+2d﹣3),N(﹣2,d2+2d﹣3),
∵以点F,N,G,M四点为顶点的四边形为正方形,必有FM=MG,
∴|d+2|=|d2+2d﹣3|,
∴d=或d=,
∴点M的坐标为(,0),(,0),(,0),(,0).
【典例3】如图,抛物线y=﹣x2+bx+c与x轴交于点A和点B,与y轴交于点C,点B坐标为(6,0),点C坐标为(0,6),点D是抛物线的顶点,过点D作x轴的垂线,垂足为E,连接BD.
(1)求抛物线的解析式及点D的坐标;(2)点F是抛物线上的动点,当∠FBA=∠BDE时,求点F的坐标;(3)若点M是抛物线上的动点,过点M作MN∥x轴与抛物线交于点N,点P在x轴上,点Q在坐标平面内,以线段MN为对角线作正方形MPNQ,请写出点Q的坐标.
【解答】解:(1)把B、C两点坐标代入抛物线解析式可得,解得,
∴抛物线解析式为y=﹣x2+2x+6,
∵y=﹣x2+2x+6=﹣(x﹣2)2+8,∴D(2,8);
(2)如图1,过F作FG⊥x轴于点G,
设F(x,﹣x2+2x+6),则FG=|﹣x2+2x+6|,
∵∠FBA=∠BDE,∠FGB=∠BED=90°,
∴△FBG∽△BDE,∴=,∵B(6,0),D(2,8),
∴E(2,0),BE=4,DE=8,OB=6,∴BG=6﹣x,∴=,
当点F在x轴上方时,有=,解得x=﹣1或x=6(舍去),此时F点的坐标为(﹣1,);
当点F在x轴下方时,有=﹣,解得x=﹣3或x=6(舍去),此时F点坐标为(﹣3,﹣);
综上可知F点的坐标为(﹣1,)或(﹣3,﹣);
(3)如图2,设对角线MN、PQ交于点O′,
∵点M、N关于抛物线对称轴对称,且四边形MPNQ为正方形,
∴点P为抛物线对称轴与x轴的交点,点Q在抛物线的对称轴上,
设Q(2,2n),则M坐标为(2﹣n,n),
∵点M在抛物线y=﹣x2+2x+6的图象上,
∴n=﹣(2﹣n)2+2(2﹣n)+6,解得n=﹣1+或n=﹣1﹣,
∴满足条件的点Q有两个,其坐标分别为(2,﹣2+2)或(2,﹣2﹣2).
【典例4】如图,已知抛物线y=ax2+bx﹣3过点A(﹣1,0),B(3,0),点M、N为抛物线上的动点,过点M作MD∥y轴,交直线BC于点D,交x轴于点E.过点N作NF⊥x轴,垂足为点F
(1)求二次函数y=ax2+bx﹣3的表达式;
(2)若M点是抛物线上对称轴右侧的点,且四边形MNFE为正方形,求该正方形的面积;
(3)若M点是抛物线上对称轴左侧的点,且∠DMN=90°,MD=MN,请直接写出点M的横坐标.
【解答】解:(1)把A(﹣1,0),B(3,0)代入y=ax2+bx﹣3,
得:,解得,故该抛物线解析式为:y=x2﹣2x﹣3;
(2)由(1)知,抛物线解析式为:y=x2﹣2x﹣3=(x﹣1)2﹣4,
∴该抛物线的对称轴是x=1,顶点坐标为(1,﹣4).
如图,设点M坐标为(m,m2﹣2m﹣3),其中m>1,
∴ME=|﹣m2+2m+3|,
∵M、N关于x=1对称,且点M在对称轴右侧,
∴点N的横坐标为2﹣m,
∴MN=2m﹣2,
∵四边形MNFE为正方形,
∴ME=MN,
∴|﹣m2+2m+3|=2m﹣2,
分两种情况:
①当﹣m2+2m+3=2m﹣2时,解得:m1=、m2=﹣(不符合题意,舍去),
当m=时,正方形的面积为(2﹣2)2=24﹣8;
②当﹣m2+2m+3=2﹣2m时,解得:m3=2+,m4=2﹣(不符合题意,舍去),
当m=2+时,正方形的面积为[2(2+)﹣2]2=24+8;
综上所述,正方形的面积为24+8或24﹣8.
(3)设BC所在直线解析式为y=px+q,
把点B(3,0)、C(0,﹣3)代入表达式,
得:,解得:,
∴直线BC的函数表达式为y=x﹣3,
设点M的坐标为(t,t2﹣2t﹣3),其中t<1,
则点N(2﹣t,t2﹣2t﹣3),点D(t,t﹣3),
∴MN=2﹣t﹣t=2﹣2t,MD=|t2﹣2t﹣3﹣t+3|=|t2﹣3t|.
