搜索
      上传资料 赚现金

      黑龙江省哈尔滨市第三中学2026届高三上学期期末考试数学试卷含答案(word版)

      • 134.95 KB
      • 2026-01-19 18:31:30
      • 16
      • 0
      • 溯舟
      加入资料篮
      立即下载
      查看完整配套(共2份)
      包含资料(2份) 收起列表
      答案
      哈三中2026届高三上学期期末考试数学答案.docx
      预览
      试卷
      哈三中2026届高三上学期期末考试数学试题.docx
      预览
      正在预览:哈三中2026届高三上学期期末考试数学答案.docx
      哈三中2026届高三上学期期末考试数学答案第1页
      1/6
      哈三中2026届高三上学期期末考试数学答案第2页
      2/6
      哈三中2026届高三上学期期末考试数学答案第3页
      3/6
      哈三中2026届高三上学期期末考试数学试题第1页
      1/6
      哈三中2026届高三上学期期末考试数学试题第2页
      2/6
      哈三中2026届高三上学期期末考试数学试题第3页
      3/6
      还剩3页未读, 继续阅读

      黑龙江省哈尔滨市第三中学2026届高三上学期期末考试数学试卷含答案(word版)

      展开

      这是一份黑龙江省哈尔滨市第三中学2026届高三上学期期末考试数学试卷含答案(word版),文件包含哈三中2026届高三上学期期末考试数学答案docx、哈三中2026届高三上学期期末考试数学试题docx等2份试卷配套教学资源,其中试卷共12页, 欢迎下载使用。
      1-5. CBDDA 6-8.AAC
      9. BCD 10. AC 11. ACD
      二、填空题
      12. 33−410 13. x25+y24=1 14.2
      三、解答题
      15. (1) 取 PC 中点 F ,连接 BF,EF

