- 中考数学压轴题专项训练07综合探究类含解析 试卷 2 次下载
- 中考数学压轴题专项训练08猜想与证明含解析 试卷 3 次下载
- 中考数学压轴题专项训练10阅读理解含解析 试卷 0 次下载
- 中考数学压轴题专项训练11开放探究含解析 试卷 2 次下载
- 中考数学压轴题专项训练12二次函数的综合含解析 试卷 3 次下载
中考数学压轴题专项训练09动态几何含解析
展开动态几何
1.在四边形ABCD中,AD∥BC,且AD>BC,BC=6cm,P、Q分别从A、C同时出发,P以1cm/s的速度由A向D运动,Q以2cm/s的速度由C出发向B运动,几秒后四边形ABQP是平行四边形?
【解析】解:设t秒后,四边形APQB为平行四边形,
则AP=t,QC=2t,BQ=6﹣2t,
∵AD∥BC所以AP∥BQ,
根据一组对边平行且相等的四边形是平行四边形,
知:AP=BQ即可,
即:t=6﹣2t,
∴t=2,
当t=2时,AP=BQ=2<BC<AD,符合,
综上所述,2秒后四边形ABQP是平行四边形.
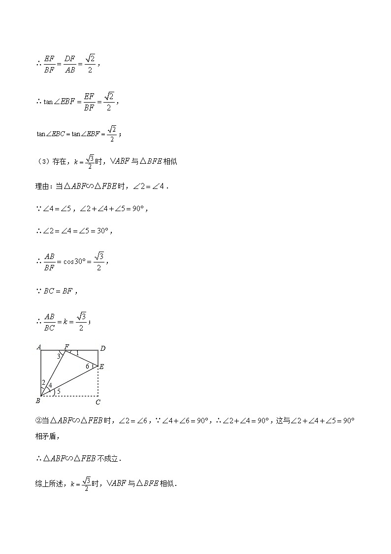
2.如图,点是矩形中边上一点,沿折叠为,点落在上.
(1)求证:;
(2)若,求的值;
(3)设,是否存在的值,使与相似?若存在,求出的值;若不存在,请说明理由.
【解析】(1)证明:∵四边形是矩形,
∴,
∵沿折叠为,
∴,
∴,
又∵,
∴.
∴;
(2)解:在中,,
∴设,,,
∵沿折叠为,
∴,,,,
又∵,
∴,
∴,
;
(3)存在,时,与相似
理由:当时,.
∵,,
∴,
∴,
∵,
∴;
②当时,,∵,∴,这与相矛盾,
∴不成立.
综上所述,时,与相似.
3.如图,在平面直角坐标系中,顶点为的抛物线:()经过点和轴上的点,,.
(1)求该抛物线的表达式;
(2)联结,求;
(3)将抛物线向上平移得到抛物线,抛物线与轴分别交于点(点在点的左侧),如果与相似,求所有符合条件的抛物线的表达式.
【解析】解:(1)过作轴,垂足为,
∵,∴
∵
∴,.
∵,
∴.
在中,,
∴.
∴
∵抛物线:经过点,
∴可得:,
解得:
∴这条抛物线的表达式为;
(2)过作轴,垂足为,
∵=
∴顶点是,得
设直线AM为y=kx+b,
把,代入得,解得
∴直线为
令y=0,解得x=
∴直线与轴的交点为
∴
(3)∵、,
∴在中,,
∴.
∴.由抛物线的轴对称性得:,
∴.
∵,
∴
∴.
∴当与相似时,有:或
即或,
∴或.
∴或
设向上平移后的抛物线为:,
当时,,
∴抛物线为:
当时,,
∴抛物线为:.
综上:抛物线为:或.
4.定义:既相等又垂直的两条线段称为“等垂线段”,如图1,在中,,,点、分别在边、上,,连接、,点、、分别为、、的中点,且连接、.
观察猜想
(1)线段与 “等垂线段”(填“是”或“不是”)
猜想论证
(2)绕点按逆时针方向旋转到图2所示的位置,连接,,试判断与是否为“等垂线段”,并说明理由.
拓展延伸
(3)把绕点在平面内自由旋转,若,,请直接写出与的积的最大值.
