当前压缩包共包含下列3份文件,点击文件名可预览资料内容

1/10

2/10

3/10

1/10

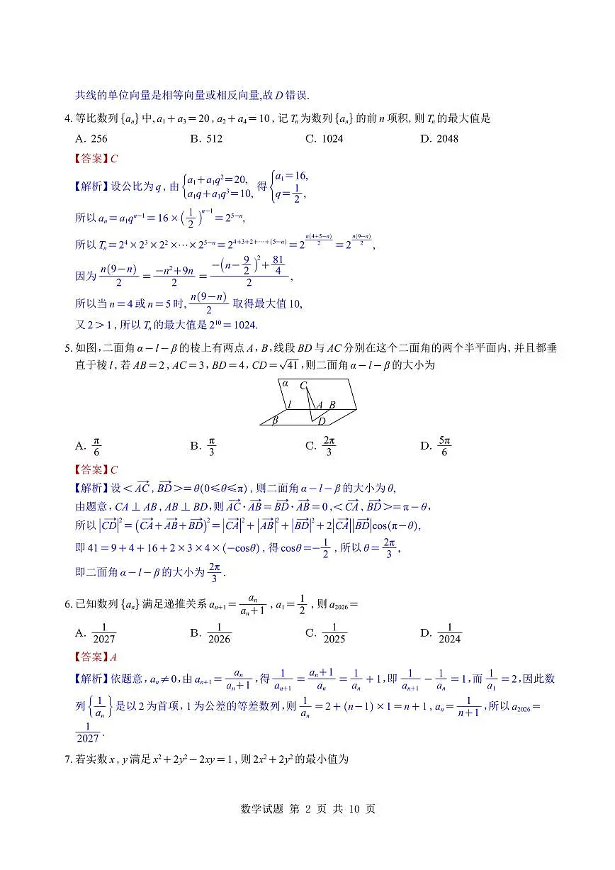
2/10

3/10

1/6

2/6

3/6
还剩7页未读, 继续阅读
湖南省长沙市雅礼中学2026届高三上学期月考(四)数学 PDF版含解析
展开 这是一份湖南省长沙市雅礼中学2026届高三上学期月考(四)数学 PDF版含解析,文件包含教师版湖南省雅礼中学2026届高三月考四数学试题与解析pdf、学生版湖南省雅礼中学2026届高三月考四数学试题与解析pdf、湖南英才大联考雅礼中学2026届高三月考试卷四数学答案pdf等3份试卷配套教学资源,其中试卷共26页, 欢迎下载使用。
相关试卷
湖南省长沙市雅礼中学2026届高三上学期月考(四)数学 PDF版含解析:
这是一份湖南省长沙市雅礼中学2026届高三上学期月考(四)数学 PDF版含解析,文件包含教师版湖南省雅礼中学2026届高三月考四数学试题与解析pdf、学生版湖南省雅礼中学2026届高三月考四数学试题与解析pdf、湖南英才大联考雅礼中学2026届高三月考试卷四数学答案pdf等3份试卷配套教学资源,其中试卷共26页, 欢迎下载使用。
湖南省长沙市雅礼中学2026届高三上学期月考(四)数学试卷(PDF版附解析):
这是一份湖南省长沙市雅礼中学2026届高三上学期月考(四)数学试卷(PDF版附解析),文件包含教师版湖南省雅礼中学2026届高三月考四数学试题与解析pdf、学生版湖南省雅礼中学2026届高三月考四数学试题与解析pdf、湖南英才大联考雅礼中学2026届高三月考试卷四数学答案pdf等3份试卷配套教学资源,其中试卷共26页, 欢迎下载使用。
2023长沙雅礼中学高三上学期月考卷(四)数学PDF版含解析:
这是一份2023长沙雅礼中学高三上学期月考卷(四)数学PDF版含解析,共13页。
相关试卷 更多
资料下载及使用帮助
版权申诉
- 1.电子资料成功下载后不支持退换,如发现资料有内容错误问题请联系客服,如若属实,我们会补偿您的损失
- 2.压缩包下载后请先用软件解压,再使用对应软件打开;软件版本较低时请及时更新
- 3.资料下载成功后可在60天以内免费重复下载
版权申诉
免费领取教师福利 







