高中数学讲义微专题26 未知角的三角函数值
展开www.ks5u.com微专题26 求未知角的三角函数值
在三角函数的解答题中,经常要解决求未知角的三角函数值,此类问题的解决方法大体上有两个,一是从角本身出发,利用三角函数关系列出方程求解,二是向已知角(即三角函数值已知)靠拢,利用已知角将所求角表示出来,再利用三角函数运算公式展开并整体代换求解,本周着力介绍第二种方法的使用和技巧
一、基础知识:
1、与三角函数计算相关的公式:
(1)两角和差的正余弦,正切公式:
① ②
③ ④
⑤ ⑥
(2)倍半角公式:
①
②
③
(3)辅助角公式:,其中
2、解决此类问题的方法步骤:
(1)考虑用已知角表示未知角,如需要可利用常用角进行搭配
(2)等号两边同取所求三角函数,并用三角函数和差公式展开
(3)利用已知角所在象限和三角函数值求出此角的其他函数值
(4)将结果整体代入到运算式即可
3、确定所涉及角的范围:当已知角的一个三角函数值求其他三角函数值时,角的范围将决定其他三角函数值的正负,所以要先判断角的范围,再进行三角函数值的求解。确定角的范围有以下几个层次:
(1)通过不等式的性质解出该角的范围(例如: ,则)
(2)通过该角的三角函数值的符号,确定其所在象限。
(3)利用特殊角将该角圈在一个区间内(区间长度通常为)
(4)通过题目中隐含条件判断角的范围。例如:,可判断出在第一象限
二、典型例题:
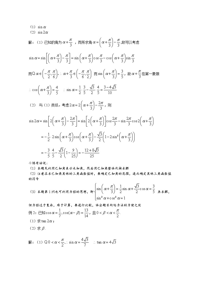
例1:已知, ,求:
(1)
(2)
解:(1)已知的角为 ,而所求角,故可以考虑
而 而,故在第一象限
(2) 与(1)类似。考虑,则
小炼有话说:
(1)本题先利用已知角表示未知角,然后用已知角整体代换求解
(2)注意在求已知角其他的三角函数值时,要确定已知角的范围,进而确定其他三角函数值的符号
(3)本题第1问也可利用方程的思想,即 来求解,但方程过于复杂,难于计算,要进行比较,体会题目所给方法的方便之处