【解析】(1)是;
∵,
∴DB=EC,∠ADE=∠AED=∠B=∠ACB
∴DE∥BC
∴∠EDC=∠DCB
∵点、、分别为、、的中点
∴PM∥EC,PN∥BD,
∴,∠DPM=∠DCE,∠PNC=∠DBC
∵∠DPN=∠PNC+∠DCB
∴∠MPN=∠DPM+∠DPN=∠ACD+∠DCB+∠B=180°-90°=90°
∴线段与是“等垂线段”;
(2)由旋转知
∵,
∴≌()
∴,
利用三角形的中位线得,,
∴
由中位线定理可得,
∴,
∵
∴
∵
∴
∴
∴与为“等垂线段”;
(3)与的积的最大值为49;
由(1)(2)知,
∴最大时,与的积最大
∴点在的延长线上,如图所示:
∴
∴
∴.
5.数轴上点A表示的有理数为20,点B表示的有理数为-10,点P从点A出发以每秒5个单位长度的速度在数轴上往左运动,到达点B后立即返回,返回过程中的速度是每秒2个单位长度,运动至点A停止,设运动时间为t(单位:秒).
(1)当t=5时,点P表示的有理数为 .
(2)在点P往左运动的过程中,点P表示的有理数为 (用含t的代数式表示).
(3)当点P与原点距离5个单位长度时,t的值为 .
【解析】(1)由题意得:,
点P从点A运动到点B所需时间为(秒),
点P从点B返回,运动到点A所需时间为(秒),
则当时,,
因此,点P表示的有理数为,
故答案为:;
(2)在点P往左运动的过程中,,
则点P表示的有理数为,
故答案为:;
(3)由题意,分以下两种情况:
①当点P从点A运动到点B,即时,
由(2)可知,点P表示的有理数为,
则,
即或,
解得或,均符合题设;
②当点P从点B返回,运动到点A,即时,
,
点P表示的有理数为,
则,
即或,
解得或,均符合题设;
综上,当点P与原点距离5个单位长度时,的值为或5或或时,
故答案为:或5或或.
6.如图,△ABC中,∠ACB=90°,AB=10cm,BC=8cm,若点P从点A出发,以每秒2cm的速度沿折线A-B-C-A运动,设运动时间为t(t>0)秒.
(1)AC= cm;
(2)若点P恰好在∠ABC的角平分线上,求此时t的值;
(3)在运动过程中,当t为何值时,△ACP为等腰三角形.
【解析】(1)由题意根据勾股定理可得:(cm),
故答案为6;
(2)如图,点P恰好在∠ABC的角平分线上,过P作PD⊥AB于点D,
则可设PC=xcm,此时BP=(8-x)cm,DP=PC=xcm,AD=AC=6cm,BD=10-6=4cm,
∴在RT△BDP中,,即 ,解之可得:x=3,
∴BP=8-3=5cm,∴P运动的路程为:AB+BP=10+5=15cm,
∴t=s;
(3)可以对△ACP的腰作出讨论得到三种情况如下:
①如图,AP=AC=6cm,此时t=s;
②如图,PA=PC,此时过P作PD⊥AC于点D,则AD=3,PD=4,∴AP=5,
此时t=s;
③如图,PC=AC=6cm,则BP=8-6=2cm,
则P运动的路程为AB+BP=10+2=12cm,此时t=s,
综上所述,在运动过程中,当t为2.5s或3s或6s时,△ACP为等腰三角形.
7.已知,在平面直角坐标系中,AB⊥x轴于点B,A(a,b)满足=0,平移线段AB使点A与原点重合,点B的对应点为点C.OA∥CB.
(1)填空:a=_______,b=_______,点C的坐标为_______;
(2)如图1,点P(x,y)在线段BC上,求x,y满足的关系式;
(3)如图2,点E是OB一动点,以OB为边作∠BOG=∠AOB交BC于点G,连CE交OG于点F,当点E在OB上运动时,的值是否发生变化?若变化,请说明理由;若不变,请求出其值.
【解析】解:(1)∵ ,
∴
∴
由平移得:且C在y轴负半轴上,
故答案为:;
(2)如图,过点分别作⊥x轴于点M,⊥y轴于点N,连接.
