搜索
      上传资料 赚现金

      安徽省“耀正优”2025-2026学年高三上学期10月阶段检测数学试卷(Word版附解析)

      • 894.37 KB
      • 2025-11-02 20:10:31
      • 39
      • 0
      • 教习网3275309
      加入资料篮
      立即下载
      安徽省“耀正优”2025-2026学年高三上学期10月阶段检测数学试卷(Word版附解析)第1页
      高清全屏预览
      1/14
      安徽省“耀正优”2025-2026学年高三上学期10月阶段检测数学试卷(Word版附解析)第2页
      高清全屏预览
      2/14
      安徽省“耀正优”2025-2026学年高三上学期10月阶段检测数学试卷(Word版附解析)第3页
      高清全屏预览
      3/14
      还剩11页未读, 继续阅读

      安徽省“耀正优”2025-2026学年高三上学期10月阶段检测数学试卷(Word版附解析)

      展开

      这是一份安徽省“耀正优”2025-2026学年高三上学期10月阶段检测数学试卷(Word版附解析),共14页。试卷主要包含了试卷分值, 若为奇函数,则的最小值为, 已知,则, 已知函数,若,则等内容,欢迎下载使用。
      考生注意:
      1.试卷分值:150分,考试时间:120分钟.
      2.考生作答时,请将答案答在答题卡上.选择题每小题选出答案后,用2B铅笔把答题卡上对应题目的答案标号涂黑;非选择题请用直径0.5毫米黑色墨水签字笔在答题卡上各题的答案区域内作答,超出答题区域书写的答案无效,在试题卷、草稿纸上作答无效.
      3.所有答案均要答在答题卡上,否则无效.考试结束后只交答题卡.
      一、单选题(本大题共8小题,每小题5分,共40分)
      1. ,,则( )
      A. B. C. D.
      【答案】D
      【详解】由,解得,由,解得,
      所以.
      故选:D.
      2. 已知函数,则函数的定义域为( )
      A. B. C. D.
      【答案】D
      【详解】因为,所以,且,解得,
      所以函数的定义域为,
      所以函数需满足,解得.
      故选:D.
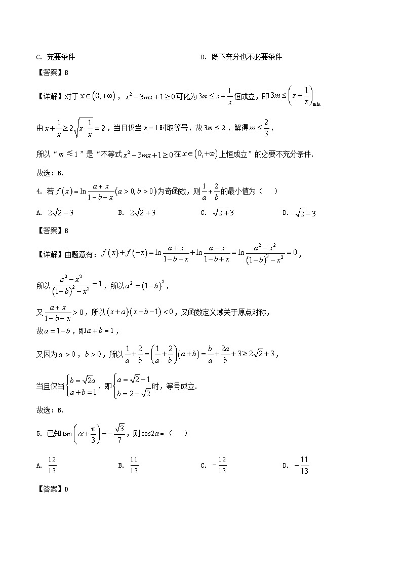
      3. “”是“不等式在上恒成立”的( )
      A. 充分不必要条件B. 必要不充分条件
      C. 充要条件D. 既不充分也不必要条件
      【答案】B
      【详解】对于,可化为恒成立,即
      由,当且仅当时取等号,故,解得,
      所以“”是“不等式在上恒成立”的必要不充分条件.
      故选:B.
      4. 若为奇函数,则的最小值为( )
      A. B. C. D.
      【答案】B
      【详解】由题意有:,
      所以,所以,
      又,所以,又函数定义域关于原点对称,
      故,即,
      又因为,,所以,
      当且仅当,即时,等号成立.
      故选:B.
      5. 已知,则( )
      A. B. C. D.
      【答案】D
      【详解】由,得,解得,
      所以.
      故选:D.
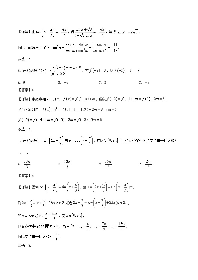
      6. 已知函数,若,则( )
      A. 6B. C. 2D.
      【答案】A
      【详解】由题意知时,,所以,
      又当时,,,所以,
      故选:A.
      7. 已知函数与,在区间上,这两个函数图象交点横坐标之和为( )
      A. B. C. D.
      【答案】B
      【详解】因为,当时,
      则或者,
      即或,又,
      则交点横坐标分别是,,,,,
      所以交点横坐标之和为.
      故选:B.
      8. 已知在上满足,且方程只有一个根,则实数的取值范围为( )
      A. B. C. D.
      【答案】D
      【详解】由可知,在上是减函数,
      当时,是一次函数,
      因为在上单调递减,
      所以,即,
      当时,,所以,
      因为在时单调递减,所以在时恒成立,
      即,变形为,
      由于时,所以,即,
      还要保证在分段点处,左侧的函数值不小于右侧的函数值,
      即,化简得,即,
      所以,
      分析方程的根的个数,
      当时,方程为,化简得,若,则方程对任意都成立,有无穷多个根,不合题意,故,此时方程在上无解,因此,方程的唯一根必在上取得,此时,,
      当时,,
      令,
      要求只有一个根,,
      令,,(舍),
      ∵,∴,若,则,
      此时,在上单调递减,由,
      所以在上仅有一个零点,此时只有一个根,
      若,则,此时,时,,在单调递增,
      时,,在上单调递减,又,,而时,,
      ∴,使,∴在上存在两个零点,不符合题意,
      综上所述.
      故选:D.
      二、多选题(本大题共3小题,每小题6分,共18分.在每小题给出的选项中,有多项符合题目要求.全部选对得6分,部分选对得部分分,有选错的得0分)
      9. 已知角的始边为轴的非负半轴,终边过点,则( )
      A. B. C. D.
      【答案】ABD
      【详解】因为角的终边过点,所以.

