搜索
      上传资料 赚现金

      山西大学附属中学校2025-2026学年高一上学期12月(总第三次)月考数学试卷含答案(word版)

      • 540.3 KB
      • 2026-01-06 14:39:36
      • 20
      • 0
      • 溯舟
      加入资料篮
      立即下载
      查看完整配套(共2份)
      包含资料(2份) 收起列表
      试卷
      数学试题.docx
      预览
      答案
      数学答案.docx
      预览
      正在预览:数学试题.docx
      数学试题第1页
      1/5
      数学试题第2页
      2/5
      数学答案第1页
      1/6
      数学答案第2页
      2/6
      数学答案第3页
      3/6
      还剩3页未读, 继续阅读

      山西大学附属中学校2025-2026学年高一上学期12月(总第三次)月考数学试卷含答案(word版)

      展开

      这是一份山西大学附属中学校2025-2026学年高一上学期12月(总第三次)月考数学试卷含答案(word版),文件包含数学试题docx、数学答案docx等2份试卷配套教学资源,其中试卷共11页, 欢迎下载使用。
      1. C. 2. D. 3. D. 4. B 5. D. 6. D. 7. D. 8. D
      二、多选题:共3小题,每小题6分,共18分.全部选对的得6分,部分选对的得部分分,有错选的得0分.
      9. .
      10. BCD
      11. ACD.
      三、填空题:本题共3小题,每题5分,共15分.
      12. .
      13. (或)
      14. ①. 6 ②. 或
      四、解答题:本题共5小题,共77分,解答应写出文字说明、证明过程或演算步骤.
      15.(1)原式.
      (2)原式.
      (3)由可得,即,解得,故.
      16. (1)当时,可得,
      由,得,可得,解得,
      因此,当时,不等式的解集为;
      (2)因为,即,,
      当,则,可得,可得,
      而,则,解得,因此,实数的取值范围是;
      17. (1)当时,,
      对任意的,恒成立,此时,函数的定义域为,
      因为内层函数的减区间为,增区间为,
      外层函数为增函数,
      由复合函数的单调性可知,函数的减区间为,增区间为,
      故.
      (2)令,因为外层函数在定义域上为增函数,且函数在上单调递增,则内层函数在上为增函数,且,
      即,解得.
      因此,实数的取值范围是.
      (3)对于任意,存在,使得不等式成立,
      则对任意的恒成立,
      因为,
      当时,,故当时,即当时,函数取最小值,
      即,
      所以,对任意的恒成立,
      由可得,
      当时,不等式成立,
      当时,
      参变量分离得,
      因为,由基本不等式可得,
      当且仅当时等号成立,则,
      即,
      综上可知,实数的取值范围是.
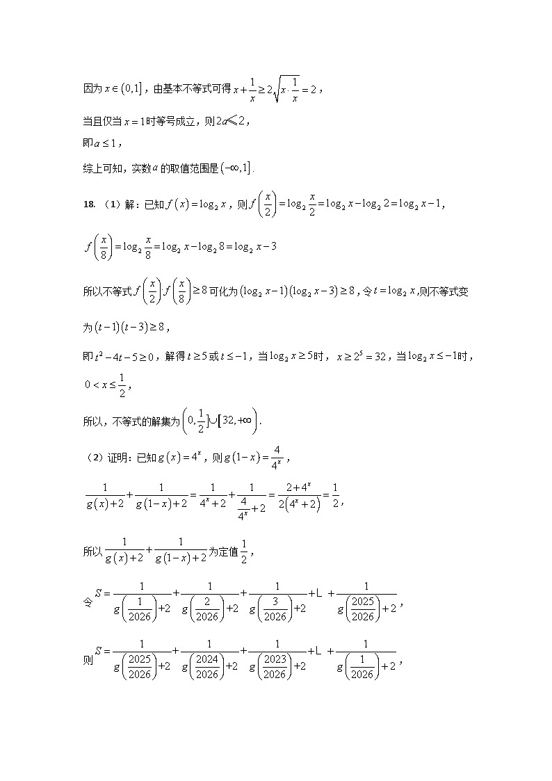
      18. (1)解:已知,则,
      所以不等式可化为,令,则不等式变为,
      即,解得或,当时,,当时,,
      所以,不等式的解集为.
      (2)证明:已知,则,,
      所以为定值,
      令,
      则,
      两式相加得,所以,
      即的值为.
      (3)解:已知满足,即,
      已知满足,即,
      令,则原方程组可化为和,
      而可化为
      设,则,
      所以,即,
      所以.
      19.
      (1)证明任取,,
      因为,则,
      则,即,
      所以在上单调递减;
      (2)因为,
      所以得,整理得,
      所以或,解得或,
      又不等式成立,所以或,
      又,所以函数在上单调递增,函数在上单调递减,
      所以或;
      (3)由于,当且仅当时,等号成立,
      则,且,则为偶函数,
      又在上单调递减,则在上单调递增,
      方程,整理得,
      因为为定义域上的单调递增函数,所以,
      设,则,恒成立,
      则方程化为,
      设,
      任取,则,
      因为,所以,
      故,即,所以在上单调递减,
      所以,且时,
      故当时,方程无解,
      所以关于的方程的解为0个;
      当时,方程有一解为,此时,
      所以关于的方程的解为1个;
      当时,方程有唯一解,且解,
      又,在上单调递减,则在上单调递增,为偶函数,
      所以时,方程有互为相反数的两根,
      所以关于的方程的解为2个;
      综上,当时,原方程无解;当时,原方程有唯一解;当时,原方程有两个解.

      相关试卷 更多

      资料下载及使用帮助
      版权申诉
      • 1.电子资料成功下载后不支持退换,如发现资料有内容错误问题请联系客服,如若属实,我们会补偿您的损失
      • 2.压缩包下载后请先用软件解压,再使用对应软件打开;软件版本较低时请及时更新
      • 3.资料下载成功后可在60天以内免费重复下载
      版权申诉
      若您为此资料的原创作者,认为该资料内容侵犯了您的知识产权,请扫码添加我们的相关工作人员,我们尽可能的保护您的合法权益。
      入驻教习网,可获得资源免费推广曝光,还可获得多重现金奖励,申请 精品资源制作, 工作室入驻。
      版权申诉二维码
      欢迎来到教习网
      • 900万优选资源,让备课更轻松
      • 600万优选试题,支持自由组卷
      • 高质量可编辑,日均更新2000+
      • 百万教师选择,专业更值得信赖
      微信扫码注册
      手机号注册
      手机号码

      手机号格式错误

      手机验证码 获取验证码 获取验证码

      手机验证码已经成功发送,5分钟内有效

      设置密码

      6-20个字符,数字、字母或符号

      注册即视为同意教习网「注册协议」「隐私条款」
      QQ注册
      手机号注册
      微信注册

      注册成功

      返回
      顶部
      学业水平 高考一轮 高考二轮 高考真题 精选专题 初中月考 教师福利
      添加客服微信 获取1对1服务
      微信扫描添加客服
      Baidu
      map