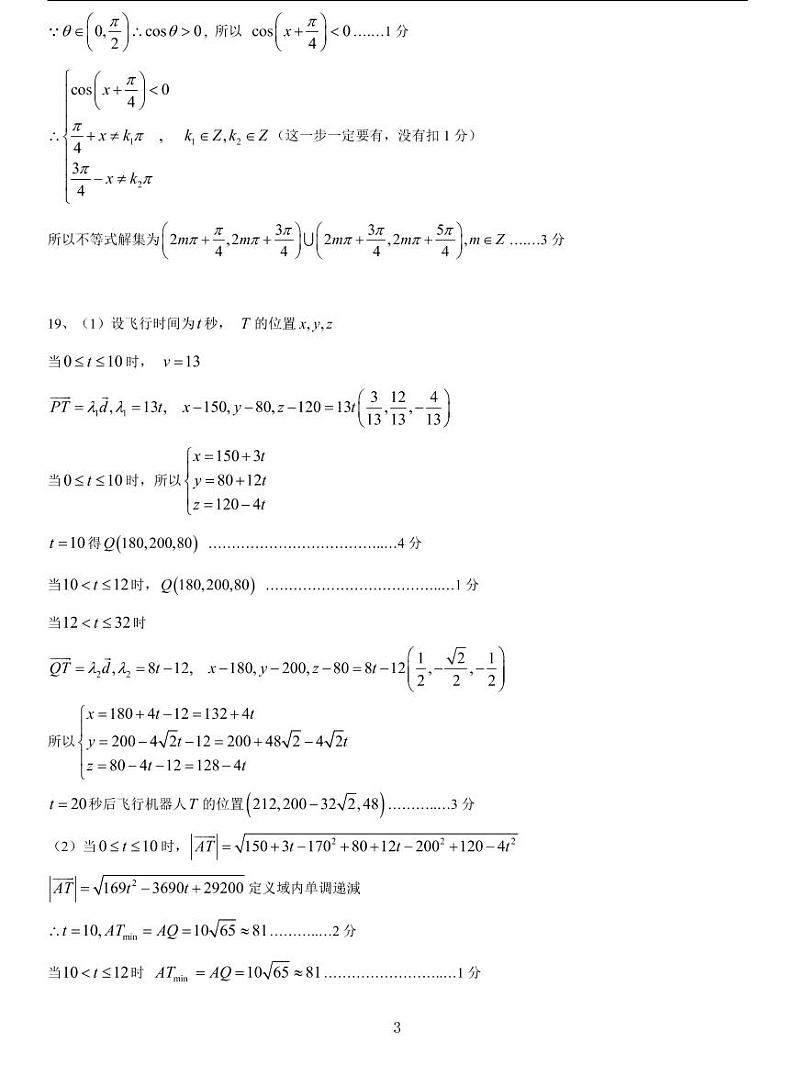
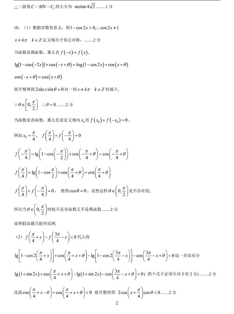
上海奉贤区2021届高三二模数学卷及答案
展开2023届上海市奉贤区高三二模数学试卷含答: 这是一份2023届上海市奉贤区高三二模数学试卷含答,共8页。
上海市奉贤区2020届高三二模考试数学试题 Word版含解析: 这是一份上海市奉贤区2020届高三二模考试数学试题 Word版含解析,共22页。试卷主要包含了设,若,则实数________等内容,欢迎下载使用。
2023届上海市奉贤区高三二模数学试题含解析: 这是一份2023届上海市奉贤区高三二模数学试题含解析,共15页。试卷主要包含了填空题,单选题,解答题等内容,欢迎下载使用。

