




四川省自贡市荣县中学2026届高三上学期10月月考数学试卷(Word版附解析)
展开 这是一份四川省自贡市荣县中学2026届高三上学期10月月考数学试卷(Word版附解析),文件包含四川省自贡市荣县荣县中学2026届高三上学期10月月考数学试题原卷版docx、四川省自贡市荣县荣县中学2026届高三上学期10月月考数学试题Word版含解析docx等2份试卷配套教学资源,其中试卷共20页, 欢迎下载使用。
一、单选题
1. 已知命题 ,则 为( )
A , B. ,
C. , D. ,
2. 复数 ,其中 i 为虚数单位,则 ( )
A. B. 2 C. D. 5
3. 曲线 在点 处的切线的斜率为( )
A. 5 B. 6 C. 7 D. 8
4. 已知数列 是首项为 5,公差为 2 的等差数列,则 ( )
A. B. C. D.
5. 某校文艺部有 4 名学生,其中高一、高二年级各 2 名.从这 4 名学生中随机选 2 名组织校文艺汇演,则
这 2 名学生来自不同年级的概率为( )
A. B. C. D.
6. 已知向量 满足 ,且 ,则 ( )
A. B. C. D. 1
7. 若函数 单调递增,则实数 的取值范围为( )
A B. C. D.
8. 已知 为等腰直角三角形,AB 为斜边, 为等边三角形,若二面角 为 ,则
直线 CD 与平面 ABC 所成角的正切值为( )
A. B. C. D.
第 1页/共 4页
二、多选题
9. 若 .且 ,则下列不等式恒成立的是( )
A. B.
C. D.
10. 随机变量 X,Y 分别服从正态分布和二项分布,即 , ,则( )
A. B. C. D.
11. 若 ,则下列正确的是( )
A. B.
C. D.
三、填空题
12. 已知向量 , ,若 ,则 ________,若 ,则 ________.
13. 函数 在 上的最大值是______.
14. 对于任意两个正实数 a,b,定义 ,其中常数 .若 ,且 与
都是集合 的元素,则 __________.
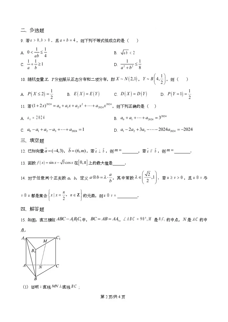
四、解答题
15. 如图,直三棱柱 中, , 是 的中点, 是 的中
点.
(1)证明:直线 直线 ;
第 2页/共 4页
(2)求直线 与平面 所成的角的大小.
16. 2021 年,中国新能源汽车销售火爆,A 省相关部门调查了该省 2021 年 1 月份至 10 月份的新能源汽车销
量情况,得到一组样本数据( , )(i=1,2,…,10),其中 表示第 i 个月, 表示第 i 个月 A 省新
能源汽车的销量(单位:万辆),由样本数据的散点图可知,y 与 x 具有线性相关关系,并将这 10 个月的数
据作了初步处理,得到下面一些统计量的值:
1.5 89.1 385 15
(1)建立 y 关于 x 线性回归方程,并估计 A 省 12 月份新能源汽车的销量;
(2)为鼓励新能源汽车销售商积极参与调查,A 省汽车行业协会针对新能源汽车销售商开展抽奖活动,所
有费用由某新能源汽车厂商赞助.奖项共设一、二、三等奖三个奖项,其中一等奖、二等奖、三等奖分别
奖励 2 万元、1 万元、5 千元,抽中一等奖、二等奖、三等奖的概率分别为 , , .现有甲、乙两家汽
车销售商参加了抽奖活动,假设他们是否中奖相互独立,求这两家汽车销售商所获奖金总额 X(单位:万元)
的分布列及数学期望.
附:对于一组数据( , ),( , ),…,( , ),其回归直线 斜率和截距的最小二
乘估计分别为 .
17. 在△ 中,内角 所对的边分别是 ,已知 , , .
(1)求 值;
(2)求△ 的面积.
18. 已知二阶行列式 ,三阶行列式 ,其中 分
别为 的余子式(某个数的余子式是指删去那个数所在的行和列后剩下的行列式).
第 3页/共 4页
(1)计算 .
(2)设函数 .
①若 的极值点恰为等差数列 的前两项,且 的公差大于 0,求 ;
②若 且 ,函数 ,证明: .
19. 已知函数 ,其中 为自然对数的底, .
(1)求证: ;
(2)是否存在实数 ,使得 恒成立?若存在,求 的取值集合,若不存在请说明理由.
第 4页/共 4页
相关试卷 更多
- 1.电子资料成功下载后不支持退换,如发现资料有内容错误问题请联系客服,如若属实,我们会补偿您的损失
- 2.压缩包下载后请先用软件解压,再使用对应软件打开;软件版本较低时请及时更新
- 3.资料下载成功后可在60天以内免费重复下载
免费领取教师福利 
.png)




