还剩33页未读,
继续阅读
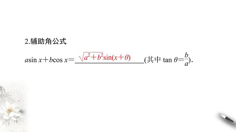
精品高中数学一轮专题-简单的三角恒等变换课件
展开
这是一份精品高中数学一轮专题-简单的三角恒等变换课件,共36页。
相关课件
精品高中数学一轮专题-诱导公式课件:
这是一份精品高中数学一轮专题-诱导公式课件,共42页。
精品高中数学一轮专题-诱导公式课件:
这是一份精品高中数学一轮专题-诱导公式课件,共42页。PPT课件主要包含了知识清单,小试牛刀,题型一给角求值,达标检测等内容,欢迎下载使用。
精品高中数学一轮专题-任意角课件:
这是一份精品高中数学一轮专题-任意角课件,共39页。PPT课件主要包含了逆时针,顺时针,象限角,坐标轴上,达标检测等内容,欢迎下载使用。

