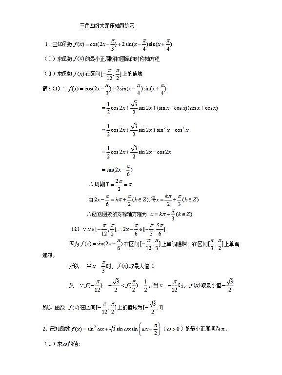
上海高中数学三角函数大题压轴题练习
展开2023年高考数学必刷压轴题专题12三角函数(全题型压轴题)含解析: 这是一份2023年高考数学必刷压轴题专题12三角函数(全题型压轴题)含解析,共89页。试卷主要包含了已知,给出下述四个结论等内容,欢迎下载使用。
高中数学 三角函数多选压轴小题(有答案): 这是一份高中数学 三角函数多选压轴小题(有答案),共19页。试卷主要包含了函数的图象如图所示,则,已知函数,下列说法正确的是,已知函数,ω>0等内容,欢迎下载使用。
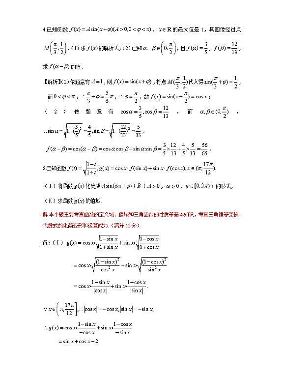
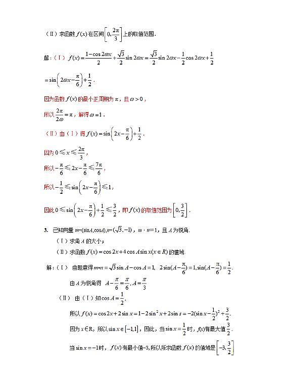
高中数学三角函数大题总结版练习题(有答案): 这是一份高中数学三角函数大题总结版练习题(有答案),共23页。试卷主要包含了设函数,其中向量,且,已知向量,,函数.,设函数,其中向量,已知函数,已知,函数的部分图象如图所示等内容,欢迎下载使用。

