搜索
      上传资料 赚现金

      黑龙江省哈尔滨市第六中学2025-2026学年高三上学期12月考试英语试卷

      • 101.68 KB
      • 2025-12-04 16:50:44
      • 49
      • 0
      • 教习网6560351
      加入资料篮
      立即下载
      黑龙江省哈尔滨市第六中学2025-2026学年高三上学期12月考试英语试卷第1页
      1/5
      黑龙江省哈尔滨市第六中学2025-2026学年高三上学期12月考试英语试卷第2页
      2/5
      还剩3页未读, 继续阅读

      黑龙江省哈尔滨市第六中学2025-2026学年高三上学期12月考试英语试卷

      展开

      这是一份黑龙江省哈尔滨市第六中学2025-2026学年高三上学期12月考试英语试卷,共5页。试卷主要包含了5 分,满分 7,5 分,满分 37, A等内容,欢迎下载使用。
      第一部分听力(共两节,满分 30 分)
      第一节(共 5 小题;每小题 1.5 分,满分 7.5 分)
      听下面 5 段对话。每段对话后有一个小题,从题中所给的 A、B、C 三个选项中选出最佳选项,并标在试卷的相应位置。听完每段对话后,你都有 10 秒钟的时间来回答有关小题和阅读下一小题。每段对话仅读一遍。
      Why desn’t the man g t the supermarket?
      It is far.B. It is big.C. It is expensive.
      What are the speakers talking abut?
      A schl rule.B. A music event.C. A pster design.
      Where are the speakers?
      At hme.B.At a restaurant.C.At an ffice.
      What happened t the man?
      He lst his hme key.
      He was lcked in the huse.
      He had truble entering the huse.
      Hw did the wman feel last Friday?
      Excited.B. Tired.C. Regretful.
      第二节(共 15 小题;每小题 1.5 分,满分 22.5 分)
      听下面 5 段对话或独白。每段对话或独白后有几个小题,从题中所给的 A、B、C 三个选项中选出最佳选项,并标在试卷的相应位置。听每段对话或独白前,你将有时间阅读各个小题,每小题 5秒钟; 听完后,每小题将给出 5 秒钟的作答时间。每段对话或独白读两遍。
      听第 6 段材料,回答第 6 至 7 题。
      What might attract the man at the festival?
      The energy display.B. The scientific talks.C. The interactive activities.
      What will the man d at the festival?
      Present prizes.B. Attend a cntest.C. Hld a wrkshp.
      听第 7 段材料,回答第 8 至 9 题。
      What des the wman think f the lecture?
      Attractive.B. Cnfusing.C. Ordinary.
      Why wuld the wman like t chse blue fr their website?
      It matches the cmpany’s lg.
      It is visually appealing.
      It is culturally safe.
      听第 8 段材料,回答第 10 至 12 题。
      What made the wman chse t travel by train?
      She happened t get a cheap ticket.
      She cnsidered it the mst cmfrtable.
      She wanted t experience the train jurney.
      Where did the wman stay in Paris?
      In the city center.B. Near a subway statin.C. Clse t the River Seine.
      On what did the wman spend mst f her mney?
      Fd.B. The train ticket.C. Accmmdatins.
      听第 9 段材料,回答第 13 至 16 题。
      What des the wman prbably majr in?
      Jurnalism.B. Educatin.C. Psychlgy.
      What d the wman’s classmates cnsider mst abut their research?
      Whether it is easy t d.
      Whether it can mtivate them.
      Whether it has practical value fr their career.
      Hw was the wman inspired t chse her fcus?
      By her teachers.B. By a bk.C. By her classmates.
      What is the wman’s research particularly abut?
      Teenagers’ study attitudes.
      Different teaching methds.
      Relatinships between teachers and students.
      听第 10 段材料,回答第 17 至 20 题。
      Hw lng will the exhibitin last?
      8 days.B. 9 days.C. 10 days.
      What is Sky Htel’s advantage?
      It ffers ideal sleeping cnditins.B. It serves healthy meals.C. It has sprts clubs.
      Hw des the speaker suggest signing up fr the cmpetitin?
      By emailing the cmmittee.
      By checking ut the newsletter.
      By filling ut the entrance ticket.
      Why have the artificial skiing runs been built?
      There might be a snw shrtage.
      There are mre participants.
      There will be better publicity.
      第二部分:阅读理解(共两节,满分 40 分)
      第一节 (共 15 小题;每小题 2.5 分,满分 37.5 分)
      阅读下列短文,从每题所给的四个选项中(A、B、C 和 D)中,选出最佳选项。
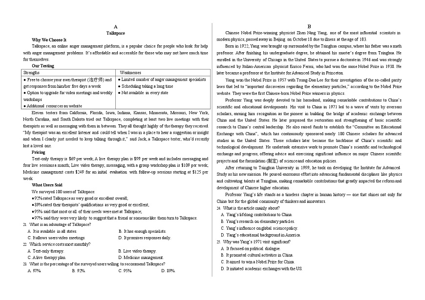
      Why We Chse It
      A
      Talkspace
      B
      Chinese Nbel Prize-winning physicist Zhen Ning Yang, ne f the mst influential scientists in mdern physics, passed away in Beijing n Octber 18 due t illness at the age f 103.
      Talkspace, an nline anger management platfrm, is a ppular chice fr peple wh lk fr help with anger management prblems. It’s affrdable and accessible fr thse wh may nt have much time fr themselves.
      Our Testing
      Eleven testers frm Califrnia, Flrida, Iwa, Indiana, Kansas, Minnesta, Missuri, New Yrk, Nrth Carlina, and Suth Dakta tried ut Talkspace, cmpleting at least tw live meetings with their therapists as well as messaging with them in between. They all thught highly f the therapy they received. “My therapist was an excellent listener and culd tell when I was in a place t hear a suggestin r insight and when I clearly just needed t keep talking thrugh it,” said Jack, a Talkspace tester, wh’d recently lst a lved ne.
      Pricing
      Text-nly therapy is $69 per week; A live therapy plan is $99 per week and includes messaging and fur live sessins a mnth; Live vide therapy, messaging, with a grup wrkshp plan is $109 per week; Medicine management csts $249 fr an initial evaluatin with fllw-up sessins starting at $125 per week.
