2021年高考考点完全题数学(理)考点通关练课件 第五章 不等式、推理与证明、算法初步与复数 37
展开第一部分 考点通关练第五章 不等式、推理与证明、算法初步与复数
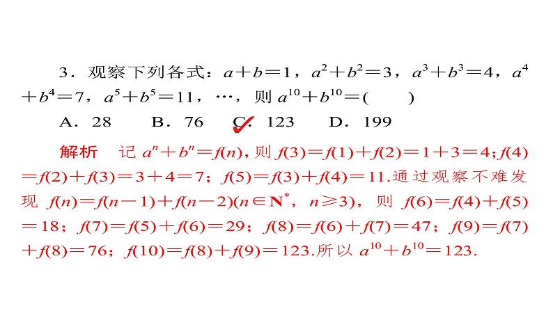
考点测试37 合情推理与演绎推理
第1步 狂刷小题·练基础
第2步 精做大题·练能力
2021年高考考点完全题数学(文)考点通关练课件 第五章 不等式、推理与证明、算法初步与复数 37: 这是一份2021年高考考点完全题数学(文)考点通关练课件 第五章 不等式、推理与证明、算法初步与复数 37,共39页。
2021年高考考点完全题数学(理)考点通关练课件 第五章 不等式、推理与证明、算法初步与复数 41: 这是一份2021年高考考点完全题数学(理)考点通关练课件 第五章 不等式、推理与证明、算法初步与复数 41,共46页。PPT课件主要包含了考点测试41复数等内容,欢迎下载使用。
2021年高考考点完全题数学(理)考点通关练课件 第五章 不等式、推理与证明、算法初步与复数 35: 这是一份2021年高考考点完全题数学(理)考点通关练课件 第五章 不等式、推理与证明、算法初步与复数 35,共60页。

