专题十 平面向量与复数-2021届高三《新题速递•数学》1月刊(江苏专用 适用于高考复习)
展开专题十 平面向量与复数
一、单选题
1.(2021·浙江高三学业考试)某简谐运动的图象如图所示.若两点经过秒后分别运动到图象上两点,则下列结论不一定成立的是( )
A. B.
C. D.
2.(2020·重庆市凤鸣山中学高三月考)如图,四边形是边长为的正方形,,点为内(含边界)的动点,设,则的最大值是( )
A. B. C. D.
3.(2021·河南郑州市·高三一模(文))设为单位向量,且,则( )
A. B. C. D.
4.(2020·四川成都市·高三一模(文))若向量,满足,,,则( ).
A. B. C. D.
5.(2020·四川内江市·高三一模(文))若向量,,则的面积为( )
A. B. C. D.
6.(2020·四川凉山彝族自治州·高三一模(理))已知为等边三角形,,设点,满足,,与交于点,则( )
A. B. C.1 D.2
7.(2021·天津河西区·高三期末)在梯形中,,,,,若点在线段上,则的最小值为( )
A. B. C. D.
8.(2020·广东高三一模)如图所示的中,点是线段上靠近的三等分点,点是线段的中点,则( )
A. B. C. D.
9.(2020·全国高一单元测试)已知AD,BE分别为△ABC的边BC,AC上的中线,设,则等于( )
A. B.
C. D.
10.(2020·全国高一单元测试)在平行四边形ABCD中,点E为CD的中点,BE与AC的交点为F,设=,=,则向量=( )
A. B.
C. D.
11.(2020·全国高一单元测试)在△ABC中,P,Q分别是边AB,BC上的点,且若,,则=( )
A. B.
C. D.
12.(2020·全国高一单元测试)设O是△ABC的内心,AB=c,AC=b,BC=a,若则( )
A. B.
C. D.
13.(2020·全国高一单元测试)给出下列命题:①零向量的长度为零,方向是任意的;
②若都是单位向量,则;
③向量与相等.
则所有正确命题的序号是( )
A.① B.③
C.①③ D.①②
14.(2020·陕西宝鸡市·高三月考(理))已知向量,,若,则实数x的值为( )
A.-2或3 B.1或2 C.或-1 D.
15.(2020·全国高二单元测试)如图所示,已知空间四边形ABCD,连接AC,BD,M,G分别是BC,CD的中点,则++等于( )
A. B. C. D.
16.(2020·全国高三专题练习(理))若复数满足,则关于复数的说法正确的是( )
A.复数的实部为 B.复数的虚部为
C.复数的模长为 D.复数对应的复平面上的点在第一象限
17.(2020·全国高三专题练习(理))已知复数满足,则( )
A. B. C. D.
18.(2020·全国高三专题练习(理))已知复数满足,则( )
A. B. C. D.
19.(2020·全国高三专题练习)设复数满足,则复数的共轭复数在复平面内对应的点位于( )
A.第一象限 B.第二象限
C.第三象限 D.第四象限
20.(2020·全国高三专题练习)若复数(为虚数单位),则( )
A. B.
C. D.
21.(2020·全国高三专题练习(理))在下列命题中,正确命题的个数为( )
①两个复数不能比较大小;
②若是纯虚数,则实数;
③是虚数的一个充要条件是;
④若、是两个相等的实数,则是纯虚数;
⑤的一个充要条件是;
⑥的充要条件是.
A. B. C. D.
22.(2020·全国高三专题练习(理))设,,则( )
A. B. C. D.
23.(2020·全国高三专题练习(理))设为虚数单位,已知复数满足,则复数的虚部为( )
A. B. C. D.
24.(2020·全国高三专题练习(理))若复数为实数,则实数的值为( )
A. B. C. D.
25.(2021·河南郑州市·高三一模(文))已知为虚数单位,复数满足,则在复平面内的共轭复数对应的点位于( )
A.第一象限 B.第二象限 C.第三象限 D.第四象限
26.(2021·河南郑州市·高三一模(理))设复数满足,则( )
A. B. C. D.
27.(2020·全国高三专题练习(理))设复数z1,z2在复平面内对应的点关于实轴对称,z1=2+i,则=( )
A.1+i B.