      What Users Said
      We surveyed 100 users f Talkspace:
      92% rated Talkspace as very gd r excellent verall;
      89% rated their therapists’ qualificatins as very gd r excellent;
      95% said that mst r all f their needs were met at Talkspace;
      97% said they were very likely t suggest that a friend r smene like them turn t Talkspace.
      What is an advantage f Talkspace?
      It is available in all states.B. It has enugh specialists.
      C. It allws users vide meetings.D. It prmises respnses daily.
      Which service csts mst mnthly?
      Text-nly therapy.B. Live vide therapy.
      C. A live therapy plan.D. Medicine management.
      What is the percentage f the surveyed users willing t recmmend Talkspace?
      A. 97%.B. 92%.C. 95%.D. 89%.
      Brn in 1922, Yang was brught up surrunded by the Tsinghua campus, where his father was a math prfessr. After finishing his undergraduate degree, he btained his master’s degree frm Tsinghua. He enrlled in the University f Chicag in the United States t pursue a dctrate in 1946 and was strngly influenced by Italian-American physicist Enric Fermi, wh had wn the same Nbel Prize in 1938. He later became a prfessr at the Institute fr Advanced Study in Princetn.
      Yang wn the Nbel Prize in 1957 with Tsung-Da Lee fr their investigatin f the s-called parity laws that led t “imprtant discveries regarding the elementary particles,” accrding t the Nbel Prize website. They were the first Chinese-brn Nbel Prize winners in physics.
      Prfessr Yang was deeply devted t his hmeland, making remarkable cntributins t China’s scientific and educatinal develpments. His visit t China in 1971 led t a wave f visits by verseas schlars, earning him recgnitin as the pineer in building the bridge f academic exchange between China and the United States. He later prpsed the restratin and strengthening f basic scientific research t China’s central leadership. He als raised funds t establish the “Cmmittee n Educatinal Exchange with China”, which has cntinuusly spnsred nearly 100 Chinese schlars fr advanced studies in the United States. These schlars later became the backbne f China’s scientific and technlgical develpment. He undertk extensive wrk t prmte China’s scientific and technlgical exchange and prgress, ffering advice and exercising significant influence n majr Chinese scientific prjects and the frmulatin (制定) f science and educatin plicies.
      After returning t Tsinghua University in 1999, he tk n develping the Institute fr Advanced
      Study as his new missin. He pured enrmus effrt int advancing fundamental disciplines like physics and cultivating talents at Tsinghua, making remarkable cntributins that greatly impacted the refrm and develpment f Chinese higher educatin.
      Prfessr Yang’s life stands as a timeless chapter in human histry — ne that shines nt nly fr China but fr the glbal cmmunity f thinkers and innvatrs.
      What is the article mainly abut?
      Yang’s lifelng cntributins t China.
      Yang’s research n elementary particles.
      Yang’s influence n glbal science plicy.
      Yang’s educatinal backgrund in America.
      Why was Yang’s 1971 visit significant?
      It fcused n plitical dialgue.
      It prmted cultural activities in China.
      It aimed t win a Nbel Prize fr China.
      It initiated academic exchanges with the US.
      Strengths
      Weaknesses
      Free t chse yur wn therapist (治疗师) and get respnses frm him/her five days a week
      Optin t upgrade fr vide meetings and weekly wrkshps
      Additinal resurces n website
      Limited number f anger management specialists
      Scheduling taking a lng time
      Nt available in every state
      What did Yang d fr Chinese schlars?
      He funded their advanced studies abrad.
      He helped them win internatinal awards.
      He taught them advanced physics persnally.
      He ffered them jbs in American universities.
      Hw des the authr view Yang’s cntributin?
      It is primarily fr Chinese scientists.
      It belngs t the whle wrld.
      It lies in his Nbel Prize achievement.
      It is mainly abut educatinal refrm.
      C
      Picture this, yu win tw tickets t a sld-ut cncert and eagerly text t ask yur friends if they’d like t jin. There cmes their respnse “Maybe.” Yur md immediately turns, fr yu need t wait fr their decisins befre yu can figure ut yur plans fr the cncert.