      ,故A和B正确;
      因为,所以,
      即角的终边位于第一象限或第三象限,由,
      所以,又由,所以,故C错误;
      对于D,,∴,或(舍),故D正确.
      故选:ABD.
      10. 已知函数,,有两个零点,,则下列结论正确的是( )
      A. 当时,B. 若,则
      C. 若,则D. 若,则
      【答案】ABC
      【详解】对于A,设,,作单位圆如图1,与轴交于,则,过点作垂直于轴,交射线于点,连接,由三角函数的定义可知,,,设扇形的面积为,则,即,故,

      当时,有不等式,故A正确;
      对于B,画出,与的函数图象,如图2,
      由图可以看出,,故,,所以,故B正确;

      对于C,的最小正周期为,由图象可知,所以,故C正确;
      对于D,由,,得,,所以,故D错误.
      故选:ABC.
      11. 已知可导函数的定义域为,且为偶函数,为奇函数,记的导函数为,则下列函数一定为偶函数的是( )
      A. B. C. D.
      【答案】ABD
      【详解】∵为偶函数,∴,∴关于对称,
      又∵为奇函数,∴,
      即,∴关于点对称,
      由得,
      又,
      所以,
      所以,即,
      所以,∴的周期,
      由,又,
      ∴,即,
      ∴为偶函数,为偶函数,∴为偶函数,∴AB均正确;
      由,两边同时求导得,,
      即,,∴为偶函数,∴D正确;
      对于C项,取,满足关于点对称,
      关于直线对称,但不为偶函数,C错误,
      故选:ABD.
      三、填空题(本大题共3小题,每小题5分,共15分)
      12. 下列函数求导正确的有______.
      ① ②
      ③ ④
      【答案】②③
      【详解】,①不正确.,②正确.
      ,③正确.,④不正确.
      故答案为:②③.
      13. 已知函数且在区间上单调递减,则实数的取值范围是__________.
      【答案】
      【详解】因为且,则内层函数在上为减函数,
      由于函数且在区间上单调递减,
      则外层函数是增函数,则,
      且对任意的,恒成立,即,解得,
      综上所述,实数的取值范围是.
      故答案为:.
      14. 设,则的最大值是______.
      【答案】##
      【详解】不妨设,则,

