





精品解析:江苏省南京市金陵中学河西分校2024-2025学年九年级上学期期初考试数学试题
展开 这是一份精品解析:江苏省南京市金陵中学河西分校2024-2025学年九年级上学期期初考试数学试题,文件包含精品解析江苏省南京市金陵中学河西分校2024-2025学年九年级上学期期初考试数学试题原卷版docx、精品解析江苏省南京市金陵中学河西分校2024-2025学年九年级上学期期初考试数学试题解析版docx等2份试卷配套教学资源,其中试卷共32页, 欢迎下载使用。
1. 若关于的方程是一元二次方程,则满足的条件是( )
A. B. C. D.
2. 一元二次方程配方可变形为( )
A. B. C. D.
3. 下列说法:①同一圆上的点到圆心的距离相等;②如果某几个点到一个定点的距离相等,则这几个点共圆;③半径确定了,圆就确定了,其中正确的是( )
A. ①②B. ①③C. ②③D. ①②③
4. 下列方程中两个实数根的和等于2的方程是( )
A. 2x2-4x+3=0B. 2x2-2x-3=0C. 2y2+4y-3=0D. 2t2-4t-3=0
5. 如图,四边形的对角线相交于,且将这个四边形分成①②③④四个三角形,若,则下列结论正确的是( )
A. ①和②相似B. ①和③相似C. ①和④相似D. ②和④相似
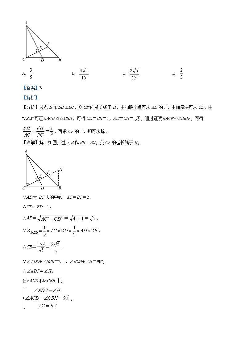
6. 如图,已知在等腰Rt△ABC中,∠ACB=90°,AD为BC边的中线,过点C作CE⊥AD于点E,交AB于点F.若AC=2,则线段EF的长为( )
A. B. C. D.
二、填空题(每题2分,共20分)
7. 已知关于x的一元二次方程有两个相等的实根,则m的值为______.
8. 两个相似多边形的相似比为,则它们的周长的比为______.
9. 如图,在中,若,则弦所对的弧的度数为______.
10. 如图,分别在边上,若,,,则的长为_____.
11. 物理课上学过小孔成像的原理,它是一种利用光的直线传播特性实现图像投影的方法.如图,燃烧的蜡烛(竖直放置)经小孔在屏幕(竖直放置)上成像.设,.小孔到的距离为,则小孔到的距离为_____.
12. 如图是一张三角形纸片,,小明将它沿虚线PQ剪开,得到和四边形两张纸片,且满足,则长的取值范围是______.
13. 若关于x的方程(、为常数)的解是,,则方程的解是______.
14. 如图,为等边三角形,点D,E分别在边上,.若,则的长为___________________________________.
15. 如图,矩形的边,点E、F分别在边上,且四边形为正方形.若矩形与矩形相似,则的长为______.
16. 如图,将一张矩形纸片上下对折,使之完全重合,打开后,得到折痕,连接.再将矩形纸片折叠,使点B落在上点H处,折痕为.若点G恰好为线段最靠近点B的一个五等分点,,则的长为______.
三、解答题(共10题,共88分)
17. 解方程:
(1);
(2).
18. 已知:如图,、是圆两条弦,且.求证:.
19. 如图,是的两条弦,且,求证:.
20. 已知关于x的方程:.
(1)求证:方程有两个不相等的实数根;
(2)设方程的两根为和,若,求实数k的值.
21. 如图,是的直径,点C,D在上,若,求证:.
22. 如图,网格中的每个小正方形的边长都是1,每个小正方形的顶点叫做格点,以格点为顶点,分别按下列要求画三角形.
(1)在图②中,请在网格中画一个与图①△ABC相似的△DEF;
(2)在图③中,以O为位似中心,画一个△A1B1C1,使它与△ABC的位似比为2:1.
23. 如图,在矩形中,是边的中点,,垂足为点.
(1)求证:;
(2)若,则的长为______;
(3)连接,求证:.
24. 一块直角三角形木板,它的一条直角边长为,面积为,现在要把它加工成一个面积最大的正方形桌面.甲、乙两位同学的加工方法分别如图①、图②所示.请用学过的知识说明哪位同学的加工方法符合要求.
25. [模型建立]
如图①、②,点P分别在外、在内,直线分别交于点A、B,则是点P到上点的最短距离,是点P到上的点的最长距离.
[问题解决]
请就图①中为何最长进行证明.
[初步应用]
(1)已知点P到上的点的最短距离为3,最长距离为7.则的半径为______.
(2)如图③,在中,,,.点E在边上,且,动点P在半径为2的上,则的最小值是______.
[拓展延伸]
如图④,点,动点B在以为圆心,为半径圆上,的中点为C,则线段的最大值为______.
26. 如图1,在Rt△ABC中,∠C=90°,∠A=30°,BC=1,点D,E分别为AC,BC中点.△CDE绕点C顺时针旋转,设旋转角为α(0°≤α≤360°),记直线AD与直线BE的交点为点P.
(1)如图1,当α=0°时,AD与BE的数量关系为______,AD与BE的位置关系为______;
(2)当0°<α≤360°时,上述结论是否成立?若成立,请仅就图2的情形进行证明;若不成立,请说明理由;
(3)△CDE绕点C顺时针旋转一周,请直接写出运动过程中P点运动轨迹的长度和P点到直线BC距离的最大值.
相关试卷 更多
- 1.电子资料成功下载后不支持退换,如发现资料有内容错误问题请联系客服,如若属实,我们会补偿您的损失
- 2.压缩包下载后请先用软件解压,再使用对应软件打开;软件版本较低时请及时更新
- 3.资料下载成功后可在60天以内免费重复下载
免费领取教师福利 

(1).png)



