还剩31页未读,
继续阅读
所属成套资源:北师大版数学必修第一册课件PPT整册
成套系列资料,整套一键下载
2021_2022学年新教材高中数学第5章函数应用章末综合提升课件北师大版必修第一册
展开
这是一份2021_2022学年新教材高中数学第5章函数应用章末综合提升课件北师大版必修第一册,共39页。
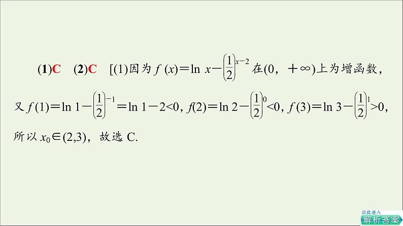
章末综合提升第五章 函数应用巩固层·知识整合NO.1提升层·题型探究NO.2类型1 函数的零点及其应用类型2 二分法及应用类型3 函数的实际应用体验层·真题感悟NO.3123451234512345123451234512345123451234512345512345123451234
章末综合提升第五章 函数应用巩固层·知识整合NO.1提升层·题型探究NO.2类型1 函数的零点及其应用类型2 二分法及应用类型3 函数的实际应用体验层·真题感悟NO.3123451234512345123451234512345123451234512345512345123451234
相关资料
更多