∵AB⊥x轴于点B,且点A,,C三点的坐标分别为:
∴OB=,OC=,
∴
,
而
∴满足的关系式为:
(3) 的值不变,值为2.
理由如下:∵线段OC是由线段AB平移得到,
∴ ,
∴∠AOB=∠OBC,
又∵∠BOG=∠AOB,
∴∠BOG=∠OBC,
根据三角形外角性质,可得∠OGC=2∠OBC,∠OFC=∠FCG+∠OGC,
∴∠OFC+∠FCG=2∠FCG+2∠OBC =2(∠FCG+∠OBC) =2∠OEC,
∴ ;
所以:的值不变,值为2.
8.综合实践
初步探究:
如图,已知∠AOB=60°,在∠AOB的平分线OM上有一点C,将一个120°角的顶点与点C重合,它的两条边分别与直线OA、OB相交于点D、E.
(1)当∠DCE绕点C旋转到CD与OA垂直时(如图1),请猜想OE+OD与OC的数量关系为 ;
解决问题:
(2)当∠DCE绕点C旋转到CD与OA不垂直时,到达图2的位置,(1)中的结论是否成立?并说明理由;
(3)当∠DCE绕点C旋转到CD与OA的反向延长线相交时,上述结论是否成立?若成立,请给于证明;若不成立,线段OD、OE与OC之间的数量关系为 ;
拓展应用:
(4)当∠DCE绕点C旋转到CD与OA垂直时,请猜想四边形CDOE的周长与OC的数量关系,并说明理由;
【解析】:(1)∵OM是∠AOB的角平分线,
∴∠AOC=∠BOC=∠AOB=30°,
∵CD⊥OA,
∴∠ODC=90°,
∴∠OCD=60°,
∴∠OCE=∠DCE-∠OCD=60°,
在Rt△OCD中,OD=OC•cos30°=OC,
同理:OE=OC,
∴OD+OE=OC;
(2)(1)中结论仍然成立,理由:
过点C作CF⊥OA于F,CG⊥OB于G,
∴∠OFC=∠OGC=90°,
∵∠AOB=60°,
∴∠FCG=120°,
同(1)的方法得,OF=OC,OG=OC,
∴OF+OG=OC,
∵CF⊥OA,CG⊥OB,且点C是∠AOB的平分线OM上一点,
∴CF=CG,
∵∠DCE=120°,∠FCG=120°,
∴∠DCF=∠ECG,
∴△CFD≌△CGE,
∴DF=EG,
∴OF=OD+DF=OD+EG,OG=OE-EG,
∴OF+OG=OD+EG+OE-EG=OD+OE,
∴OD+OE=OC;
(3)(1)中结论不成立,结论为:OE-OD=OC,
理由:过点C作CF⊥OA于F,CG⊥OB于G,
∴∠OFC=∠OGC=90°,
∵∠AOB=60°,
∴∠FCG=120°,
同(1)的方法得,OF=OC,OG=OC,
∴OF+OG=OC,
∵CF⊥OA,CG⊥OB,且点C是∠AOB的平分线OM上一点,
∴CF=CG,∵∠DCE=120°,∠FCG=120°,
∴∠DCF=∠ECG,
∴△CFD≌△CGE,
∴DF=EG,
∴OF=DF-OD=EG-OD,OG=OE-EG,
∴OF+OG=EG-OD+OE-EG=OE-OD,
∴OE-OD=OC.
(4)由(1)可得OD+OE=OC,CD+CE=OC
∴OD+OE+CD+CE=(+1)OC,
故四边形CDOE的周长为(+1)OC.
9.是等边三角形,点在上,点,分别在射线,上,且.
(1)如图1,当点是的中点时,则________;
(2)如图2,点在上运动(不与点,重合).
①判断的大小是否发生改变,并说明理由;
②点关于射线的对称点为点,连接,,.依题意补全图形,判断四边形的形状,并证明你的结论.
【解析】(1)∵点D是等边△ABC的边BC的中点,
∴∠DAB=∠DAC=∠BAC=30°,
∵DA=DE,
∴∠AED=∠BAD=30°,
∴∠ADE=180°−∠BAD−∠AED=120°,
同理:∠ADF=120°,
∴∠EDF=360°−∠ADE−∠ADF=120°,
故答案为:120;
(2)①不发生改变,理由如下:
∵是等边三角形,
∴.
