安徽省亳州市第二中学2020-2021学年高一下学期期中考试数学试题(含答案)
展开本试卷分选择题和非选择题两部分,满分150分。考试用时120分钟。
第Ⅰ卷 选择题(共60分)
一、单项选择题(本题共8小题,每小题5分,共40分,在每小题给出的四个选项中,只有一项是符合题目要求的)
1.角的终边经过点,且,则( )
A.B.C.D.
2.已知向量,且,则的值为( )
A.1B.C.D.3
3.已知曲线,则下面结论正确的是( )
A.把C1上各点的横坐标伸长到原来的2倍,纵坐标不变,再把得到的曲线向右平移个单位长度,得到曲线C2
B.把C1上各点的横坐标缩短到原来的倍,纵坐标不变,再把得到的曲线向左平移个单位长度,得到曲线C2
C.把C1上各点的横坐标缩短到原来的倍,纵坐标不变,再把得到的曲线向右平移个单位长度,得到曲线C2
D.把C1上各点的横坐标伸长到原来的2倍,纵坐标不变,再把得到的曲线向左平移个单位长度,得到曲线C2
4.当时,若,则的值为( )
A.B.C.D.
5.设,,,则( )
A.B.C.D.
6.设中边上的中线为,点满足,则( )
A. B. C.D.
7.若,且,,则( )
A.B.C.D.
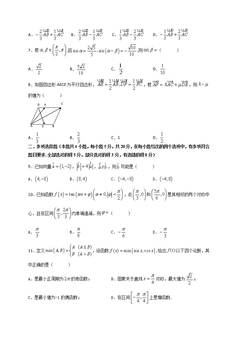
8.如图四边形ABCD为平行四边形,,若,则的值为( )
A.B.C.1D.
二、多项选择题(本题共4小题,每小题5分,共20分,在每小题给出的四个选项中,有多项符合题目要求.全部选对的得5分,部分选对的得3分,有选错的得0分)
9.已知向量,,,则可能是( )
A.B.C.D.
10.已知函数,点和是其相邻的两个对称中心,且在区间内单调递减,则( )
A.B.C.D.
11.定义,设函数给出以下四个论断,其中正确的是( )
A.是最小正周期为的奇函数;B.图象关于直线对称,最大值为;
C.是最小值为-1的偶函数;D.在区间上是增函数.
12.已知,点在线段上,且的最小值为1,则 ()的值可能为( )
A.B.C.2D.
第Ⅱ卷 非选择题(共90分)
注意事项:
第Ⅱ卷全部是非选择题,必须在答题卡非选择题答题区域内,用黑色钢笔或签字笔作答,不能答在试卷上,否则答案无效。
二、填空题:(本大题共4个小题,每小题5分,共20分。)
13.已知,,且,则向量在向量方向上的投影为______.
14.设向量若,则的值是 .
15.在中,为上一点,,为上任一点,若,则的最小值是 .
16.已知函数,则下列命题正确的是______填上你认为正确的所有命题的序号
函数的单调递增区间是; = 2 \* GB3 \* MERGEFORMAT ②函数的图像关于点对称;
函数的图像向左平移个单位长度后,所得的图像关于y轴对称,则m的最小值是;
= 4 \* GB3 \* MERGEFORMAT ④
= 5 \* GB3 \* MERGEFORMAT ⑤若实数m使得方程在上恰好有三个实数解,,,则.
三、解答题:17题10分,18-22每题12分,总分70分。解答应写出文字说明、证明过程或演算步骤.
17.(10分)已知.
(1)化简;(2)若是第三象限角,且,求的值;
18.(12分)已知向量与的夹角为,且,.
(1)若与共线,求;
(2)求与的夹角的余弦值.
19.(12分)已知,且,求.
20.(12分)已知函数(,,)的部分图象如图所示.
(1)求函数的解析式;
(2)将函数的图象上所有点的横坐标伸长为原来的2倍,纵坐标不变,再将所得图象向左平移个单位,得到函数的图象,求函数的值域.
21.(12分)已知函数为偶函数,且函数图象的两相邻对称轴间的距离为π.
(1)
(2)将函数的图象向右平移个单位长度后,再将得到的图象上各点的横坐标伸长到原来的4倍,纵坐标不变,得到函数的图象,求的单调递减区间.
22.(12分)已知向量且,
(1)求 (2)求
(3)求函数的最小值.
2020-2021高一期中考试数学参考答案
14. 15. 12 16.①③ = 5 \* GB3 \* MERGEFORMAT ⑤
17.(1);
(2)∵,是第三象限角,∴,,
∴;
18.(1)若与共线,
则存在,使得
即,
又因为向量与不共线,
所以,解得,所以分
(2),
,
分
19.解:∵α∈(π,),∴sinα=. ……………4分
∵α+β∈(,2π),
∴sin(α+β)=. ………………….8分
∴csβ=cs(α+β-α)=cs(α+β)csα+sin(α+β)sinα
=×+()×()=.
又∵α∈(π,),α+β∈(,2π),
∴β∈(0,π).∴β=. ………………….12分
20.(1)由图可知,,所以,
又函数的图象经过点,所以(),
解得(),因为,所以,
所以;
(2)将函数的图象上所有点的横坐标伸长为原来的2倍,纵坐标不变,得到的图象,再将所得图象向左平移个单位,得到函数的图象,
则
因为,所以,
所以的值域为.
解:(1)f(x)=sin(ωx+φ)﹣cs(ωx+φ)
=2[sin(ωx+φ)﹣cs(ωx+φ)]=2sin(ωx+φ﹣),
因为f(x)为偶函数,所以φ﹣=+kπ,k∈z,
即φ=+kπ,k∈Z.又因为0<φ<π,所以φ=.
所以f(x)=2sin(ωx+)=2csωx.
由题意得=2π,所以ω=1,故f(x)=2csx,
(2)将f(x)的图象向右平移个单位长度后,得到y=2cs(x﹣)的图象.
再将所得图象横坐标伸长到原来的4倍,纵坐标不变,得到y=2cs(x﹣)的图象.
所以g(x)=2cs(x﹣).
令2kπ≤﹣≤2kπ+π(k∈Z),求得 8kπ+≤x≤8kπ+(k∈Z),
因此g(x)的单调递减区间为[8kπ+,8kπ+](k∈Z).
1
2
3
4
5
6
7
8
9
10
11
12
A
C
B
D
B
D
A
C
AD
AC
BD
BCD
安徽省亳州市涡阳第—中学2020-2021学年高一下学期期末数学试题: 这是一份安徽省亳州市涡阳第—中学2020-2021学年高一下学期期末数学试题,共8页。试卷主要包含了选择题,填空题,解答题等内容,欢迎下载使用。
安徽省亳州市第一中学2020-2021学年高一下学期期末数学试题: 这是一份安徽省亳州市第一中学2020-2021学年高一下学期期末数学试题,共8页。试卷主要包含了选择题的作答,非选择题的作答,本卷命题范围,若,则,设函数的定义域为R,已知,则下列结论正确的是等内容,欢迎下载使用。
安徽省亳州市第二中学2020-2021学年高一上学期期中考试数学试题 Word版含答案: 这是一份安徽省亳州市第二中学2020-2021学年高一上学期期中考试数学试题 Word版含答案,共9页。试卷主要包含了若,则的最小值等于_____等内容,欢迎下载使用。