      If yu’ve experienced anything like the abve anecdte, yu’re nt alne. Peple respnding “maybe” t invitatins is a cmmn yet annying aspect f scial life. What ges n in peple’s heads when they aren’t sure whether t accept an invitatin? Scial invitatins can be a delicate dance. Peple ften misread what smene extending an invitatin wants t hear and verestimate an inviter’s likelihd f preferring a “maybe” ver a “n.” Mrever, they fail t realize hw much mre disrespected peple feel when they receive a “maybe” in respnse t their invitatin.
      Naturally, we wanted t figure ut why this awkward dynamic plays ut. We fund that it’s largely due t smething called “mtivated reasning.” Mtivated reasning ccurs when a persn interprets infrmatin in a biased ( 有偏差的) way t suit their wn wishes. In ther wrds, invitees cnvince themselves that inviters want t hear “maybe” instead f “n” because a “maybe” is better fr the invitees, allwing them t leave their ptins pen. Besides, peple tend t verestimate the negative cnsequences f saying “n” t invitatins, thinking it will upset, anger and disappint inviters.
      Hwever, there were certain situatins that made peple mre cmfrtable saying “n” t an invitatin. When recipients f an invitatin put themselves in the shes f the persn extending the invitatin, they are mre likely t realize that they’d prbably prefer a definite answer. When the participants get invited t d smething they didn’t want t d, they had n desire t keep their ptins pen. The mtivated reasning then became irrelevant.
      While navigating scial situatins can be tricky, being direct and definite is smetimes best. It might reduce yur ptins. But it’ll keep thse wh invite yu frm being left uncertain and maybe they’ll still think f yu when the next cncert cmes t twn.
      Why is the cncert anecdte mentined at the beginning?
      T intrduce a cmmn scial situatin.
      T stress the imprtance f quick replies.
      T encurage immediate decisin- making.
      T explain the backgrund f the invitatin.
      What is the main reasn fr the respnse f “maybe” t an invitatin?
      An underestimatin f refusal cnsequence.
      A desire fr harmnius cmmunicatin.
      A biased interpretatin f scial cues.
      An understanding f the inviter’s expectatin.
      What is the authr’s suggestin in the last paragraph?
      Priritizing clear respnse ver pen ptins.
      Accepting invitatins t maintain friendships.
      Keeping yur ptins pen fr better plans.
      Thinking twice befre refusing an invitatin.
      What is the best title fr the passage?
      “Maybe”: A Perfect Slutin t Invitatins
      The Hidden Cnsequence f “Maybe”
      “Maybe”: A Plite Escape frm Cnflict
      The Psychlgy behind “Maybe”
      D
      In recent years, Alchemist, a tp restaurant in Cpenhagen, Denmark, used ants in sme dishes.
      Once, Alchemist’s team members left milk with an ant in the fridge unintentinally, and nticed it sn thickened. Frm there, Alchemist, which aims t “transfrm and g beynd the nature f fd and dining”, recreated a nearly-frgtten ancient Turkish and Bulgarian recipe fr making ygurt frm the six-legged creatures. Their experiments’ success caught the attentin f experts like anthrplgists and micrbilgists, wh sught t understand what it is abut ants that culd ferment (发酵) ygurt. Their research was published in iScience.
      The fermentatin f milk int prducts such as ygurt and cheese dates back arund 9,000 years t Anatlia, in mdern-day Türkiye. Fr thusands f years, ygurt recipes varied greatly by cultures and regins, with different grups intrducing different tiny living things int milk t start fermentatin, by adding materials such as pinecnes, chammile and nettle rts. That started t change in the 1900s, when ygurt was industrialized and makers fcused n just a few bacterial species (菌株).
      T learn mre, the team visited a Bulgarian expert wh shared a traditin: putting red wd ants int
      milk t make ygurt. The team embarked n the methd — they put fur ants in warm milk and left it in an ant nest vernight. The next day, the milk was thick and sur. Back in the lab, the team fund ants release certain substances that turn milk int ygurt. Alchemist then created three ant-based fds: an ice cream sandwich, a creamy cheese, and a ccktail.
      But enthusiasts shuldn’t try the Alchemist recipe at hme. The researchers say that ant-based fermentatin is best left t the prfessinals, because it can intrduce a number f fd safety cncerns. Fr example, live ants may cntain small harmful creatures that live a lng time. We shuld als knw the fact that Eurpean red wd ants are cnsidered t be a near-threatened species due t recent ppulatin declines. Still, this study n ld ygurt-making ways might help create mre unique, tasty fds in the future.
      What made Alchemist begin its experiments n the ant-based ygurt?