      ∴,
      当且仅当,,,即,,时,等号成立,
      所以的最大值是.
      故答案为:.
      四、解答题(本大题共5小题,共77分.解答应写出必要的文字说明、证明过程或演算步骤)
      15. 已知是方程的根.
      (1)求的值;
      (2)若是第三象限角,,,求的值.
      【答案】(1)
      (2)
      【小问1详解】
      由,解得或,
      因为是方程的根,所以,(舍),
      所以;
      小问2详解】
      因为是第三象限角且,所以,
      ∵,∴,∵,∴,∴,
      .
      16. 已知定义在上的函数满足:.,.
      (1)证明:函数在上单调递增;
      (2)证明:曲线是中心对称图形,并求其对称中心.
      【答案】(1)证明见解析
      (2)证明见解析,对称中心为.
      【小问1详解】
      证明:,,
      令,则,,,
      ∵,∴,,∴单调递增;
      【小问2详解】
      (2)令,则,
      令,则,,
      令,则有,
      ∴为奇函数,图象关于对称,
      ∵,∴曲线是中心对称图形,对称中心为.
      17. 已知函数.
      (1)若函数在区间上单调递增,求实数的取值范围;
      (2)当时,求证:对恒成立.
      【答案】(1)
      (2)证明见解析
      【小问1详解】
      由题知,
      设,
      令,则,所以在上单调递增,
      所以,故,所以在上单调递增,
      所以;
      【小问2详解】
      设,
      所以函数在区间单调递减,

      所以,
      设,




      当,,,,
      所以区间上单调递减,在区间上单调递增,
      在上为增函数,
      在上为增函数,
      ,所以命题得证.
      18. 已知函数.
      (1)求函数的最小正周期及的单调递减区间﹔
      (2)将的图象先向左平移个单位长度,再将其横坐标缩小为原来的,纵坐标不变得到函数,若,,求的值.
      【答案】(1)最小正周期为,单调递减区间是;(2).
      【详解】.
      (1)的最小正周期为,
      由,,解得,,
      所以函数的单调递减区间是.
      (2)将的图象先向左平移个单位长度,得到函数,再将其横坐标缩小为原来的,
      纵坐标不变得到函数,
      据题意有,且,则,

      .
      19. 设函数().
      (1)讨论的单调性;
      (2)若且函数有两个不同的零点,,且,
      ①求实数的取值范围;
      ②试比较与的大小关系,并说明理由.
      【答案】(1)答案见解析
      (2)①;②,理由见解析
      【小问1详解】
      函数的定义域为,求导得,
      当时,,函数在上单调递增;
      当时,由,得;由,得,
      函数在上单调递减,在上单调递增,
      所以当时,函数在上单调递增;
      当时,函数上单调递减,在上单调递增.
      【小问2详解】
      ①当时,,
      函数有两个不同的零点,
      等价于方程有两个不同的根,
      等价于函数的图象与直线有两个不同的交点,
      求导得,当时,;当时,,
      函数在上单调递减,在上单调递增,,
      而当从大于0的方向趋近于0时,在,当时,,
      所以的取范围为.
      ②,不妨令,

      由①知,,即,而,
      只需证明,即证,令,
      令,求导得,
      函数在上单调递减,,即,

      相关试卷 更多

      资料下载及使用帮助
      版权申诉
      • 1.电子资料成功下载后不支持退换,如发现资料有内容错误问题请联系客服,如若属实,我们会补偿您的损失
      • 2.压缩包下载后请先用软件解压,再使用对应软件打开;软件版本较低时请及时更新
      • 3.资料下载成功后可在60天以内免费重复下载
      版权申诉
      若您为此资料的原创作者,认为该资料内容侵犯了您的知识产权,请扫码添加我们的相关工作人员,我们尽可能的保护您的合法权益。
      入驻教习网,可获得资源免费推广曝光,还可获得多重现金奖励,申请 精品资源制作, 工作室入驻。
      版权申诉二维码
      月考专区
      • 精品推荐
      • 所属专辑5份
      欢迎来到教习网
      • 900万优选资源,让备课更轻松
      • 600万优选试题,支持自由组卷
      • 高质量可编辑,日均更新2000+
      • 百万教师选择,专业更值得信赖
      微信扫码注册
      手机号注册
      手机号码

      手机号格式错误

      手机验证码 获取验证码 获取验证码

      手机验证码已经成功发送,5分钟内有效

      设置密码

      6-20个字符,数字、字母或符号

      注册即视为同意教习网「注册协议」「隐私条款」
      QQ注册
      手机号注册
      微信注册

      注册成功

      返回
      顶部
      学业水平 高考一轮 高考二轮 高考真题 精选专题 初中月考 教师福利
      添加客服微信 获取1对1服务
      微信扫描添加客服
      Baidu
      map