若您为此资料的原创作者,认为该资料内容侵犯了您的知识产权,请扫码添加我们的相关工作人员,我们尽可能的保护您的合法权益。
1/9
2/9
3/9
还剩6页未读,
继续阅读
所属成套资源:安徽A10联盟2026届高三上学期8月底学情调研
成套系列资料,整套一键下载
安徽A10联盟2026届高三上学期8月底学情调研-数学试题+答案
展开
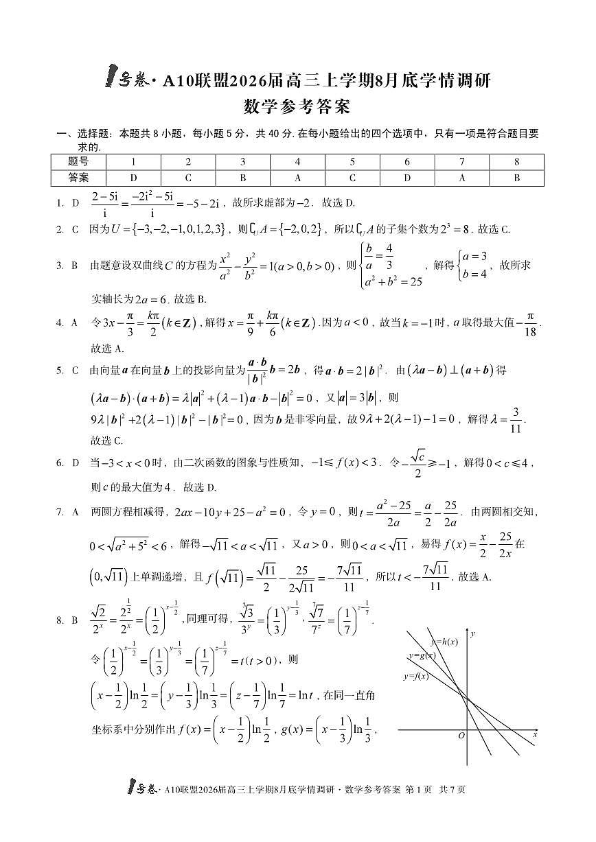
这是一份安徽A10联盟2026届高三上学期8月底学情调研-数学试题+答案,共9页。
相关试卷
安徽省县中联盟2026届高三上学期8月学情检测(6009C)-数学试题+答案:
这是一份安徽省县中联盟2026届高三上学期8月学情检测(6009C)-数学试题+答案,共9页。
【8开】1号卷·A10联盟2026届高三上学期8月底学情调研数学试题及答案:
这是一份【8开】1号卷·A10联盟2026届高三上学期8月底学情调研数学试题及答案,文件包含数学1号卷·A10联盟2026届高三上学期8月底学情调研数学答案pdf、8开1号卷·A10联盟2026届高三上学期8月底学情调研数学pdf等2份试卷配套教学资源,其中试卷共9页, 欢迎下载使用。
2026届1号卷A10联盟高三上学期8月底学情调研数学测试卷【含答案】:
这是一份2026届1号卷A10联盟高三上学期8月底学情调研数学测试卷【含答案】,共9页。
相关试卷 更多
资料下载及使用帮助
版权申诉
- 1.电子资料成功下载后不支持退换,如发现资料有内容错误问题请联系客服,如若属实,我们会补偿您的损失
- 2.压缩包下载后请先用软件解压,再使用对应软件打开;软件版本较低时请及时更新
- 3.资料下载成功后可在60天以内免费重复下载
版权申诉
免费领取教师福利

