所属成套资源:2025-2026学年高二数学上学期第一次月考试卷(Word版附解析)
- 2025-2026学年高二数学上学期第一次月考卷(湘教版2019选择性必修第一册,数列直线)试卷(Word版附解析) 试卷 0 次下载
- 2025-2026学年高二数学上学期第一次月考卷(上海专用)(立体几何)【测试范围:沪教版2020必修第三册第十章】试卷(Word版附解析) 试卷 0 次下载
- 2025-2026学年高二数学上学期第一次月考03(全国通用,人教A版2019选择性必修第一册:空间向量与立体几何直线)试卷(Word版附解析) 试卷 1 次下载
- 2025-2026学年高二数学上学期第一次月考(苏教版2019)(选择性必修第一册第1章~第2章)试卷(Word版附解析) 试卷 1 次下载
2025-2026学年高二数学上学期第一次月考(江苏专用)(快进度版:苏教版2019-选择性必修第一册第1章~第3章3.1)试卷(Word版附解析)
展开
这是一份2025-2026学年高二数学上学期第一次月考(江苏专用)(快进度版:苏教版2019-选择性必修第一册第1章~第3章3.1)试卷(Word版附解析),文件包含高二数学第一次月考卷01全解全析江苏专用docx、高二数学第一次月考卷01参考答案江苏专用docx、高二数学第一次月考卷01考试版A4测试范围苏教版2019选择性必修第一册第1章第三章31江苏专用docx、高二数学第一次月考卷01考试版A3测试范围苏教版2019选择性必修第一册第1章第三章31江苏专用docx、高二数学第一次月考卷01答题卡江苏专用docx等5份试卷配套教学资源,其中试卷共33页, 欢迎下载使用。
准考证号:
姓 名:_________________________________________
贴条形码区
此栏考生禁填 缺考
标记
1.答题前,考生先将自己的姓名,准考证号填写清楚,并认真检查监考员所粘贴的条形码。
2.选择题必须用2B铅笔填涂;非选择题必须用0.5mm黑色签字笔答题,不得用铅笔或圆珠笔答题;字体工整、笔迹清晰。
3.请按题号顺序在各题目的答题区域内作答,超出区域书写的答案无效;在草稿纸、试题卷上答题无效。
4.保持卡面清洁,不要折叠、不要弄破。
5.正确填涂
注意事项
一、选择题(每小题5分,共40分)
1 [A] [B] [C] [D]
2 [A] [B] [C] [D]
3 [A] [B] [C] [D]
4 [A] [B] [C] [D]
5 [A] [B] [C] [D]
6 [A] [B] [C] [D]
7 [A] [B] [C] [D]
8 [A] [B] [C] [D]
二、选择题(全部选对的得6分,部分选对的得部分分,有选错的得0分,共18分)
9 [A] [B] [C] [D]
10 [A] [B] [C] [D]
11 [A] [B] [C] [D]
三、填空题(每小题5分,共15分)
12.____________________
13.____________________
14.____________________
请在各题目的答题区域内作答,超出黑色矩形边框限定区域的答案无效!
四、解答题(共77分,解答应写出文字说明、证明过程或演算步骤)
15.(13分)
请在各题目的答题区域内作答,超出黑色矩形边框限定区域的答案无效!
请在各题目的答题区域内作答,超出黑色矩形边框限定区域的答案无效!
