专题02 三角函数与平面向量(重难点突破)-【教育机构专用】2020-2021学年高三数学寒假辅导讲义(全国通用)
展开专题02 三角函数与平面向量
【重难点知识点网络】:
【重难点题型突破】:
一、与三角函数有关的最值问题
例1、将函数的图象向左平移个单位,所得图象对应的函数恰为奇函数,则的最小值为( )
A. B. C. D.
【变式训练1-1】、若函数, , ,又, ,且的最小值为,则的值为( )
A. B. C. D. 2
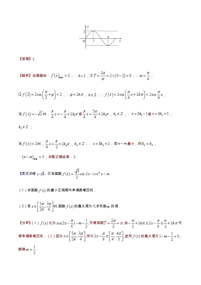
【变式训练1-2】、(2020江苏南京上学期开学考试)函数(A>0,>0)的部分图象如图所示.若函数在区间[m,n]上的值域为[,2],则n﹣m的最小值是_______.
【变式训练1-3】、已知函数.
(1)求函数的最小正周期与单调递增区间;
(2)若时,函数的最大值为0,求实数的值.
二、与三角函数有关的范围问题
例2、已知函数,对于,若,满足,则的取值范围是( )
A. B.
C. D.
【变式训练2-1】、已知实数满足,则有( )
A.最小值和最大值1 B.最小值和最大值1
C.最小值和最大值 D.最小值1,无最大值
【变式训练2-2】、已知函数,过点, ,则且当,且的最大值为,则的值为( )
A. B. C. 和 D. 和
【
变式训练2-3】、(2020江苏镇江八校联考)已知锐角ΔABC的内角A,B,C的对边分别为,,,若,则的取值范围是__________.
三、三角形中的不等问题
例3、在中,如果边, , 满足,则( )
A. 一定是锐角 B. 一定是钝角 C. 一定是直角 D. 以上情况都有可能
【变式训练3-1】、在中,内角的对边分别为,已知, ,则的取值范围是__________.
【变式训练3-2】、(2020江苏江都中学月考)在锐角三角形中,是边上的中线,且,则的最小值______.
四、与平面向量相结合的综合问题
例4、在平面内, ,动点, 满足, ,则的最大值是
A. 3 B. 4 C. 8 D. 16
【变式训练4-1】、长度都为的向量, 的夹角为,点在以为圆心的圆弧(劣弧)上, ,则的最大值是( )
A. B. C. D.
【变式训练4-2】、已知O为△ABC的外心,,若,则x+y的最大值为( )
A. B. C. D.
专题09 数列(重难点突破)-【教育机构专用】2020-2021学年高三数学寒假辅导讲义(全国通用): 这是一份专题09 数列(重难点突破)-【教育机构专用】2020-2021学年高三数学寒假辅导讲义(全国通用),文件包含专题09数列重难点突破学生版docx、专题09数列重难点突破教师版docx等2份试卷配套教学资源,其中试卷共16页, 欢迎下载使用。
专题08 三角函数与平面向量(重难点突破)-【教育机构专用】2020-2021学年高三数学寒假辅导讲义(全国通用): 这是一份专题08 三角函数与平面向量(重难点突破)-【教育机构专用】2020-2021学年高三数学寒假辅导讲义(全国通用),文件包含专题08三角函数与平面向量重难点突破学生版docx、专题08三角函数与平面向量重难点突破教师版docx等2份试卷配套教学资源,其中试卷共16页, 欢迎下载使用。
专题06 导数(重难点突破)-【教育机构专用】2020-2021学年高三数学寒假辅导讲义(全国通用): 这是一份专题06 导数(重难点突破)-【教育机构专用】2020-2021学年高三数学寒假辅导讲义(全国通用),文件包含专题06导数重难点突破学生版docx、专题06导数重难点突破教师版docx等2份试卷配套教学资源,其中试卷共12页, 欢迎下载使用。

