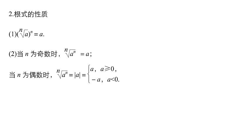
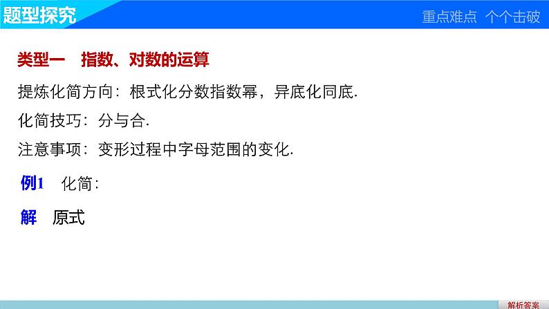
人教版新课标A必修1第二章 基本初等函数(Ⅰ)综合与测试复习课件ppt
展开数学第一章 集合与函数概念综合与测试复习ppt课件: 这是一份数学第一章 集合与函数概念综合与测试复习ppt课件,共29页。
高中数学人教版新课标A必修1第一章 集合与函数概念综合与测试复习ppt课件: 这是一份高中数学人教版新课标A必修1第一章 集合与函数概念综合与测试复习ppt课件,共29页。
高中人教版新课标A第三章 函数的应用综合与测试复习课件ppt: 这是一份高中人教版新课标A第三章 函数的应用综合与测试复习课件ppt,共31页。

