搜索
      上传资料 赚现金

      湖北省武昌实验中学2025-2026学年高一下学期数学第一次月考模拟试卷含解析(word版+pdf版)

      • 2.6 MB
      • 2026-03-11 14:45:25
      • 12
      • 0
      • 溯舟
      加入资料篮
      立即下载
      查看完整配套(共2份)
      包含资料(2份) 收起列表
      练习
      湖北武昌实验中学2025-2026学年高一下学期数学第一次月考模拟试题解析版.docx
      预览
      练习
      湖北武昌实验中学2025-2026学年高一下学期数学第一次月考模拟试题与解析.pdf
      预览
      正在预览:湖北武昌实验中学2025-2026学年高一下学期数学第一次月考模拟试题解析版.docx
      湖北武昌实验中学2025-2026学年高一下学期数学第一次月考模拟试题解析版第1页
      高清全屏预览
      1/11
      湖北武昌实验中学2025-2026学年高一下学期数学第一次月考模拟试题解析版第2页
      高清全屏预览
      2/11
      湖北武昌实验中学2025-2026学年高一下学期数学第一次月考模拟试题解析版第3页
      高清全屏预览
      3/11
      湖北武昌实验中学2025-2026学年高一下学期数学第一次月考模拟试题与解析第1页
      高清全屏预览
      1/9
      湖北武昌实验中学2025-2026学年高一下学期数学第一次月考模拟试题与解析第2页
      高清全屏预览
      2/9
      湖北武昌实验中学2025-2026学年高一下学期数学第一次月考模拟试题与解析第3页
      高清全屏预览
      3/9
      还剩8页未读, 继续阅读

      湖北省武昌实验中学2025-2026学年高一下学期数学第一次月考模拟试卷含解析(word版+pdf版)

