若您为此资料的原创作者,认为该资料内容侵犯了您的知识产权,请扫码添加我们的相关工作人员,我们尽可能的保护您的合法权益。

1/6

2/6

3/6
还剩3页未读, 继续阅读
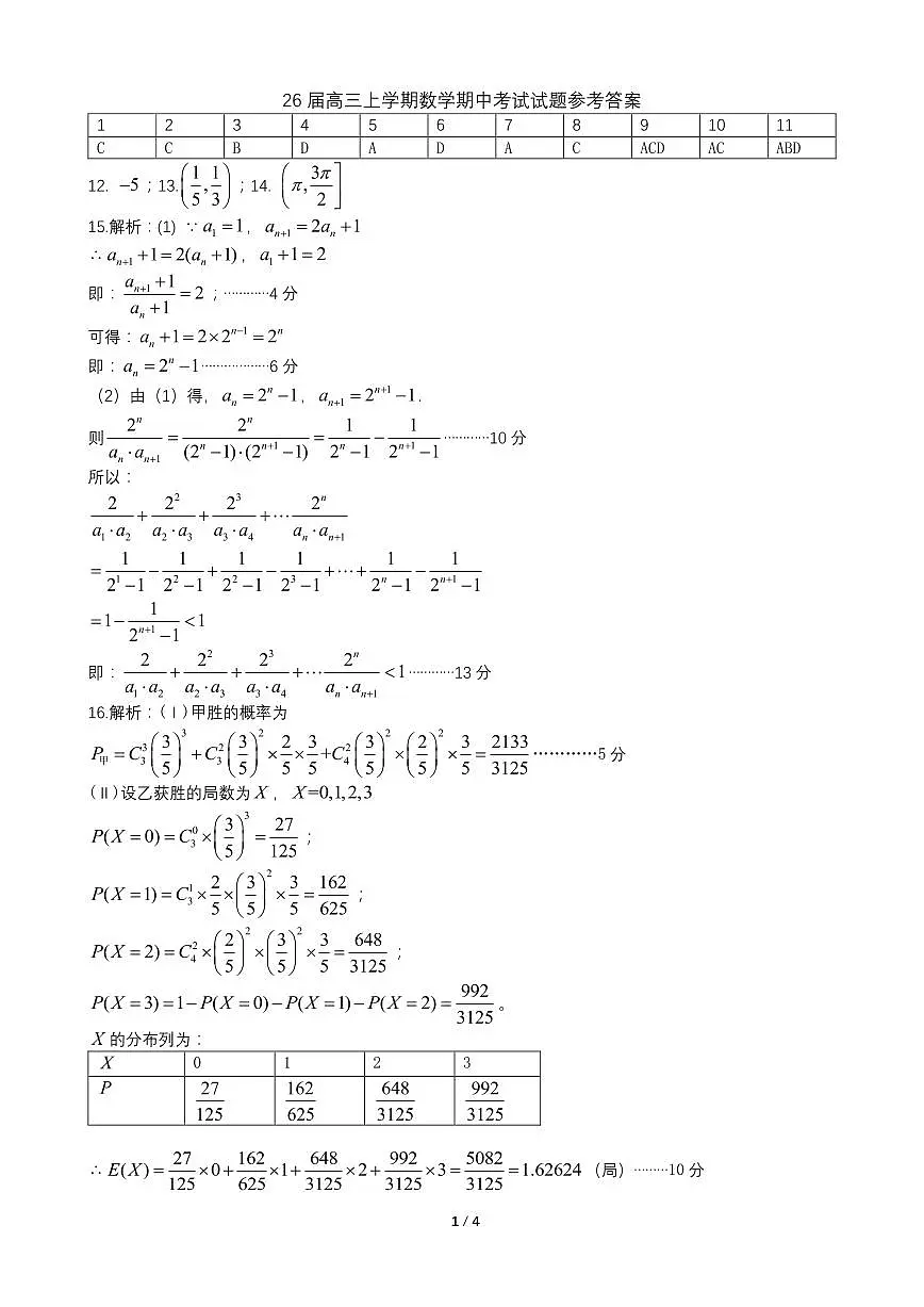
辽宁省实验中学2026届高三上学期期中考试数学试卷(含答案)
展开 这是一份辽宁省实验中学2026届高三上学期期中考试数学试卷(含答案),共6页。
相关试卷
辽宁省实验中学2026届高三上学期期中考试数学试卷(含答案):
这是一份辽宁省实验中学2026届高三上学期期中考试数学试卷(含答案),共6页。
辽宁省实验中学2026届高三上学期期中阶段测试 数学试卷(含答案):
这是一份辽宁省实验中学2026届高三上学期期中阶段测试 数学试卷(含答案),共16页。试卷主要包含了单选题,多选题,填空题,解答题等内容,欢迎下载使用。
辽宁省实验中学2026届高三上学期期中考试数学试卷(PDF版附答案):
这是一份辽宁省实验中学2026届高三上学期期中考试数学试卷(PDF版附答案),文件包含数学试卷-辽宁省实验中学2026届高三上学期期中考试pdf、数学答案-辽宁省实验中学2026届高三上学期期中考试pdf等2份试卷配套教学资源,其中试卷共6页, 欢迎下载使用。
相关试卷 更多
资料下载及使用帮助
版权申诉
- 1.电子资料成功下载后不支持退换,如发现资料有内容错误问题请联系客服,如若属实,我们会补偿您的损失
- 2.压缩包下载后请先用软件解压,再使用对应软件打开;软件版本较低时请及时更新
- 3.资料下载成功后可在60天以内免费重复下载
版权申诉
免费领取教师福利 




.png)