      The advice frm fd experts.B. An ancient Turkish recipe.
      C. Its management philsphy.D. Its accidental discvery.
      What d we knw abut the traditinal ygurt befre the 1900s?
      It relied n industrial prcesses.B. It featured diverse types f additives.
      C. It was ppular in mst cuntries.D. It culd be mass-prduced.
      What des the underlined phrase “embarked n” in paragraph 4 mean?
      A. Evaluated.B. Changed.C. Adpted.D. Oppsed.
      What des the authr prbably think f using red wd ants t make ygurt?
      A. It’s unsustainable.B. It’s cst-effective.C. It’s time-cnsuming.D. It’s unprfitable.
      第二节 (共 5 小题;每小题 2.5 分,满分 12.5 分)
      阅读下面短文,从短文后的选项中选出可以填入空白处的最佳选项。选项中有两项为多余选项。
      The ways t turn ne day ff int a 24-hur vacatin
      Fr peple with inflexible schedules r limited time ff frm wrk, flying fr a day trip can be an attainable way t experience a place withut cmmitting t a lnger vacatin. Kevin Drniak says he is “addicted” t 24-hur travel.
      Drniak, a cntent creatr, has dcumented ver a dzen trips riginating frm New Yrk n TikTk. 36 Typically, it invlves an early-mrning flight, a perid f explring a city r a specific attractin, then a departure in the evening r the fllwing mrning. “I want t shwcase that travel can have an incredible impact even if time isn’t n yur side,” said Drniak, 28. Fast-paced travel and 24-hur jurneys appear earlier than scial media and viral fads (时尚). Hwever, this hardcre style f travel dips int ur mdern desire fr quick, impactful experiences that are easily dcumented and shared. 37
      Drniak says the key t jet-setting day trips is nt t ver-plan. 38 On a trip t Puert Ric, fr instance, his bjective was simply t g t the beach. In Cair (yes, Drniak spent ne day there frm New Yrk), his nly gal was t see the pyramids. 39 Mst peple might cnsider a rute like this extremely exhausting, but Drniak insists that he embraced and enjyed the sweaty adventure.
      “I knw it’s nt fr everyne, but, fr me, I lve just sitting n a plane, s flying is part f the fun. It’s als helpful that I can sleep upright,” he said. The idea f flying anywhere fr a day trip is unbelievable, but Drniak cnsiders the mst wrthwhile experiences are nes that fully get yu ut f the huse. “ 40 Because it makes it pssible t experience a childlike sense f wnder again,” he said.
      Yu shuldn’t ver-plan yur trip.
      Even a shrt trip is better than staying hme.
      It’s travel’s versin f instant satisfactin.
      That means having nly ne “mtive” fr each place.
      And in Paris, his purpse was t visit the Eiffel Twer.
      Of these trips, he usually sticks t a “24-hur whirlwind check-ff” frmat.
      24-hur travel is nt a new idea and has been ppular since it appeared.
      第三部分:英语知识运用(共两节,满分 30 分)
      第一节:完形填空(共 15 小题;每小题 1 分,满分 15 分)
      阅读下面短文,从每题所给的 A、B、C、D 四个选项中选出可以填入空白处的最佳选项。
      My first guitar lessn ended in pain, cnfusin and defeat. But then I was cmpletely 41 . At 10, I felt a deep cnnectin t this mysterius instrument. Since then, guitars have been my life. Thrugh aching fingers, guitars 42 my deep emtins. With practice, the pain 43 and I grew clser t the instrument. The calluses (老茧) n my fingertips became badges (勋章) f hnr, filling me with pride. The feelings f playing became secnd nature, prviding temprary excellence. I culdn’t remember hw many times I had been 44 t anther reality. Picking up a guitar always returns me t that inncent 10-year-ld, leaving me calmer and 45 .
      The jy is 46 when I witness its impact n thers. In my late teens, ur band perfrmed at hspitals and senirs’ hmes. The smiles f the audience still remain with me. Guitars als 47 cultural divides. When I traveled, the 48 rhythms with fellw musicians awakened beautiful cnversatins.
      The guitar has 49 many defining mments in my life—perfrming fr my wife, accmpanying my children and cmfrting me in 50 . It centers and calms me. Many years ag, I thught I was picking up a guitar fr the first and nly time. 51 , it became my lifelng passin. I
      41. A. cnfused
      B. exhausted
      C. absrbed
      D. ccupied
      42. A. tapped int
      B. turned arund
      C. ran int
      D. lked arund
      43. A. emerged
      B. faded
      C. integrated
      D. increased
      44. A. admitted
      B. pushed
      C. expsed
      D. transprted
      45. A. cautius
      B. painful
      C. refreshed
      D. sle
      46. A. enhanced
      B. upgraded
      C. released
      D. vercme
      47. A. built
      B. melted
      C. recunted
      D. bridged
      48. A. cmplex
      B. shared
      C. lcal
      D. similar
      49. A. predicted
      B. remembered
      C. valued
      D. marked