      展开

      这是一份湖北省武昌实验中学2025-2026学年高一下学期数学第一次月考模拟试卷含解析(word版+pdf版),文件包含湖北武昌实验中学2025-2026学年高一下学期数学第一次月考模拟试题解析版docx、湖北武昌实验中学2025-2026学年高一下学期数学第一次月考模拟试题与解析pdf等2份试卷配套教学资源,其中试卷共20页, 欢迎下载使用。
      1.答卷前,考生务必将自己的姓名、考生号、考场号、座位号填写在答题卡上。
      2.回答选择题时,选出每小题答案后,用铅笔把答题卡上对应题目的答案标号涂黑.如需改动,用橡皮擦干净后,再选涂其他答案标号.回答非选择题时,将答案写在答题卡上.写在本试卷上无效。
      3.考试结束后,将本试卷和答题卡一并交回。 (测试范围:第五、六章)
      一、单选题:本题共8小题,每小题5分,共40分,每小题只有一个选项符合要求
      1. 在平面直角坐标系 中,角 的终边经过点 ,则
      A. B. C. D.
      【答案】D
      【解析】因为在平面直角坐标系 中,角 的终边经过点 ,则 .
      2. 若向量 ,且 三点共线,则
      A. B. C. D.
      【答案】B
      【解析】向量 ,且 三点共线,得 , 又 ,得 ,解得 .
      3.已知平面向量 ,则 在 方向上的投影向量坐标为
      A. B. C. D.
      【答案】A
      【解析】因为 ,则 , 所以 在 方向上的投影向量坐标为 .
      4.如图,在四边形 中, , ,设 , ,则 等于
      A. B. C. D.
      【答案】C
      【解析】因为 ,所以
      .
      5.计算:
      A. B. C. D.
      【答案】B
      【解析】因为
      ,所以原式的值为 .
      6.已知平面向量 满足 ,且 ,则
      A. B. C. 1 D. 2
      【答案】D
      【解析】已知平面向量 满足 ,且 ,则 ,即 , 所以 ,又 ,且 ,所以 .
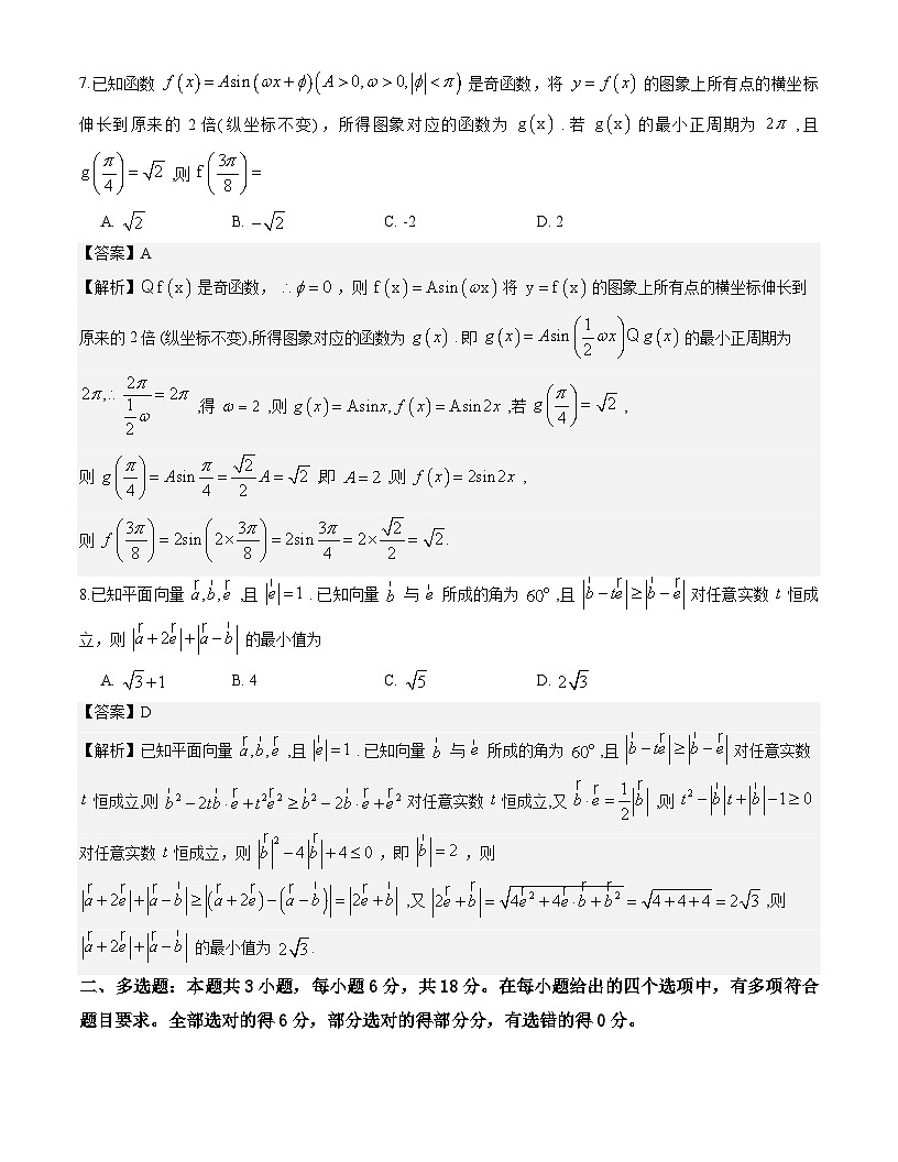
      7.已知函数 是奇函数,将 的图象上所有点的横坐标伸长到原来的 2 倍(纵坐标不变),所得图象对应的函数为 . 若 的最小正周期为 ,且 ,则
      A. B. C. -2 D. 2
      【答案】A
      【解析】 是奇函数, ,则 将 的图象上所有点的横坐标伸长到原来的 2 倍 (纵坐标不变),所得图象对应的函数为 . 即 的最小正周期为 ,得 ,则 ,若 ,
      则 ,即 ,则 ,
      则 .
      8.已知平面向量 ,且 . 已知向量 与 所成的角为 ,且 对任意实数 恒成立,则 的最小值为
      A. B. 4 C. D.
      【答案】D
      【解析】已知平面向量 ,且 . 已知向量 与 所成的角为 ,且 对任意实数 恒成立,则 对任意实数 恒成立,又 ,则 对任意实数 恒成立,则 ,即 ,则 ,又 ,则 的最小值为 .
      二、多选题:本题共3小题,每小题6分,共18分。在每小题给出的四个选项中,有多项符合题目要求。全部选对的得6分,部分选对的得部分分,有选错的得0分。
      9. 的内角 的对边分别为 ,下列四个命题中正确的是
      A. 若 ,则 一定是锐角三角形
      B. 若 ,则 一定是等边三角形
      C. 若 acsA=bcsB,则 一定是等腰三角形
      D. 若 acsB+bcsA=a,则 一定是等腰三角形
      【答案】BD
      【解析】若 ,故 ,解得 为锐角,并不能说明 一定是锐角三角形,故 错误; 由于 ,利用正弦定理: ,整理得 =tanC,利用正切函数的性质,所以 ,所以 为等边三角形,故 正确;若 , 利用正弦定理 ,所以 或 ,故 为等腰三角形或直角三角形,故 错误; 若 ,利用正弦定理:sinAcsB+sinBcsA=sinA,所以 ,故 ,所以 为等腰三角形,故 正确.
      10.函数 的部分图象如图所示,将 的图象向右平移 个单位长度得到函数 的图象,则下列关于函数 的说法正确的有
      A. 是 的一条对称轴 B. 在 上单调递增
      C. 的一个对称中心为 D. 是偶函数
      【答案】AD
      【解析】由 的部分图象知, ,最小正周期为 , 所以 ,所以 ,即 ,解得 . 因为 ,所以 . 所以 . 对于 ,当 时, ,选项 正确; 对于 的单调递增区间为 ,解得 ,当 时,故 在 上单调递增,在 上单调递减,选项 B 错误; 对于 ,选项 错误; 对于 , ,所以 是偶函数,选项 正确.
      11.已知点0为 所在平面内一点,满足 ,则(其中 )
      A. 当 时,直线 过边 的中点
      B. 若 时, 与 的面积之比为 2 : 3
      C. 若 ,且 ,则
      D. 若 ,且 ,则 满足
      【答案】AD
      【解析】对于 ,设 的中点为 ,当 时, ,即 三点共线,直线 过边 的中点,选项 正确;对于 ,延长 至 ,使 ,延长 至 , 使 ,连接 ,设其中点为 ,连接 并延长至 ,使 ,连接 , 则四边形 是平行四边形,所以 时, ,所以 ,即 三点共线,且 ,根据同底等高三角形面积相等,则 ,即 与 的面积之比为 1:2,选项 B 错误;对于 ,由于 且 时, ,故 0 为 的外心和重心, 故 为等边三角形,则 ,由 可得 , 故 ,选项 C 错误;对于 ,因为 ,且 , 由 得, ,所以 ,即 ,选项 D 正确.
      三、填空题:本题共3小题,每小题5分,共15分
      12.设向量 ,且 ,则 ________.
      【答案】-2
      【解析】 ,可得 . 向量 ,可得 ,解得 .
      13.已知 ,若 ,则 _______.
      【答案】
      【解析】由 ,所以 ,又 ,所以 , 而 ,所以 .
      14.已知 0 为 的外心,若 ,则 的最大值为________.
      【答案】
      【解析】因为0为 的外心,若 ,取 的中点 ,所以 ,所以 ,因为 ,所以 ,
      两边同乘 可得 ,可得 becsA = m (csA+2) AD AB+m (csA+2) DO AB m (csA+2) ,所以 besA m ,由正弦定理可得: 时 ,即 ,在 中, ,所以 ,而 ,可得 . 当且仅当 ,即 ,即 时取等号,所以 的最大值为 .
      四、解答题:本题共5小题,共77分,解答应写出文字说明,证明过程或演算步骤
      15. 的内角 的对边分别为 . 设 .
      (1)求A;
      (2)若 ,求 .
      【解析】(1) 的内角 的对边分别为 . 由正弦定理得: .
      (2) 由正弦定理得 解得 或
      .
      16.已知函数 .
      (1)求 的定义域与最小正周期;
      (2)讨论 在区间 上的单调性.
      【解析】(1) 的定义域为 . . 所以, 的最小正周期
      (2)利用整体思想,令: ,解得: Z),即函数的单调递增区间为: ,同理: 函数的单调减区间为: ,由于 ,则函数的单调递增区间为 ,函数的单调递减区间为 .
      17.如图, 的内角 A, B, C 的对边分别为 是边 BC 的中点,点 D 在边 AB 上,且满足 , 与 交于点 .
      (1)试用 表示 和 ;
      (2)若 ,求 .
      【解析】
      (1) ,设 ,又 三点共线, , .
      (2) ,设
      ,又 P、C、D三点共线, , ,又 . 或 (舍去), .
      18.已知向量 ,函数 ,
      (1)若 的最小值为 -1,求实数 的值;
      (2)是否存在实数 ,使函数 有四个不同的零点?若存在,求出 的取值范围;若不存在,请说明理由.
      【解析】(1) 向量 ,函数