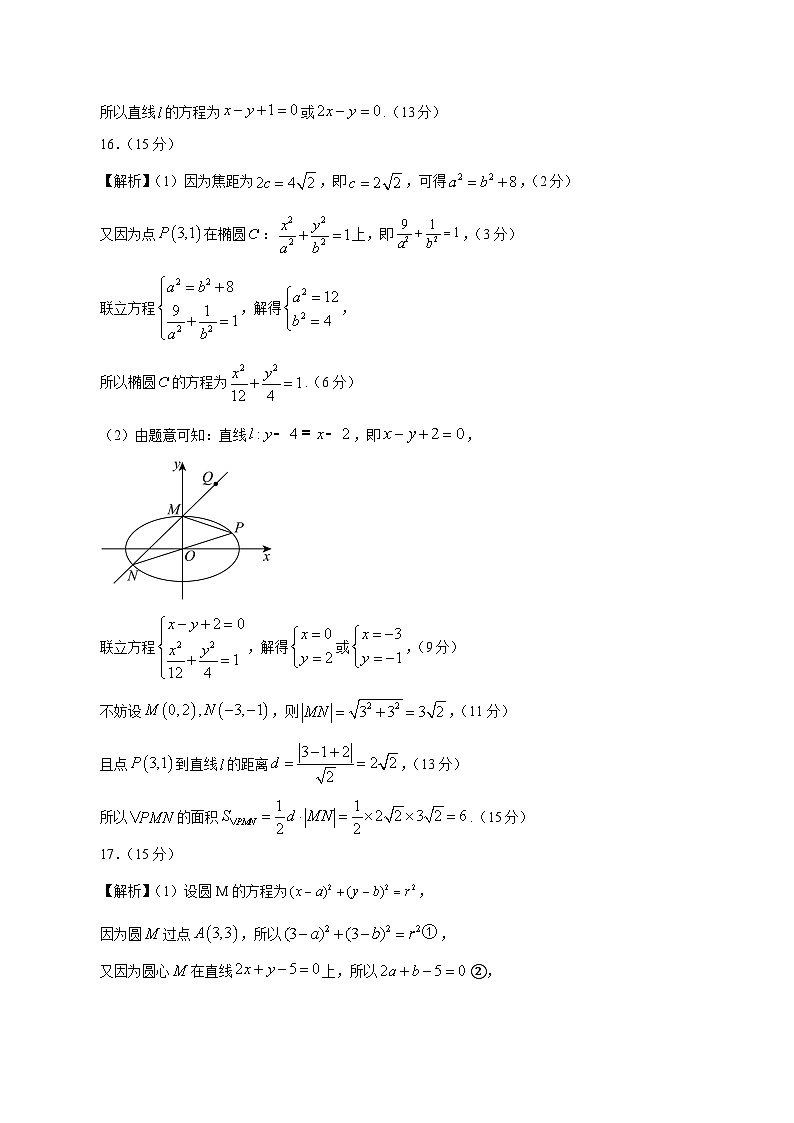
16.(15分)
请在各题目的答题区域内作答,超出黑色矩形边框限定区域的答案无效!
请在各题目的答题区域内作答,超出黑色矩形边框限定区域的答案无效!
请在各题目的答题区域内作答,超出黑色矩形边框限定区域的答案无效!
17.(15分)
请在各题目的答题区域内作答,超出黑色矩形边框限定区域的答案无效!
请在各题目的答题区域内作答,超出黑色矩形边框限定区域的答案无效!
18.(17分)
请在各题目的答题区域内作答,超出黑色矩形边框限定区域的答案无效!
请在各题目的答题区域内作答,超出黑色矩形边框限定区域的答案无效!
请在各题目的答题区域内作答,超出黑色矩形边框限定区域的答案无效!
19.(17分)
请在各题目的答题区域内作答,超出黑色矩形边框限定区域的答案无效!
相关试卷
这是一份2025-2026学年高二数学上学期第一次月考(江苏专用)(快进度版:苏教版2019-选择性必修第一册第1章~第3章3.1)Word版含解析含答案解析,文件包含高二数学第一次月考卷01全解全析江苏专用docx、高二数学第一次月考卷01参考答案江苏专用docx、高二数学第一次月考卷01考试版A4测试范围苏教版2019选择性必修第一册第1章第三章31江苏专用docx、高二数学第一次月考卷01考试版A3测试范围苏教版2019选择性必修第一册第1章第三章31江苏专用docx、高二数学第一次月考卷01答题卡江苏专用docx等5份试卷配套教学资源,其中试卷共33页, 欢迎下载使用。
这是一份2025-2026学年高二数学上学期第一次月考(江苏专用)(快进度版),共23页。试卷主要包含了65等内容,欢迎下载使用。
这是一份2025-2026学年高二数学上学期第一次月考(苏教版2019)(选择性必修第一册第1章~第2章)试卷(Word版附解析),文件包含高二数学第一次月考卷03全解全析江苏专用docx、高二数学第一次月考卷03参考答案江苏专用docx、高二数学第一次月考卷03考试版A4测试范围苏教版2019选择性必修第一册第1章第2章江苏专用docx、高二数学第一次月考卷03考试版A3测试范围苏教版2019选择性必修第一册第1章第2章江苏专用docx、高二数学第一次月考卷03答题卡苏教版docx等5份试卷配套教学资源,其中试卷共33页, 欢迎下载使用。
相关试卷 更多
- 1.电子资料成功下载后不支持退换,如发现资料有内容错误问题请联系客服,如若属实,我们会补偿您的损失
- 2.压缩包下载后请先用软件解压,再使用对应软件打开;软件版本较低时请及时更新
- 3.资料下载成功后可在60天以内免费重复下载
免费领取教师福利

