一轮复习大题专练24—解三角形(求值问题1)-2022届高三数学一轮复习
展开
这是一份一轮复习大题专练24—解三角形(求值问题1)-2022届高三数学一轮复习,共6页。试卷主要包含了已知四边形中,,,,,记的内角,,的对边分别为,,,已知函数,中,内角、、所对的边分别为、、等内容,欢迎下载使用。
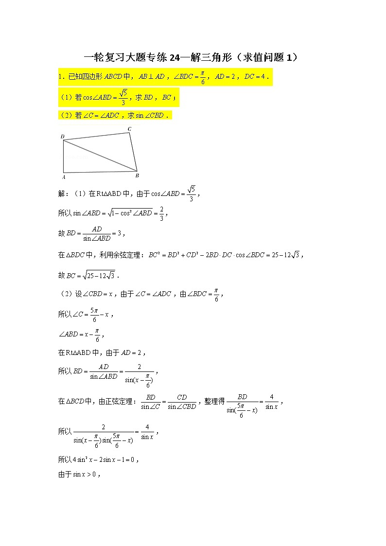
一轮复习大题专练24—解三角形(求值问题1)1.已知四边形中,,,,.(1)若,求,;(2)若,求.解:(1)在中,由于,所以,故,在中,利用余弦定理:,故.(2)设,由于,由,所以,,在中,由于,所以,在中,由正弦定理:,整理得,所以,所以,由于,得:.即.2.记的内角,,的对边分别为,,.已知,点在边上,.(1)证明:;(2)若,求.解:(1)证明:由正弦定理知,,,,,,即,.;(2)由(1)知,,,,在中,由余弦定理知,,在中,由余弦定理知,,,,即,得,,,或,在中,由余弦定理知,,当时,(舍;当时,;综上所述,.3.如图,在中,,,点在边上,,为锐角.(Ⅰ)求;(Ⅱ)若,求的值及的长.解:(1)中,由余弦定理得,所以,解得或,当时,,此时,不符合题意,舍去,当时,,此时,符合题意,(2)中,,所以,又,所以,中,由正弦定理得,所以.4.已知函数.(1)若,,求函数的值域;(2)在中,,,分别是角,,所对的边,若,,且,求边的值.解:(1),若,,则,所以,,所以函数的值域,;(2)因为,所以,由为三角形内角得或,所以或,当时,,,由余弦定理得,解得,当时,,,由勾股定理得,即,综上或.5.的内角,,的对边分别为,,,已知.(Ⅰ)求;(Ⅱ)若的面积,,求.解:因为.所以,整理得,所以,所以,因为,所以;因为,所以,整理得,当时,,,,此时,且,解得;当时,,由正弦定理得,此时,所以,,所以,所以.6.中,内角、、所对的边分别为、、.若,,且点满足.(Ⅰ)求角;(Ⅱ)求的长.解:(Ⅰ),可得,,又,,,.(Ⅱ),,可得,由正弦定理得,,,,,由,可得,在中,由余弦定理得,,即,解得.
相关试卷
这是一份61.椭圆(求值问题) 2022届高三数学一轮复习大题练,共10页。试卷主要包含了已知椭圆的焦距为2,点在椭圆上等内容,欢迎下载使用。
这是一份2022届高考一轮复习第六章解三角形专练_求值问题大题(Word含答案),共5页。试卷主要包含了如图,在平面四边形中,,,,已知四边形中,,,,等内容,欢迎下载使用。
这是一份一轮复习大题专练20—解三角形(周长问题)-2022届高三数学一轮复习,共6页。试卷主要包含了的内角,,的对边分别为,,,在中,已知,,已知函数,,如图,在四边形中,,,等内容,欢迎下载使用。