      , 令 ,则 ,则 ,对称轴 ,①当 ,即 时,当 时,函数取得最小值此时最小值 ,得 (舍),②当 ,即 时,当 时, 函数取得最小值此时最小值 ,得 ,③当 ,即 时,当 时,函数取得最小值此时最小值 ,得 (舍),综上若 的最小值为 -1,则实数 .
      (2)令 ,得 或 方程 或 在 上有四个不同的实根,则 ,得 ,则 ,即存在实数 ,使函数 有四个不同的零点,实数 的取值范围是 .
      19.设 0 为坐标原点,定义非零向量 的 “相伴函数” 为 R), 称为函数 的 “相伴向量“.
      (1)设函数 ,求函数 的相伴向量 ;
      (2)记 的 “相伴函数 “为 ,若方程 在区间 上有且仅有四个不同的实数解,求实数 的取值范围;
      (3)已知点 满足 ,向量 的“相伴函数” 在 处取得最大值, 当点 运动时,求 的取值范围.
      【解析】(1) ,所以函数 的相伴向量 , .
      (2) 的 “相伴函数” ,方程 为 则方程 ,有四个实数解,所以 ,有四个实数解,令 , ,
      ① 当 时, ,② 当 时, ,所以 ,
      作出 的图象,如图所示 ,所以函数 与 有四个交点时,实数 的取值范围为 .
      (3)向量 的 “相伴函数” ,其中 , ,当 ,即 时, 取得最大值,所以 ,所以 ,令 (a ,则 ,所以 ,解得 ,因为 , 所以 ,即 ,所以 满足 ,所以

