2021年高考考点完全题数学(理)考点通关练课件 第五章 不等式、推理与证明、算法初步与复数 34
展开第一部分 考点通关练第五章 不等式、推理与证明、算法初步与复数
考点测试34 一元二次不等式及其解法
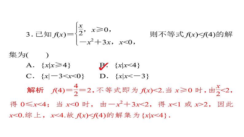
第1步 狂刷小题·练基础
第2步 精做大题·练能力
2021年高考考点完全题数学(文)考点通关练课件 第五章 不等式、推理与证明、算法初步与复数 34: 这是一份2021年高考考点完全题数学(文)考点通关练课件 第五章 不等式、推理与证明、算法初步与复数 34,共60页。
2021年高考考点完全题数学(理)考点通关练课件 第五章 不等式、推理与证明、算法初步与复数 40: 这是一份2021年高考考点完全题数学(理)考点通关练课件 第五章 不等式、推理与证明、算法初步与复数 40,共60页。
2021年高考考点完全题数学(理)考点通关练课件 第五章 不等式、推理与证明、算法初步与复数 36: 这是一份2021年高考考点完全题数学(理)考点通关练课件 第五章 不等式、推理与证明、算法初步与复数 36,共53页。