∵.
∴点,,在以为圆,长为半径的圆上,
∴.
②补全图形如下:四边形为平行四边形,证明如下:
由①知,,
∵,,
∴.
在和中,
,
∴.
∴.
∵点和点关于射线对称,
∴,.
∴,且.
∴四边形为平行四边形.
10.如图,数轴上,点A表示的数为,点B表示的数为,点C表示的数为9,点D表示的数为13,在点B和点C处各折一下,得到条“折线数轴”,我们称点A和点D在数上相距20个长度单位,动点P从点A出发,沿着“折线数轴”的正方向运动,同时,动点Q从点D出发,沿着“折线数轴”的负方向运动,它们在“水平路线”射线和射线上的运动速度相同均为2个单位/秒,“上坡路段”从B到C速度变为“水平路线”速度的一半,“下坡路段”从C到B速度变为“水平路线”速度的2倍.设运动的时间为t秒,问:
(1)动点P从点A运动至D点需要时间为________秒;
(2)P、Q两点到原点O的距离相同时,求出动点P在数轴上所对应的数;
(3)当Q点到达终点A后,立即调头加速去追P,“水平路线”和“上坡路段”的速度均提高了1个单位/秒,当点Q追上点P时,直接写出它们在数轴上对应的数.
【解析】(1)点A表示的数为,点B表示的数为,点C表示的数为9,点D表示的数为13,
,
动点P从点A运动到点D所需时间为(秒),
故答案为:15;
(2)由题意,分以下六种情况:
①当点P在AB,点Q在CD时,
点P表示的数为,点Q表示的数为,
点P、Q到原点的距离相同,
,
此方程无解;
②当点P在AB,点Q在CO时,
点P表示的数为,点Q表示的数为,
点P、Q到原点的距离相同,
,
解得,
此时点P表示的数为3,不在AB上,不符题设,舍去;
③当点P在BO,点Q在CO时,
点P表示的数为,点Q表示的数为,
点P、Q到原点的距离相同,
,
解得,
此时点P表示的数为,不在BO上,不符题设,舍去;
④当点P、Q相遇时,点P、Q均在BC上,
点P表示的数为,点Q表示的数为,
点P、Q到原点的距离相同,
,
解得,
此时点P表示的数为,点Q表示的数为,均符合题设;
⑤当点P在OC,点Q在OB时,
点P表示的数为,点Q表示的数为,
点P、Q到原点的距离相同,
,
解得,
此时点P表示的数为,点Q表示的数为,均符合题设;
⑥当点P在OC,点Q在BA时,
点P表示的数为,点Q表示的数为,
点P、Q到原点的距离相同,
,
解得,
此时点Q表示的数为0,不在BA上,不符题设,舍去;
综上,点P表示的数为或;
(3)点Q到达点A所需时间为(秒),此时点P到达的点是,
点P到达点C所需时间为(秒),此时点Q到达的点是,
点Q在CD上追上点P,此时点P表示的数为,点Q表示的数为,
,
解得,
此时点P表示的数为18,点Q表示的数为18.
11.如图,在矩形中,,,点为对角线的中点,点从点出发,沿折线以每秒1个单位长度的速度向终点运动,当点与点不重合时,过点作于点,以为边向右作正方形,设正方形与重叠部分图形的面积为(平方单位),点运动的时间为(秒).
(1)求点落在上时的值.
(2)直接写出点在正方形内部时的取值范围.
(3)当点在折线上运动时,求与之间的函数关系式.
(4)直接写出直线平分面积时的值.
【解析】(1)如图1所示,
由题意可知,当点落在上时,
因为四边形是正方形,所以,
又因为在矩形中,,,
所以,在和中,
因为,,
所以,则,
所以,解得,
所以当点落在上时的值为.
故答案为:.
(2)①如图2,
点刚落在正方形上.
因为点是矩形对角线的中点,
所以在矩形的一条对称轴上,
所以,所以,解得.