∵MD=MN,∴|t2﹣3t|=2﹣2t,
分两种情况:
①当t2﹣3t=2﹣2t时,解得t1=﹣1,t2=2(不符合题意,舍去).
②当3t﹣t2=2﹣2t时,解得t3=,t2=(不符合题意,舍去).
综上所述,点M的横坐标为﹣1或.
【典例5】 如图,抛物线y=x2+bx+c与x轴交于A(﹣1,0),B(3,0)两点,顶点M关于x轴的对称点是M′.
(1)求抛物线的解析式;
(2)若直线AM′与此抛物线的另一个交点为C,求△CAB的面积;
(3)是否存在过A,B两点的抛物线,其顶点P关于x轴的对称点为Q,使得四边形APBQ为正方形?若存在,求出此抛物线的解析式;若不存在,请说明理由.
【分析】: (1)根据待定系数法,可得函数解析式;
(2)根据轴对称,可得M′的坐标,根据待定系数法,可得AM′的解析式,根据解方程组,可得B点坐标,根据三角形的面积公式,可得答案;
(3)根据正方形的性质,可得P、Q点坐标,根据待定系数法,可得函数解析式.
【解答】:解:(1)将A、B点坐标代入函数解析式,得,解得,
抛物线的解析式y=x2﹣2x﹣3;
(2)将抛物线的解析式化为顶点式,得y=(x﹣1)2﹣4,
M点的坐标为(1,﹣4),M′点的坐标为(1,4),
设AM′的解析式为y=kx+b,
将A、M′点的坐标代入,得,解得,AM′的解析式为y=2x+2,
联立AM′与抛物线,得
,解得,
C点坐标为(5,12).S△ABC=×4×12=24;
(3)存在过A,B两点的抛物线,其顶点P关于x轴的对称点为Q,使得四边形APBQ为正方形,
由ABPQ是正方形,A(﹣1,0)B(3,0),得
P(1,﹣2),Q(1,2),或P(1,2),Q(1,﹣2),
①当顶点P(1,﹣2)时,设抛物线的解析式为y=a(x﹣1)2﹣2,
将A点坐标代入函数解析式,得a(﹣1﹣1)2﹣2=0,解得a=,
抛物线的解析式为y=(x﹣1)2﹣2,
②当P(1,2)时,设抛物线的解析式为y=a(x﹣1)2+2,将
A点坐标代入函数解析式,得a(﹣1﹣1)2+2=0,
解得a=﹣,抛物线的解析式为y=﹣(x﹣1)2+2,
综上所述:y=(x﹣1)2﹣2或y=﹣(x﹣1)2+2,使得四边形APBQ为正方形.
【典例6】如图,抛物线y=﹣x2+bx+c与x轴交于点A,点B,与y轴交于点C,点B坐标为(6,0),点C坐标为(0,6),点D是抛物线的顶点,过点D作x轴的垂线,垂足为E,连接BD.
(1)求抛物线的解析式及点D的坐标;
(2)点F是抛物线上的动点,当∠FBA=∠BDE时,求点F的坐标;
(3)若点M是抛物线上的动点,过点M作MN∥x轴与抛物线交于点N,点P在x轴上,点Q在平面内,以线段MN为对角线作正方形MPNQ,请直接写出点Q的坐标.
【分析】(1)由点B、C的坐标利用待定系数法即可求出抛物线的解析式,再利用配方法将抛物线解析式变形成顶点式即可得出结论;
(2)设线段BF与y轴交点为点F′,设点F′的坐标为(0,m),由相似三角形的判定及性质可得出点F′的坐标,根据点B、F′的坐标利用待定系数法可求出直线BF的解析式,联立直线BF和抛物线的解析式成方程组,解方程组即可求出点F的坐标;
(3)设对角线MN、PQ交于点O′,如图2所示.根据抛物线的对称性结合正方形的性质可得出点P、Q的位置,设出点Q的坐标为(2,2n),由正方形的性质可得出点M的坐标为(2﹣n,n).由点M在抛物线图象上,即可得出关于n的一元二次方程,解方程可求出n值,代入点Q的坐标即可得出结论.
【解答】解:(1)将点B(6,0)、C(0,6)代入y=﹣x2+bx+c中,
得:,解得:,∴抛物线的解析式为y=﹣x2+2x+6.
∵y=﹣x2+2x+6=﹣(x﹣2)2+8,
∴点D的坐标为(2,8).
(2)设线段BF与y轴交点为点F′,设点F′的坐标为(0,m),如图1所示.
∵∠F′BO=∠FBA=∠BDE,∠F′OB=∠BED=90°,
∴△F′BO∽△BDE,∴.