      ∵E 为 PD 中点, F 为 PC 中点
      ∴EF//CD ,又 ∵AB//C/D,∴AB//EF
      ∴ 四边形 ABFE 为平行四边形
      ∴AE//BF ,又 ∵AE⊄ 平面 PBC,BF⊂ 平面 PBC
      ∴AE// 平面 PBC
      (2)取 AB 中点 O ,连接 OP ,过 O 作 OG⊥CD
      ∵PA=PB,∴OP⊥AB
      又 ∵ 平面 PAB⊥ 平面 ABCD ,平面 APB∩ 平面 ABCD=AB,OP⊂ 平面 PAB
      ∴OP⊥ 平面 ABCD
      以 O 为原点,分别以 OG、OB、OP 为 x 轴、 y 轴、 z 轴的正方向建立如图所示的空间直角坐标系,则 A0,−1,0,B0,1,0,D2,−3,0
      设 P0,0,hh>0 ,则 E1,−32,h2
      设平面 ABE 的法向量 m=x,y,z,AB=0,2,0,AE=1,−12,h2 AB⋅m=0AE⋅m=0,取x=h ,则 m=h,0,−2
      平面 PAB 的法向量 n=1,0,0
      cs⟨m,n⟩=hh2+4=306 ,解得 h=25
      ∴VP−ABCD=13S梯形​ABCD⋅h=45
      16. (1) 令 n=1 ,则 a1=S1=2,b1=2
      当 n≥2 时, an=Sn−Sn−1=nn+1−n−1n=2n,a1=2 也符合上式, ∴an=2n 当 n≥2 时, b1b2⋯bn−1=2n−1n2,bn=2nn+122n−1n2=2n,b1=2 也符合上式, ∴bn=2n
      (2) a1=2,a2=4,a3=6,⋯,a100=200
      −11b1=−2,−12b2=22,−13b3=−23,⋯,−1100b100=2100
      将数列 an 和数列 −1nbn 各取前 100 项,按从小到大排成一个新的数列 dn ,其中重复的数只取一次
      则 d1=−199b99=−299,d2=−197b97=−297,⋯,d50=−11b1=−2,d51=a1=2 , d52=a2=4,⋯,d100=a50=100
      ∴T100=−21+23+⋯+299+2+4+⋯+100
      =−2×1−4501−4+2+100×502=2550+231−450
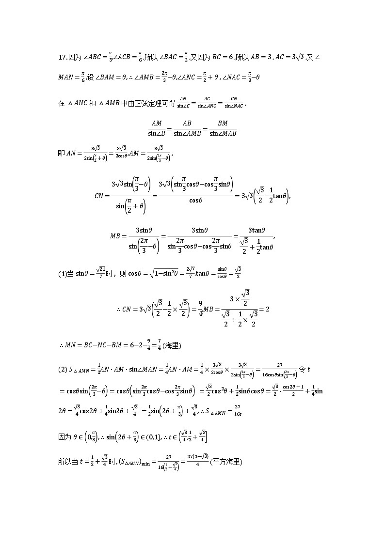
      17. 因为 ∠ABC=π3,∠ACB=π6 ,所以 ∠BAC=π2 ,又因为 BC=6 ,所以 AB=3 , AC=33 ,又 ∠MAN=π6 ,设 ∠BAM=θ,∴∠AMB=2π3−θ,∠ANC=π2+θ , ∠NAC=π3−θ
      在 △ANC 和 △AMB 中由正弦定理可得 ANsin∠C=ACsin∠ANC=CNsin∠NAC ,
      AMsin∠B=ABsin∠AMB=BMsin∠MAB
      即 AN=332sinπ2+θ=332csθ,AM=332sin2π3−θ ,
      CN=33sinπ3−θsinπ2+θ=33sinπ3csθ−csπ3sinθcsθ=3332−12tanθ,
      MB=3sinθsin2π3−θ=3sinθsin2π3csθ−cs2π3sinθ=3tanθ32+12tanθ,
      (1)当 sinθ=217 时,则 csθ=1−sin2θ=277,tanθ=sinθcsθ=32
      ∴CN=3332−12×32=94,MB=3×3232+12×32=2
      ∴MN=BC−NC−BM=6−2−94=74 (海里)
      (2) S△AMN=12AN⋅AM⋅sin∠MAN=14AN⋅AM=14×332csθ×332sin2π3−θ=2716csθsin2π3−θ 令 t=csθsin2π3−θ=csθsin2π3csθ−cs2π3sinθ =32cs2θ+12sinθcsθ=32⋅cs2θ+12+14sin2θ=34cs2θ+14sin2θ+34 =12sin2θ+π3+34,∴S△AMN=2716t
      因为 θ∈0,π3,∴sin2θ+π3∈(0,1],∴t∈34,12+34
      所以当 t=12+34 时, SΔAMNmin=271612+34=272−34 (平方海里)
      18. (1) 当 a=1 时, fx=x2−ex , f′x=2x−ex , 设切点为 x0,x02−ex0,x0 处的切线方程为 y−x02+ex0=2x0−ex0x−x0 , 将点 0,−1 代入切线方程得 −1−x02+ex0=−x02x0−ex0 , x0−1ex0−x0−1=0 ,解得 x0=0 或 1
      ∴ 曲线 y=fx 过点 0,−1 的切线为 y=−x−1 或 y=2−ex−1
      (2) (i) f′x=2x−aex ,
      ∵fx 有 2 个极值点, ∴ 方程 a=2xex 有 2 根 x1,x2
      令 gx=2xex,g′x=21−xex,gx 在 −∞,1 上单调递增,在 1,+∞ 上单调递减, 当 x4 ,即证 k>1 时, 3k+1lnkk−1>4 .
      令 hk=lnk−4k−13k+1 ,则 h′k=1k−163k+12=k−19k−1k3k+12 ,
      当 k∈1,+∞ 时, h′k>0,hk 单调递增, hk>h1=0 ,
      ∴k>1 时, lnk>4k−13k+1 ,不等式得证.
      19. ( 1 )抛物线 E:y2=2pxp>0 的准线为 x=−p2 ,圆心 C0,2 到准线的距离为 p2=1 , 可得 p=2 ,所以抛物线 E 的方程为 y2=4x .
      (2)(i)过 Anan,0 且斜率为 1kn 的直线方程为: x=kny+an
      代入 y2=4x 得 y2−4kny−4an=0 ,由韦达定理: yn+yn′=4kn,ynyn′=−4an ①,
      设直线 PnBn 的方程为 x=my+bn ,代入 y2=4x 得 y2−4my−4bn=0 ,
      则 yn⋅yn+1′=−4bn ,可得 yn+1′=−4bnyn ②,同理,由 yn′⋅yn+1=−4bn ,可得 yn+1=−4bnyn′ ③,
      则直线 Pn+1Qn+1 的斜率 kPn+1Qn+1=yn+1′−yn+1xn+1′−xn+1=yn+1′−yn+1yn+1′2−yn+124=4yn+1+yn+1′
      直线 Pn+1Qn+1 的方程为: y−yn+1=4yn+1+yn+1′x−yn+124 ,
      代入 an+1,0 化简得 an+1=−14yn+1yn+1′∗ ,将②③代入 yn+1yn+1′ ,结合①可得
      yn+1yn+1′=−4bnyn′−4bnyn=16bn2ynyn′=16bn2−4an=4bn2an ,代入 (*) 式,化简得
      an+1=−14⋅−4bn2an=bn2an,
      由于 a1=1,b1=2 ,满足 bn=2an ,则 an+1=2an2an=4an,bn+1=2an+1=8an=4bn , 所以 an 是以 1 为首项,4 为公比的等比数列, bn 是以 2 为首项,4 为公比的等比数列, an=4n−1, bn=2×4n−1.
      (ii) 由 (i) 可得 an=4n−1,bn=2×4n−1,yn+yn′=4kn,ynyn′=−4an,yn+1+yn+1′=4kn+1 yn+1=−4bnyn′,yn+1′=−4bnyn,yn+1+yn+1′=−4bn1yn+1yn′=−4bnyn+yn′ynyn′,
      代入得 4kn+1=−4bn⋅4kn−4an=4bnknan ,化简得 kn+1=2kn ,
      所以 kn 是首项为 1,公比为 2 的等比数列, kn=2n−1 .
      Sn=12⋅bn−an⋅yn−yn′ 其中 yn−yn′=yn+yn′2−4ynyn′=4kn2−4−4an=4kn2+an ,
      Sn=12⋅2⋅4n−1−4n−1⋅422n−2+4n−1=22⋅8n−1.
      722Sk−1=78k−1≤7+18k−1+1=18k−1,
      k=1n722Sk−1≤k=1n18k−1=1−18n1−18=871−18n