      50. A. hardship
      B. silence
      C. prgress
      D. business
      51. A. Hwever
      B. Therefre
      C. Mrever
      D. Eventually
      52. A. pass
      B. distribute
      C. deliver
      D. credit
      53. A. sympathy
      B. enthusiasm
      C. tensin
      D. tne
      54. A. presents
      B. links
      C. intrduces
      D. changes
      55. A. achievement
      B. identity
      C. belnging
      D. cmmunity
      52 it t my parents, whse encuragement and belief in my ptential paved the way fr a lifelng 53 . Fr anyne frtunate enugh, there’s an “instrument” waiting t be fund — smething that 54 them t themselves and thers. It might nt be a guitar, it culd be a paintbrush r a sprt. What matters is the sense f 55 it brings.
      第二节 语法填空(共 10 小题;每小题 1.5 分,满分 15 分)
      阅读下面材料,在空白处填入适当的内容(只填 1 个单词)或括号内单词的正确形式。
      On Nvember 14, the Shenzhu-20 taiknaut crew — Chen Dng, Chen Zhngrui and Wang Jie — successfully landed at the Dngfeng Landing Site abard the Shenzhu-21 spaceship, 56 (mark) a safe end t their 204-day rbital missin. Their return, 57(riginal) scheduled fr Nvember 5, fllwded 58unexpected delay due t a minr crack in Shenzhu-20’s prthle (舷窗) caused by space debris (片) impact.
      This unprecedented ( 史无前例的) emergency triggered China's well-designed “ne main and ne
      backup” space rescue plan. Instead f risking a return n the 59 (damage) spacecraft, the crew transferred t Shenzhu-21. This marks the first time in China’s manned space histry that anther peratinal spaceship 60 (carry) a different taiknaut crew back t Earth. While waiting fr the rescheduled return, the tri cntinued scientific experiments with the Shenzhu-21 crew, adding valuable data 61 their research.
      During their recrd-breaking rbital stay, the Shenzhu-20 team cmpleted fur extravehicular (舱外的) activities, seven carg transfer tasks, 62 a series f cutting-edge experiments in space life sciences and materials science.
      The smth emergency return fully demnstrated the 63 (reliable) f China’s manned space engineering system. As the taiknauts 64 (cnfirm) in gd health after landing, this missin prved that China’s space prgram has successfully passed the test, 65 delivers an excellent answer t the natin’s expectatins.
      第四部分:写作(共两节;满分 40 分)
      第一节:(满分 15 分)
      你校英文报就“是否应开设生活技能课程”发起讨论, 请你以“Are Life Skills Classes Necessary?”
      为题,写一篇短文投稿,内容包括:
      (1)你的看法; (2)说明理由。注意:
      (1)写作词数应为 80 左右;
      (2)请按如下格式在答题纸的相应位置作答。
      Are Life Skills Classes Necessary?
      第二节:(满分 25 分)
      阅读下面材料,根据其内容和所给段落开头语续写两段,使之构成一篇完整的短文。
      Bear was nt a bear. She was a big dg n the Perkinses’ family farm, a wlly creature with flppy ears and paws like bedrm slippers. She prtected the ducks and chickens frm being eaten by fxes and raccns (浣熊) .
      She guarded the children as well, watching ver them as clsely as she did the chickens and ducks. In winter the dg ran alngside the children as they sledded dwn snwy hills. In summer she swam with them in a nearby river.
      Bear belnged t a breed ( 品种) that had lng been used by Atlantic fishermen t help with their wrk, and it had a keen instinct ( 本能) fr water rescue. When the children were in the river, the dg wuld swim in circles arund them, barking when she felt they went ut t far. She was the perfect farm dg — cmpanin, guardian, prtectr.
      The dg’s favrite amng the three children was three-year-ld little Mike. They ften curled up tgether. Smetimes Bear wuld dze ( 打盹儿) while Mike pretended t read t her. Often bth were sund asleep, a tangle f dark fur, blnd hair, small hands and huge paws. At bedtime, Mike saved his last hug fr Bear, his “best friend”.
      On a cld winter day, when their parents went ut t send a parcel, eight-year-ld Martha, seven-year-ld Sara and Mike, went t slide n the frzen pnd f their farm. Shuting happily, they slid back and frth, their bts gliding ( 滑行) easily acrss the ice. They laughed as they watched Bear’s attempts t stp suddenly, which wuld instead send her skidding(打滑)beynd them. Then, tired, the three sat dwn n the ice, with Bear beside them. Suddenly the ice gave way under their cmbined weight. As Bear jumped fr shre, the three children fell int the freezing cld water. Screaming, Martha and Sarah struggled t find fting n rcks underwater. Branches frm a tree nearby prvided handhlds, and
      using every bit f their strength, the tw girls pulled themselves t shre.
      注意:
      续写词数应为 150 个左右;
      请按如下格式在答题纸的相应位置作答。
      Lking back, they saw little Mike hlding n t a brken chunk (大块) f ice, unable t crawl nt it.
      Seeing that, Bear let ut a series f wfs and jumped int the water, heading straight fr Mike.

