- 专题31 一次函数的图象与性质 试卷 1 次下载
- 专题32 一次函数选择题 试卷 3 次下载
- 专题33 一次函数填空题 试卷 2 次下载
- 专题34 一次函数与不等式 试卷 5 次下载
- 专题36 反比例函数选择题 试卷 1 次下载
专题35 一次函数压轴题
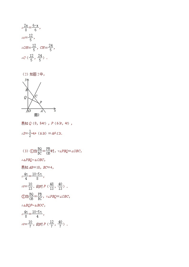
展开(1)求点C的坐标;
(2)动点P从点A出发,沿线段AB以每秒5个单位的速度向终点B运动,同时动点Q从点B出发,沿线段BO以每秒4个单位的速度向终点O运动.设△PBQ的面积为S,运动时间为t秒,求S与t之间的函数关系式;
(3)在(2)的条件下,若△BQP与△BOC相似,求出符合题意的t值及点P坐标.
2.为了保护水资源,某市制定一套节水的管理措施,其中对居民生活用水收费作如下规定:
(1)若某用户六月份用水量为18t,求其应缴纳的水费;
(2)记该用户六月份用水量为xt,缴纳水费y元,试列出y关于x的函数关系式;
(3)若该用户六月份用水量为40t,缴纳水费y元的取值范围为70≤y≤90,试求m的取值范围.
3.一辆车和一辆货车分别从甲,乙两地相向而行,图中的l1,l2分别表示轿车和货车离甲地的路程s(千米)与行驶时间t(小时)间的关系.
(1)观察图象,甲,乙两地相距多少千米?轿车在途中停留了多长时间?
(2)通过计算,求货车速度和图象AB对应的轿车速度;
(3)求货车出发多长时间与轿车相遇?
4.对于正数x,用符号[x]表示x的整数部分,例如:[0.1]=0,[2.5]=2,[3]=3.点A(a,b)在第一象限内,以A为对角线的交点画一个矩形,使它的边分别与两坐标轴垂直.其中垂直于y轴的边长为a,垂直于x轴的边长为[b]+1,那么,把这个矩形覆盖的区域叫做点A的矩形域.例如:点的矩形域是一个以为对角线交点,长为3,宽为2的矩形所覆盖的区域,如图1所示,它的面积是6.
根据上面的定义,回答下列问题:
(1)在图2所示的坐标系中画出点的矩形域,该矩形域的面积是 ;
(2)点的矩形域重叠部分面积为1,求a的值;
(3)已知点B(m,n)(m>0)在直线y=x+1上,且点B的矩形域的面积S满足4<S<5,那么m的取值范围是 .(直接写出结果)
5.若直线y=x+2分别交x轴、y轴于A、C两点,点P是该直线上在第一象限内的一点,PB⊥x轴,B为垂足,且S△ABC=6
(1)求点B和点P的坐标;
(2)过点B作直线BQ∥AP,交y轴于点Q,求点Q的坐标和四边形BPCQ的面积.
6.如图,在平面直角坐标系xOy中,已知正比例函数y=x与一次函数y=﹣x+7的图象交于点A.
(1)求点A的坐标;
(2)设x轴上有一点P(a,0),过点P作x轴的垂线(垂线位于点A的右侧),分别交y=x和y=﹣x+7的图象于点B、C,连接OC,若BC=OA,求△OBC的面积.
7.如图①,在平面直角坐标中,边长为2的正方形OABC的两顶点A、C分别在y轴、x轴的正半轴上,O为坐标原点.现将正方形OABC绕O点顺时针旋转,当A点第一次落在直线y=x上时停止旋转,旋转过程中,AB边交直线y=x于点M,BC边交x轴于点N.
(1)当A点第一次落在直线y=x上时,求点A所经过的路线长;
(2)在旋转过程中,当MN和AC平行时,求正方形OABC旋转的度数;
(3)设△MBN的周长为p,在旋转正方形OABC的过程中,p值是否有变化?请证明你的结论.
8.如图1,正方形OABC的顶点O在坐标原点,且OA边和AB边所在直线的解析式分别为:y=x和y=﹣x+.
(1)求A点坐标和正方形OABC的边长;
(2)如图2,现有一动点P从C点出发,沿线段CB向终点B运动.
①当P点位于y轴上时,求△OCP的面积;
②在P点的运动过程中,将△AOP沿它的一边翻折,使得翻折前后的两个三角形组成的四边形为菱形,直接写出满足条件的P点坐标.
(3)若正方形以每秒个单位的速度沿射线AO下滑,直至顶点C落在x轴上时停止下滑.设正方形在x轴下方部分的面积为S,求S关于滑行时间t的函数关系式,并写出相应自变量t的取值范围.
9.如图,直线l1与坐标轴分别交于点A、B,经过原点的直线l2与AB交于点C,与过点A且平行于y轴的直线交于点D,已知点C(3,),且OA=8.在直线AB上取点P,过点P作y轴的平行线,与CD交于点Q,以PQ为边向右作正方形PQEF.设点P的横坐标为t.
(1)求直线l1的解析式;
(2)当点P在线段AC上时,试求正方形PQEF与△ACD重叠部分(阴影部分)的面积的最大值.
10.对于平面直角坐标系xOy中的点和⊙O,给出如下定义:过点A的直线l交⊙O于B,C两点,且A、B、C三点不重合,若在A、B、C三点中,存在位于中间的点恰为以另外两点为端点线段的中点时,则称点A为⊙O的价值点.
(1)如图1,当⊙O的半径为1时.
①分别判断在点D(,),E(﹣1,),F(2,3)中,是⊙O的价值点有 ;
②若点P是⊙O的价值点,点P的坐标为(x,0),且x>0,则x的最大值为 .
(2)如图2,直线y=﹣x+3与x轴,y轴分别交于M、N两点,⊙O半径为1,直线MN上是否存在⊙O的价值点?若存在,求出这些点的横坐标的取值范围,若不存在,请说明理由;
(3)如图3,直线y=﹣x+2与x轴、y轴分别交于G、H两点,⊙C的半径为1,且⊙C在x轴上滑动,若线段GH上存在⊙C的价值点P,求出圆心C的横坐标的取值范围.
月用水量/t
单价/(元/t)
不大于10t部分
1.5
大于10t且不大于mt部分20≤m≤50
2
大于mt部分
3
专题11一次函数与几何压轴问题:三年(2021-2023)中考数学真题: 这是一份专题11一次函数与几何压轴问题:三年(2021-2023)中考数学真题,共114页。试卷主要包含了选择题,填空题,解答题等内容,欢迎下载使用。
中考数学二轮复习压轴题专题06 一次函数问题(含解析): 这是一份中考数学二轮复习压轴题专题06 一次函数问题(含解析),共66页。
中考数学压轴题35: 这是一份中考数学压轴题35,共9页。试卷主要包含了我们不妨定义,,与轴交于点等内容,欢迎下载使用。