      相关试卷

      黑龙江省哈尔滨市第三中学2026届高三上学期期末考试数学试卷含答案(word版):

      这是一份黑龙江省哈尔滨市第三中学2026届高三上学期期末考试数学试卷含答案(word版),文件包含哈三中2026届高三上学期期末考试数学答案docx、哈三中2026届高三上学期期末考试数学试题docx等2份试卷配套教学资源,其中试卷共12页, 欢迎下载使用。

      黑龙江省哈尔滨第三中学2026届高三上学期期中考试数学试卷(含答案):

      这是一份黑龙江省哈尔滨第三中学2026届高三上学期期中考试数学试卷(含答案),共12页。

      黑龙江省哈尔滨第三中学2026届高三上学期期中考试数学试卷(PDF版附答案):

      这是一份黑龙江省哈尔滨第三中学2026届高三上学期期中考试数学试卷(PDF版附答案),文件包含数学试卷-哈三中2025-2026学年度上学期高三学年10月期中考试pdf、数学答案-哈三中2025-2026学年度上学期高三学年10月期中考试pdf等2份试卷配套教学资源,其中试卷共12页, 欢迎下载使用。

      资料下载及使用帮助
      版权申诉
      • 1.电子资料成功下载后不支持退换,如发现资料有内容错误问题请联系客服,如若属实,我们会补偿您的损失
      • 2.压缩包下载后请先用软件解压,再使用对应软件打开;软件版本较低时请及时更新
      • 3.资料下载成功后可在60天以内免费重复下载
      版权申诉
      若您为此资料的原创作者,认为该资料内容侵犯了您的知识产权,请扫码添加我们的相关工作人员,我们尽可能的保护您的合法权益。
      入驻教习网,可获得资源免费推广曝光,还可获得多重现金奖励,申请 精品资源制作, 工作室入驻。
      版权申诉二维码
      欢迎来到教习网
      • 900万优选资源,让备课更轻松
      • 600万优选试题,支持自由组卷
      • 高质量可编辑,日均更新2000+
      • 百万教师选择,专业更值得信赖
      微信扫码注册
      手机号注册
      手机号码

      手机号格式错误

      手机验证码 获取验证码 获取验证码

      手机验证码已经成功发送,5分钟内有效

      设置密码

      6-20个字符,数字、字母或符号

      注册即视为同意教习网「注册协议」「隐私条款」
      QQ注册
      手机号注册
      微信注册

      注册成功

      返回
      顶部
      学业水平 高考一轮 高考二轮 高考真题 精选专题 初中月考 教师福利
      添加客服微信 获取1对1服务
      微信扫描添加客服
      Baidu
      map