∵点B(6,0),点D(2,8),
∴点E(2,0),BE=6﹣4=4,DE=8﹣0=8,OB=6,∴OF′=•OB=3,∴点F′(0,3)或(0,﹣3).
设直线BF的解析式为y=kx±3,则有0=6k+3或0=6k﹣3,解得:k=﹣或k=,
∴直线BF的解析式为y=﹣x+3或y=x﹣3.
联立直线BF与抛物线的解析式得:①或②,
解方程组①得:或(舍去),∴点F的坐标为(﹣1,);
解方程组②得:或(舍去),∴点F的坐标为(﹣3,﹣).
综上可知:点F的坐标为(﹣1,)或(﹣3,﹣).
(3)设对角线MN、PQ交于点O′,如图2所示.
∵点M、N关于抛物线对称轴对称,且四边形MPNQ为正方形,
∴点P为抛物线对称轴与x轴的交点,点Q在抛物线对称轴上,
设点Q的坐标为(2,2n),则点M的坐标为(2﹣n,n).
∵点M在抛物线y=﹣x2+2x+6的图象上,
∴n=﹣+2(2﹣n)+6,即n2+2n﹣16=0,
解得:n1=﹣1,n2=﹣﹣1.
∴点Q的坐标为(2,﹣1)或(2,﹣﹣1).
【典例7】如图,抛物线y=﹣x2+bx+c经过A(﹣1,0),B(3,0)两点,且与y轴交于点C,点D是抛物线的顶点,抛物线的对称轴DE交x轴于点E,连接BD.
(1)求经过A,B,C三点的抛物线的函数表达式;
(2)点P是线段BD上一点,当PE=PC时,求点P的坐标;
(3)在(2)的条件下,过点P作PF⊥x轴于点F,G为抛物线上一动点,M为x轴上一动点,N为直线PF上一动点,当以F、M、G为顶点的四边形是正方形时,请求出点M的坐标.
【分析】(1)利用待定系数法求出过A,B,C三点的抛物线的函数表达式;
(2)连接PC、PE,利用公式求出顶点D的坐标,利用待定系数法求出直线BD的解析式,设出点P的坐标为(x,﹣2x+6),利用勾股定理表示出PC2和PE2,根据题意列出方程,解方程求出x的值,计算求出点P的坐标;
(3)设点M的坐标为(a,0),表示出点G的坐标,根据正方形的性质列出方程,解方程即可.
【解答】解:(1)∵抛物线y=﹣x2+bx+c经过A(﹣1,0),B(3,0)两点,
∴,解得,,∴经过A,B,C三点的抛物线的函数表达式为y=﹣x2+2x+3;
(2)如图1,连接PC、PE,x=﹣=﹣=1,
当x=1时,y=4,∴点D的坐标为(1,4),
设直线BD的解析式为:y=mx+n,
则,解得,,∴直线BD的解析式为y=﹣2x+6,
设点P的坐标为(x,﹣2x+6),
则PC2=x2+(3+2x﹣6)2,PE2=(x﹣1)2+(﹣2x+6)2,
∵PC=PE,∴x2+(3+2x﹣6)2=(x﹣1)2+(﹣2x+6)2,
解得,x=2,则y=﹣2×2+6=2,
∴点P的坐标为(2,2);
(3)设点M的坐标为(a,0),则点G的坐标为(a,﹣a2+2a+3),
∵以F、M、G为顶点的四边形是正方形,
∴FM=MG,即|2﹣a|=|﹣a2+2a+3|,
当2﹣a=﹣a2+2a+3时,整理得,a2﹣3a﹣1=0,解得,a=,
当2﹣a=﹣(﹣a2+2a+3)时,
整理得,a2﹣a﹣5=0,
解得,a=,
∴当以F、M、G为顶点的四边形是正方形时,点M的坐标为(,0),(,0),(,0),(,0).
相关试卷
这是一份类型4题型12二次函数与圆的问题-2022年中考数学二轮复习重难题型突破试卷(教师版+学生版),文件包含题型12二次函数与圆的问题教师版doc、题型12二次函数与圆的问题学生版doc等2份试卷配套教学资源,其中试卷共19页, 欢迎下载使用。
这是一份类型4题型10二次函数与矩形有关的问题-2022年中考数学二轮复习重难题型突破试卷(教师版+学生版),文件包含题型10二次函数与矩形有关的问题教师版doc、题型10二次函数与矩形有关的问题学生版doc等2份试卷配套教学资源,其中试卷共15页, 欢迎下载使用。
这是一份类型4题型9二次函数与菱形有关的问题-2022年中考数学二轮复习重难题型突破试卷(教师版+学生版),文件包含题型9二次函数与菱形有关的问题教师版doc、题型9二次函数与菱形有关的问题学生版doc等2份试卷配套教学资源,其中试卷共35页, 欢迎下载使用。