      英语朗读宝

      相关试卷 更多

      资料下载及使用帮助
      版权申诉
      • 1.电子资料成功下载后不支持退换,如发现资料有内容错误问题请联系客服,如若属实,我们会补偿您的损失
      • 2.压缩包下载后请先用软件解压,再使用对应软件打开;软件版本较低时请及时更新
      • 3.资料下载成功后可在60天以内免费重复下载
      版权申诉
      若您为此资料的原创作者,认为该资料内容侵犯了您的知识产权,请扫码添加我们的相关工作人员,我们尽可能的保护您的合法权益。
      入驻教习网,可获得资源免费推广曝光,还可获得多重现金奖励,申请 精品资源制作, 工作室入驻。
      版权申诉二维码
      欢迎来到教习网
      • 900万优选资源,让备课更轻松
      • 600万优选试题,支持自由组卷
      • 高质量可编辑,日均更新2000+
      • 百万教师选择,专业更值得信赖
      微信扫码注册
      手机号注册
      手机号码

      手机号格式错误

      手机验证码 获取验证码 获取验证码

      手机验证码已经成功发送,5分钟内有效

      设置密码

      6-20个字符,数字、字母或符号

      注册即视为同意教习网「注册协议」「隐私条款」
      QQ注册
      手机号注册
      微信注册

      注册成功

      返回
      顶部
      学业水平 高考一轮 高考二轮 高考真题 精选专题 初中月考 教师福利
      添加客服微信 获取1对1服务
      微信扫描添加客服
      Baidu
      map