C. D.
28.(2020·全国高三专题练习(理))已知i为虚数单位,若复数的实部与虚部互为相反数,则a=( )
A.-5 B.-1 C.- D.-
二、多选题
29.(2021·江苏泰州市·高三期末)引入平面向量之间的一种新运算“”如下:对任意的向量,,规定,则对于任意的向量,,,下列说法正确的有( )
A. B.
C. D.
30.(2020·全国高一单元测试)如果是平面α内两个不共线的向量,那么下列说法中不正确的是( )
A.λ+μ (λ,μ∈R)可以表示平面α内的所有向量
B.对于平面α内任一向量,使=λ+μ的实数对(λ,μ)有无穷多个
C.若向量λ1+μ1与λ2+μ2共线,则有且只有一个实数λ,使得λ1+μ1=λ(λ2+μ2)
D.若实数λ,μ使得,则λ=μ=0
31.(2020·全国高一单元测试)已知两点,与平行,且方向相反的向量可能是( )
A. B.
C. D.
32.(2020·全国高一单元测试)下列命题不正确的是( )
A.单位向量都相等
B.若与是共线向量,与 ⃗是共线向量,则与是共线向量
C.,则⊥
D.若与单位向量,则| |=||
33.(2020·全国高一单元测试)已知向量,是两个非零向量,在下列条件中,一定能使,共线的是( )
A.且
B.存在相异实数λ,μ,使
C.(其中实数x,y满足x+y=0)
D.已知梯形ABCD,其中
34.(2020·全国高三专题练习(理))满足及的复数可以是( )
A. B.
C. D.
第II卷(非选择题)
请点击修改第II卷的文字说明
三、解答题
35.(2021·江苏高一)已知向量,,.
(1)若点,,三点共线,求的值;
(2)若为直角三角形,且为直角,求的值.
36.(2020·全国高一单元测试)已知 是平面内两个不共线的非零向量,=,且A,E,C三点共线.
(1)求实数λ的值;
(2)若,求的坐标;
(3)已知,在(2)的条件下,若四点按逆时针顺序构成平行四边形,求点A的坐标.
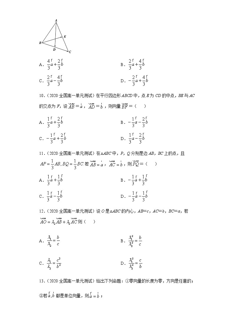
37.(2020·全国高一课时练习)如图,已知四边形为平行四边形,与相交于,,,设,,试用基底表示向量,,.
38.(2020·全国高一课时练习)在中,,记,且为正实数),
(1)求证:;
(2)将与的数量积表示为关于的函数;
(3)求函数的最小值及此时角的大小.
39.(2020·全国高三专题练习(理))已知复数满足,求的最大值与最小值.
40.(2020·全国高三专题练习(理))已知复数、满足、,且,求与的值.
41.(2021·江苏高二)已知z1,z2为虚数,且满足|z1|=5,z2=3+4i.
(1)若z1z2是纯虚数,求z1;
(2)求证:为纯虚数.
四、填空题
42.(2020·全国高三专题练习(文))已知向量、的夹角为,且满足,,则_________.
43.(2020·上海青浦区·高三一模)已知向量的模长为1,平面向量满足:,则的取值范围是_________.
44.(2020·上海杨浦区·高三一模)如图所示矩形中,,,分别将边与等分成份,并将等分点自下而上依次记作、、、,自左到右依次记作、、、,满足(其中、,)的有序数对共有_______对.
45.(2020·天津河北区·高三期末)如图,在中,D是的中点,E在边上,且,若,则的值为___________.
46.(2021·天津高三期末)在菱形ABCD中,,,点M,N分别为BC,CD边上的点,且满足,则的最小值为______________.
47.(2020·全国高一单元测试)在矩形ABCD中,O是对角线的交点,若,则=________.(用 表示)
48.(2020·全国高一课时练习)下列说法中正确的是___(填序号)①温度含零上和零下温度,所以温度是向量;②向量的模是一个正实数;③若,则;④长度相等且方向相同的两个向量表示相等向量.
49.(2020·全国高三专题练习(理))设是虚数单位,若复数()是纯虚数,则________.
50.(2020·全国高三专题练习(理))计算_______.
51.(2021·天津高三期末)已知复数,则______.
五、双空题
52.(2021·天津高三期末)如图,在边长1为正方形中,,分别是,的中点,则______,若,则______.
专题十 平面向量与复数-2021届高三《新题速递•数学》10月刊(江苏专用 适用于高考复习): 这是一份专题十 平面向量与复数-2021届高三《新题速递•数学》10月刊(江苏专用 适用于高考复习),文件包含专题十平面向量与复数原卷版docx、专题十平面向量与复数解析版docx等2份试卷配套教学资源,其中试卷共48页, 欢迎下载使用。
专题十 平面向量与复数-2021届高三《新题速递•数学》9月刊(江苏专用 适用于高考复习): 这是一份专题十 平面向量与复数-2021届高三《新题速递•数学》9月刊(江苏专用 适用于高考复习),文件包含专题十平面向量与复数原卷版docx、专题十平面向量与复数解析版docx等2份试卷配套教学资源,其中试卷共68页, 欢迎下载使用。
专题十 平面向量与复数-2021届高三《新题速递•数学》11月刊(江苏专用 适用于高考复习): 这是一份专题十 平面向量与复数-2021届高三《新题速递•数学》11月刊(江苏专用 适用于高考复习),文件包含专题十平面向量与复数原卷版docx、专题十平面向量与复数解析版docx等2份试卷配套教学资源,其中试卷共51页, 欢迎下载使用。