②如图3,点和点重合,
此时点运动的距离为,
因为,,所以,
所以,
所以此时.
综上所述,当点在正方形内部时,的取值位于上述两个临界位置之间,即的取值范围为.
故答案为:.
(3)①由(1)可知,当时,正方形和的重叠部分即为正方形,所以此时.
②当时,点在上,
设与交于点,与交于点,
此时正方形和的重叠部分为五边形,
此时.
同(1),可知,,
因为,,,
所以,,
所以,,
所以,,
所以,,
所以,
,
所以,
所以,
整理得.
③当时,点在上,
设与交于点,则.
因为,,所以,所以,
同(1),,所以,
所以,所以,,
所以,
又因为,所以,
所以,所以,
所以,
整理得.
综上所述,当时,;当时,;当时,.
故答案为:
(4)设直线与交于点,
因为直线平分的面积,∴.
①如图7,点在上,过点作于点,
则,所以,
因为,,,
所以,解得.
②如图8,点在上,连接.
因为、分别是、的中点,
所以是的一条中位线,
所以,所以,
又因为,所以,
所以,所以,
因为,,
(由(3)②知),,
所以,解得.
③如图9,在上,
设与交于点,连接,交于.
同②,,且,
所以,所以,
又因为,所以,
所以,又因为(同②),
所以,所以,
因为,
所以,所以,
所以,
又因为,所以,
所以,所以,所以,
所以,
又因为,所以,解得.
综上所述,当直线平分的面积时,的值为或或.
故答案为:或或.
12.在中,,,,点是射线上的动点,连接,将沿着翻折得到,设,
(1)如图1,当点在上时,求的值.
(2)如图2,连接,,当时,求的面积.
(3)在点的运动过程中,当是等腰三角形时,求的值.
【解析】(1)在中,,,,
∴由勾股定理得:BC=10,
由折叠性质得:P=AP=x, C=AC=6,则PB=8-x,B=4,
在RtΔBP中,由勾股定理得:42+x2=(8-x)2,
解得:;
(2)当时,
由折叠性质得:AC=C=4,∠CAB=∠CP=90º,
∴=,
∵=90º,=90º,
∴,
∵=90º,=90º,
∴,
∴,
∴=4,
则,且=,
由,∠CAB=90º,可求得,,,
,;
(3)①当时,若在线段上,如图1,过作H⊥AB于H,过C作CD⊥H延长线于D,
则四边形ACDH是矩形,又是等腰三角形,
∴,,
,,
∵=90º,=90º,
∴,又=90º,
∴,
∴,
得,解得,
若在延长线上时,如图2,过作AB的平行线,交AC延长线与D,过P作PH垂直平行线于H,则四边形APHD是矩形,
同上方法,易求得D=4,,
∴PH=AD=,
同理可证得,
∴,
得,解得,
②当时,如图3,由折叠性质得:
CP垂直平分A,
则,∠AQP=90º,
又AC=6,
,
∵∠ AQP=∠CAB=90º,
∴由同角的余角相等得:∠ACQ=∠QAP,
∴,
∴,
即,
解得:;
③当时,如图4,则、重合,,
综上所述或或或.
压轴题27选择压轴题(几何篇)-2023年中考数学压轴题专项训练(全国通用): 这是一份压轴题27选择压轴题(几何篇)-2023年中考数学压轴题专项训练(全国通用),文件包含压轴题27选择压轴题几何篇-2023年中考数学压轴题专项训练全国通用解析版docx、压轴题27选择压轴题几何篇-2023年中考数学压轴题专项训练全国通用原卷版docx等2份试卷配套教学资源,其中试卷共68页, 欢迎下载使用。
2023年九年级中考数学专题训练:动态几何压轴题附答案: 这是一份2023年九年级中考数学专题训练:动态几何压轴题附答案,共16页。试卷主要包含了如图1,,,,求的度数,如图,在中,,,,已知等内容,欢迎下载使用。
专题09 动态几何-2022届中考数学压轴大题专项训练: 这是一份专题09 动态几何-2022届中考数学压轴大题专项训练,文件包含专题09动态几何解析版docx、专题09动态几何原卷版docx等2份试卷配套教学资源,其中试卷共42页, 欢迎下载使用。