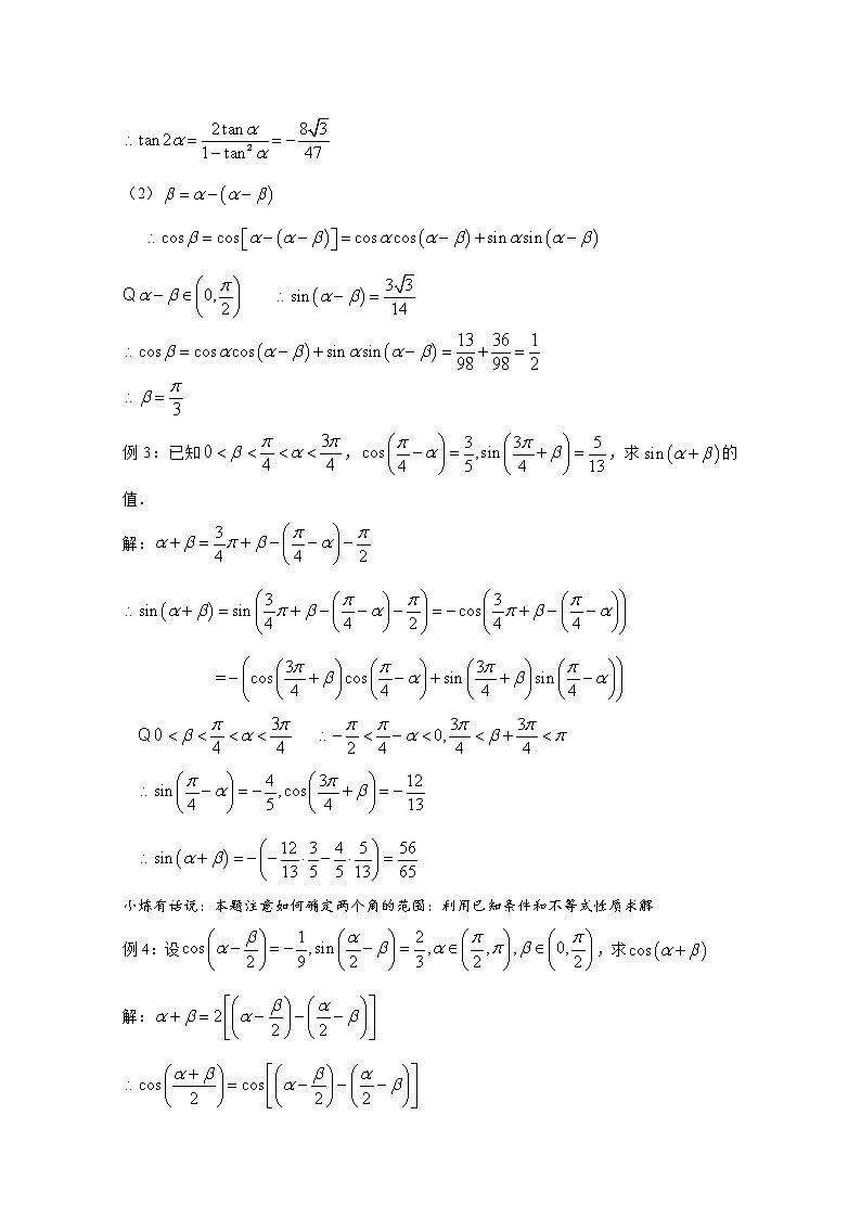
例2:已知,且.
(1)求;
(2)求.
解:(1)
(2)
例3:已知,,求的值.
解:
小炼有话说:本题注意如何确定两个角的范围:利用已知条件和不等式性质求解
例4:设,求
解:
例5:已知,则( )
A. B. C. D.
思路:所求角与相关,但题目中有,所以考虑利用消去,即,化简后可得:即
答案:D
例6:已知,且均为锐角,求
解:
①
若为锐角,
则根据在单调递增,可知,与条件矛盾
,代入①可得:
例7:已知,,,则_______
思路一:考虑用已知角表示未知角,,从而,展开后即可利用已知角的三角函数进行整体代入,由和可知,但,所以不能判定的符号,所以由可得:,分别代入表达式可计算出或,由可知
解:
当时,
当时,
答案:
思路二:本题以,为突破口,发现其三角函数值含有一定关系,计算出,从而,所以得到与的关系。结合可知,即,所以
解:
或,
若即,与矛盾,故舍去
若即,则:
答案:
小炼有话说:(1)在思路一中,虽然在计算的正弦时,没有办法简单地根据角的范围进行取舍,但是在最后的结果中会发现有一个解是不符合题意的。在解题过程中,要时刻关注角的范围,使之成为一道防线赶走不符合条件的解
(2)思路二是从三角函数值的特点作为突破口,进而寻求已知条件中的角之间的关系,这也是对题目条件的一种妙用
例8:已知,则的值是______________
解:
例9:已知,求
思路:若要求出的值,则需要它的一个三角函数。所给条件均为正切值,所以也考虑计算,其中可由求出。再代入式子中可得:,下面考虑的范围。如果按照原始条件:可得,则或,但本题可通过进一步缩小的范围。由可知,由可知,所以,从而
解:
且
且
由可知
例10:已知在中,,则角的大小为( )
A. B. C. 或 D.
思路:在中,可知,,所以若要求角,结合条件 可知选择,将的两个方程平方后相加可得:,即,所以或,以为突破口,若,则,那么,且。与条件不符。所以
解:
即
或
若,则
与条件不符 故舍去