      相关试卷

      湖北省武昌实验中学2025-2026学年高一下学期数学第一次月考模拟试卷含解析(word版+pdf版):

      这是一份湖北省武昌实验中学2025-2026学年高一下学期数学第一次月考模拟试卷含解析(word版+pdf版),文件包含湖北武昌实验中学2025-2026学年高一下学期数学第一次月考模拟试题解析版docx、湖北武昌实验中学2025-2026学年高一下学期数学第一次月考模拟试题与解析pdf等2份试卷配套教学资源,其中试卷共20页, 欢迎下载使用。

      湖北武昌实验中学2025-2026学年高一下学期数学第一次月考模拟试卷(解析版):

      这是一份湖北武昌实验中学2025-2026学年高一下学期数学第一次月考模拟试卷(解析版),共13页。

      湖北武昌实验中学2025-2026学年高一下学期数学第一次月考模拟试卷(含答案):

      这是一份湖北武昌实验中学2025-2026学年高一下学期数学第一次月考模拟试卷(含答案),共13页。

      资料下载及使用帮助
      版权申诉
      • 1.电子资料成功下载后不支持退换,如发现资料有内容错误问题请联系客服,如若属实,我们会补偿您的损失
      • 2.压缩包下载后请先用软件解压,再使用对应软件打开;软件版本较低时请及时更新
      • 3.资料下载成功后可在60天以内免费重复下载
      版权申诉
      若您为此资料的原创作者,认为该资料内容侵犯了您的知识产权,请扫码添加我们的相关工作人员,我们尽可能的保护您的合法权益。
      入驻教习网,可获得资源免费推广曝光,还可获得多重现金奖励,申请 精品资源制作, 工作室入驻。
      版权申诉二维码
      欢迎来到教习网
      • 900万优选资源,让备课更轻松
      • 600万优选试题,支持自由组卷
      • 高质量可编辑,日均更新2000+
      • 百万教师选择,专业更值得信赖
      微信扫码注册
      手机号注册
      手机号码

      手机号格式错误

      手机验证码 获取验证码 获取验证码

      手机验证码已经成功发送,5分钟内有效

      设置密码

      6-20个字符,数字、字母或符号

      注册即视为同意教习网「注册协议」「隐私条款」
      QQ注册
      手机号注册
      微信注册

      注册成功

      返回
      顶部
      学业水平 高考一轮 高考二轮 高考真题 精选专题 初中月考 教师福利
      添加客服微信 获取1对1服务
      微信扫描添加客服
      Baidu
      map