精品高中数学一轮专题-简单的三角恒等变换课件
展开题型分析 举一反三
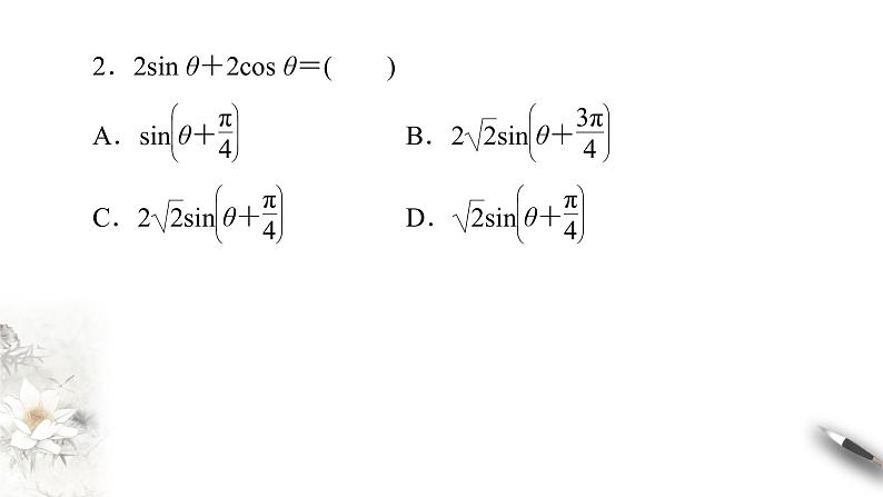
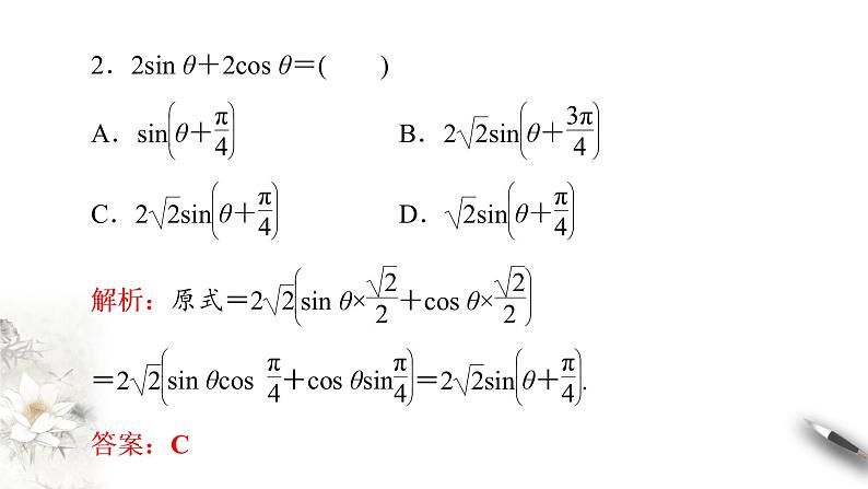
题型一 化简求值问题
解题方法(利用半角公式化简求值)1.化简问题中的“三变”(1)变角:三角变换时通常先寻找式子中各角之间的联系,通过拆、凑等手段消除角之间的差异,合理选择联系它们的公式.(2)变名:观察三角函数种类的差异,尽量统一函数的名称,如统一为弦或统一为切.(3)变式:观察式子的结构形式的差异,选择适当的变形途径,如升幂、降幂、配方、开方等.2.利用半角公式求值的思路(1)看角:看已知角与待求角的2倍关系.(2)明范围:求出相应半角的范围为定符号作准备.(3)选公式:涉及半角公式的正、余弦值时,常利用计算.提醒:已知cs α的值可求的正弦、余弦、正切值,要注意确定其符号.
题型二 三角恒等式的证明
解题方法(三角恒等式证明的常用方法)
题型三 三角恒等变换与三角函数图象性质的综合
精品高中数学一轮专题-诱导公式课件: 这是一份精品高中数学一轮专题-诱导公式课件,共42页。
精品高中数学一轮专题-诱导公式课件: 这是一份精品高中数学一轮专题-诱导公式课件,共42页。PPT课件主要包含了知识清单,小试牛刀,题型一给角求值,达标检测等内容,欢迎下载使用。
精品高中数学一轮专题-任意角课件: 这是一份精品高中数学一轮专题-任意角课件,共39页。PPT课件主要包含了逆时针,顺时针,象限角,坐标轴上,达标检测等内容,欢迎下载使用。

