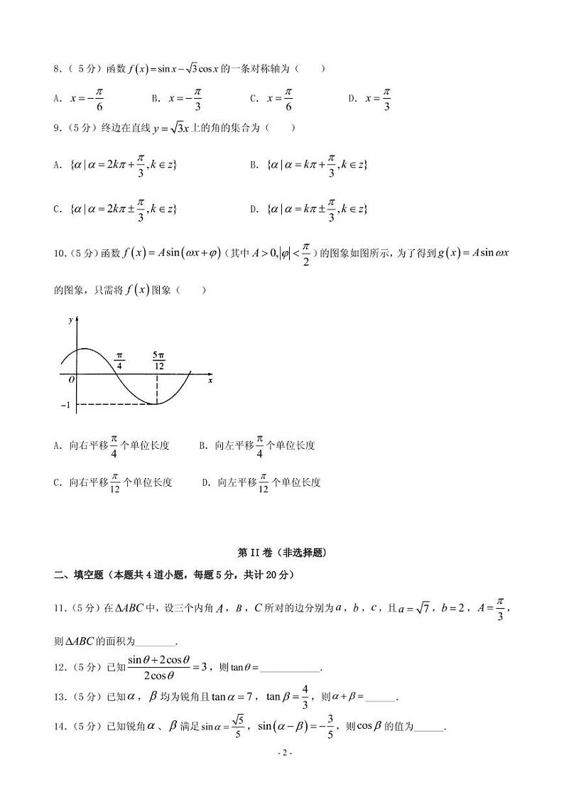
2020届山东省微山县第二中学高三上学期第三学段质量检测数学试题 PDF版
展开2024届山东省济宁市微山县第二中学高三上学期第三学段教学质量检测数学试题含答案: 这是一份2024届山东省济宁市微山县第二中学高三上学期第三学段教学质量检测数学试题含答案,共13页。试卷主要包含了单选题,多选题,填空题,解答题等内容,欢迎下载使用。
2023届重庆市南开中学校高三上学期第二次质量检测 数学试题 PDF版: 这是一份2023届重庆市南开中学校高三上学期第二次质量检测 数学试题 PDF版,共9页。
2023届天津市实验中学高三上学期第二阶段学习质量检测数学试题(解析版): 这是一份2023届天津市实验中学高三上学期第二阶段学习质量检测数学试题(解析版),共19页。试卷主要包含了单选题,填空题,双空题,解答题等内容,欢迎下载使用。

